Utolsó frissítés :
25/03/2026
Véralvadásgátló   Bivalirudin  
Injekció
Az oldatok stabilitása A keverékek stabilitása Stabilitást befolyásoló tényezők Kompatibilitás Az alkalmazás módja Irodalom pdf
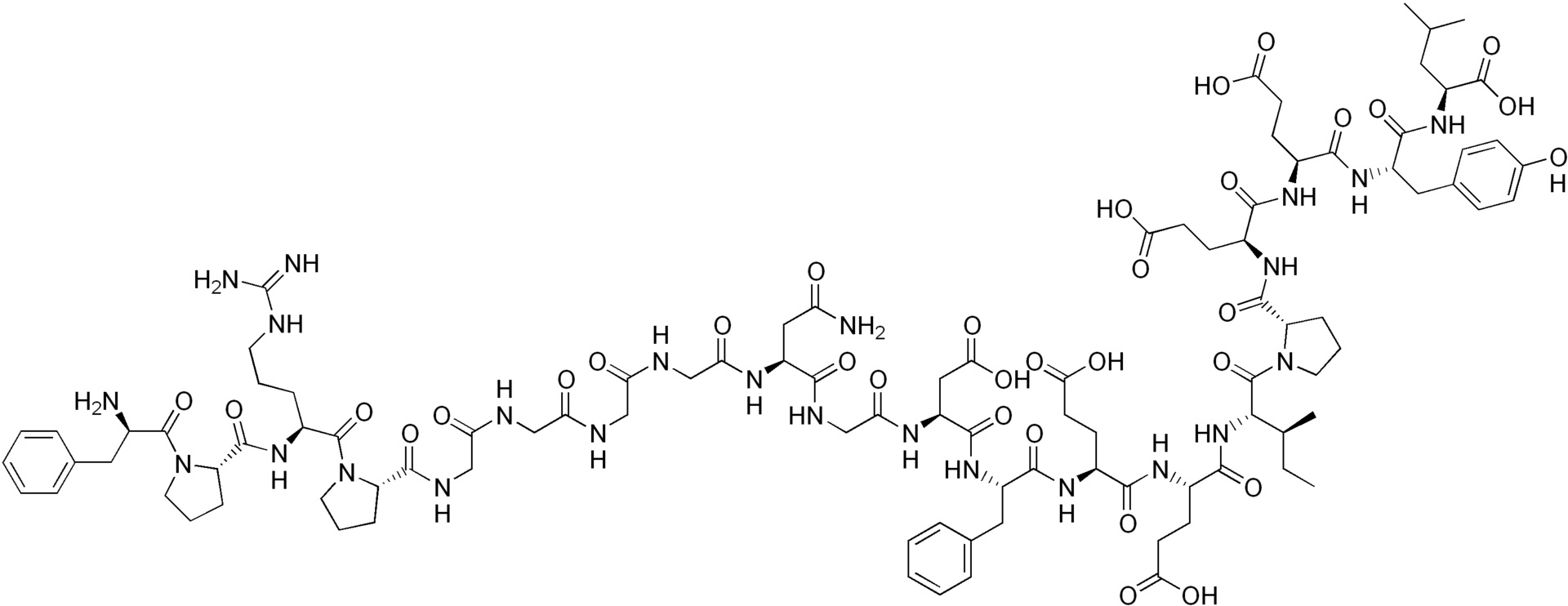
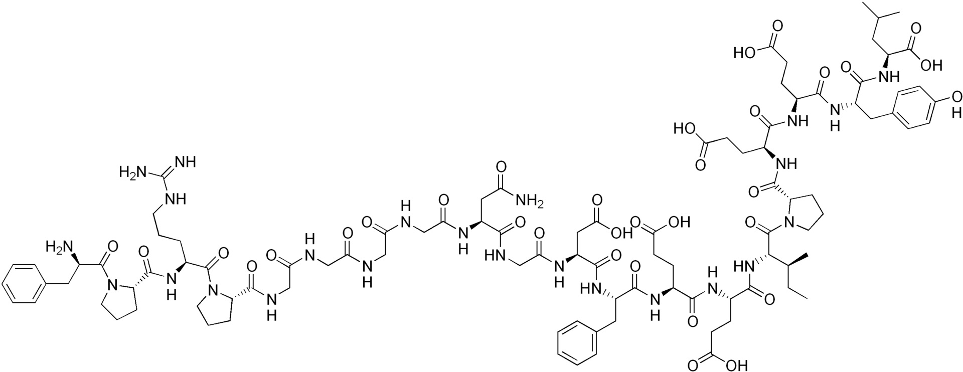
   Kémiai szerkezet   

Kereskedelmi név   Kereskedelmi név     

A kereskedelmi név meghatározó jelentőségű: a készítmények összetétele országonként, előállítóként eltérő lehet

Amuprux Argentína
Angiomax Amerikai Egyesült Államok, Ausztrália, Chile, Kanada, Peru, új-Zéland, Venezuela
Angiox Amerikai Egyesült Államok, Ausztria, Dánia, Finnország, Görögország, Hollandia, Izland, Lengyelország, Magyarország, Nagy-Britannia, Norvégia, Olaszország, Románia, Spanyolország, Szlovénia
Bivalirudin Belgium, Dánia, Finnország, Nagy-Britannia, Németország, Svédország, Szlovénia
Bivalirudina Olaszország, Spanyolország
Irodalom   Injekció   Irodalom : Bivalirudin  
Type publikáció
1713 Napló Trissel LA, Saenz CA.
Compatibility screening of bivalirudin during simulated Y-site administration with other drugs.
Int J Pharm Compound 2002 ; 6: 311-315.
1944 Napló Hartman CA, Faria CE, Mago K.
Visual compatibility of bivalirudin with selected drugs.
Am J Health-Syst Pharm 2004 ; 61: 1774.
3539 Laboratórium Bivalirudin (Angiox®) - Summary of Product Characteristics.
The Medecines Company 2013

  Mentions Légales