Letztes “update” :
25/03/2026
Antikoagulans   Bivalirudin  
Injektion
Stabilität der Lösung Gemengestabilität Stabilitätbeeinflussende Faktoren Kompatibilitäten Applikationsart Literaturverzeichnis pdf
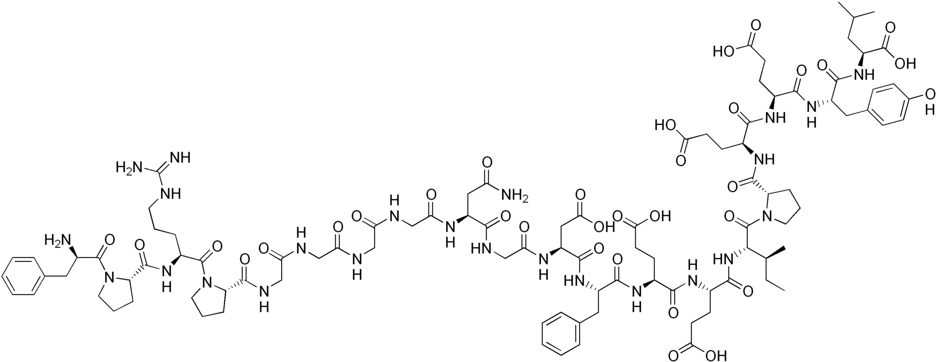
   Chemische Struktur  

Handelsmarke   Handelsmarke     

Handelsnamen sind als beispielhaft anzusehen. Sonstige Bestandteile können je nach Hersteller oder Land verschieden sein

Amuprux Argentinien
Angiomax Australien, Chile, Kanada, Neuseeland, Peru, Venezuela, Vereinigte Staaten von Amerika
Angiox Dänemark, Finnland, Griechenland, Großbritannien, Island, Italien, Niederlande, Norwegen, Österreich, Polen, Rumänien, Slowenien, Spanien, Ungarn, Vereinigte Staaten von Amerika
Bivalirudin Belgien, Dänemark, Deutschland, Finnland, Großbritannien, Schweden, Slowenien
Bivalirudina Italien, Spanien
Literaturverzeichnis   Injektion   Literaturverzeichnis : Bivalirudin  
Typ Veröffentlichung
1713 Zeitung Trissel LA, Saenz CA.
Compatibility screening of bivalirudin during simulated Y-site administration with other drugs.
Int J Pharm Compound 2002 ; 6: 311-315.
1944 Zeitung Hartman CA, Faria CE, Mago K.
Visual compatibility of bivalirudin with selected drugs.
Am J Health-Syst Pharm 2004 ; 61: 1774.
3539 Labor Bivalirudin (Angiox®) - Summary of Product Characteristics.
The Medecines Company 2013

  Mentions Légales