Poslední aktualizace :
25/03/2026
Antikoaguliantas   Bivalirudin  
Įpurškimas
Tirpalų stabilumas Mišinių stabilumas Stabilumą lemiantys veiksniai Suderinamumas Leidimo būdai Bibliografija pdf
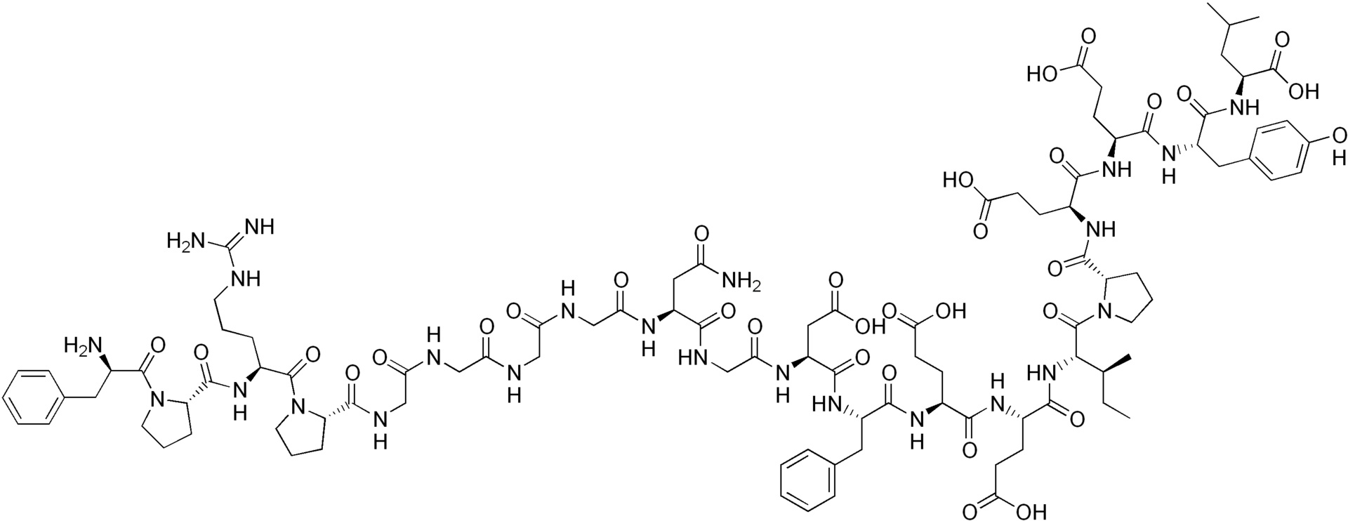
   Cheminė sandara  

Prekinis pavadinimas   Prekinis pavadinimas     

Trade names are indicative and excipients composition can be different depending on the country and manufacturers

Amuprux Argentina
Angiomax Australija, Čilė, Jungtinės Amerikos Valstijos, Kanada, Naujojoje Zelandijoje, Peru, Venesuela
Angiox Austrija, Danija, Didžioji Britanija, Graikija, Islandija, Ispanija, Italija, Jungtinės Amerikos Valstijos, Lenkija, Norvegija, Olandija, Rumunija, Slovėnija, Suomija, Vengrija
Bivalirudin Belgija, Danija, Didžioji Britanija, Slovėnija, Suomija, Švedija, Vokietija
Bivalirudina Ispanija, Italija
Bibliografija   Įpurškimas   Bibliografija : Bivalirudin  
tipas leidinys
1713 Žurnalas Trissel LA, Saenz CA.
Compatibility screening of bivalirudin during simulated Y-site administration with other drugs.
Int J Pharm Compound 2002 ; 6: 311-315.
1944 Žurnalas Hartman CA, Faria CE, Mago K.
Visual compatibility of bivalirudin with selected drugs.
Am J Health-Syst Pharm 2004 ; 61: 1774.
3539 Laboratorija Bivalirudin (Angiox®) - Summary of Product Characteristics.
The Medecines Company 2013

  Mentions Légales