Останнє оновлення :
27/04/2026
Антибіотик   Amoxicillin sodium / clavulanic acid  
ін'єкція
Розчин для перорального застосування
Стійкість в розчинах Стійкість сумішей Фактори, що впливають на стабільність Сумісність Шлях введення Список літератури pdf
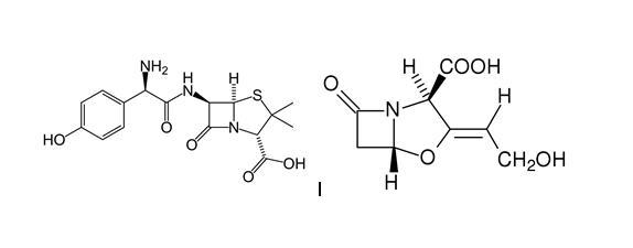
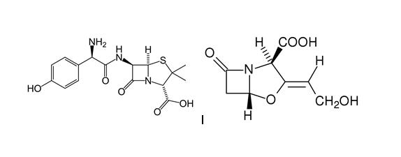
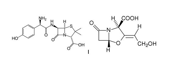
   Хімічна структура  

Торгова назва   Торгова назва     

Торгові назви є орієнтовними, а склад допоміжних речовин може бути різним залежно від країни та виробника

Aktil Угорщина
Amoclan Саудівська Аравія
Amoklavin Туреччина
Amoksiklav Польща
Amoxclav Саудівська Аравія
Amplamox Бразилія
Augmentin Іспанія, Італія, Австрія, Бельгія, Великобританія, Греція, Еквадор, Нідерланди, Об'єднані Арабські Емірати, Польща, Саудівська Аравія, Туреччина, Франція, Чилі, Швейцарія
Betamox Португалія
Clavamox Австрія
Clavicin Венесуела, Малайзія
Clavulin Бразилія
Co-amoxi Швейцарія
Co-Amoxicillin Швейцарія
Curam Нова Зеландія, Саудівська Аравія
Darzitil Аргентина
Dibional Аргентина
Julmentin Об'єднані Арабські Емірати
Novamox Бразилія
Sulbamox Чилі
Tarometin Польща
Trifamox Аргентина, Еквадор, Колумбія, Мексика
Сумісність   ін'єкція   Сумісність : Amoxicillin sodium / clavulanic acid              
explication_incompatibilite_molecules
З'єднання Розчинник Список літератури
Хімічна нестійкість Несумісні
ін'єкція Amoxicillin sodium / clavulanic acid
ін'єкція Amikacin sulfate
3549
Неуточнена несумісність Несумісні
ін'єкція Amoxicillin sodium / clavulanic acid
Парентеральне харчування (ліпідами) 3545
Миттєві опади Несумісні
ін'єкція Amoxicillin sodium / clavulanic acid 100/10 mg/ml
ін'єкція Aciclovir sodium 50 mg/ml
3824
сумісний
ін'єкція Amoxicillin sodium / clavulanic acid
Натрію хлорид 0,9% 3545
Неуточнена несумісність Несумісні
ін'єкція Amoxicillin sodium / clavulanic acid
Глюкоза 5% 3545
сумісний
ін'єкція Amoxicillin sodium / clavulanic acid 100/10 mg/ml
ін'єкція Amikacin sulfate 250 mg/ml
3824
Неуточнена несумісність Несумісні
ін'єкція Amoxicillin sodium / clavulanic acid
ін'єкція Amikacin sulfate
3545
Зміна кольору через 1 годину Несумісні
ін'єкція Amoxicillin sodium / clavulanic acid 50/10 mg/ml
Парентеральне харчування (ліпідами) 3948
сумісний
ін'єкція Amoxicillin sodium / clavulanic acid 100/10 mg/ml
ін'єкція Aminophylline 25 mg/ml
3824
Миттєві опади Несумісні
ін'єкція Amoxicillin sodium / clavulanic acid 10 mg/ml
ін'єкція Amiodarone hydrochloride 12.5 mg/ml
2139
Зміна кольору Несумісні
ін'єкція Amoxicillin sodium / clavulanic acid 100/10 mg/ml
ін'єкція Amiodarone hydrochloride 50 mg/ml
3824
сумісний
ін'єкція Amoxicillin sodium / clavulanic acid 100/10 mg/ml
ін'єкція Amphotericin B liposomale 2 mg/ml
3824
сумісний
ін'єкція Amoxicillin sodium / clavulanic acid 100/10 mg/ml
ін'єкція Ampicillin sodium 100 mg/ml
3824
сумісний
ін'єкція Amoxicillin sodium / clavulanic acid 100/10 mg/ml
ін'єкція Atropine sulfate 0,4 mg/ml
3824
сумісний
ін'єкція Amoxicillin sodium / clavulanic acid 100/10 mg/ml
ін'єкція Azithromycine 100 mg/ml
3824
сумісний
ін'єкція Amoxicillin sodium / clavulanic acid 100/10 mg/ml
ін'єкція Calcium chloride 100 mg/ml
3824
сумісний
ін'єкція Amoxicillin sodium / clavulanic acid 100/10 mg/ml
ін'єкція Calcium gluconate 100 mg/ml
3824
сумісний
ін'єкція Amoxicillin sodium / clavulanic acid 100/10 mg/ml
ін'єкція Cefazolin sodium 100 mg/ml
3824
сумісний
ін'єкція Amoxicillin sodium / clavulanic acid 100/10 mg/ml
ін'єкція Cefotaxime sodium 100 mg/ml
3824
сумісний
ін'єкція Amoxicillin sodium / clavulanic acid 100/10 mg/ml
ін'єкція Cefoxitin sodium 100 mg/ml
3824
сумісний
ін'єкція Amoxicillin sodium / clavulanic acid 100/10 mg/ml
ін'єкція Ceftazidime 100 mg/ml
3824
сумісний
ін'єкція Amoxicillin sodium / clavulanic acid 100/10 mg/ml
ін'єкція Ceftriaxone disodium 100 mg/ml
3824
Негайне помутніння Несумісні
ін'єкція Amoxicillin sodium / clavulanic acid 100/10 mg/ml
ін'єкція Ciclosporin 50 mg/ml
3824
Миттєві опади Несумісні
ін'єкція Amoxicillin sodium / clavulanic acid 12 mg/ml
ін'єкція Ciprofloxacin lactate 2 mg/ml
Жодного 1357
Неуточнена несумісність Несумісні
ін'єкція Amoxicillin sodium / clavulanic acid
ін'єкція Ciprofloxacin lactate
3529
сумісний
ін'єкція Amoxicillin sodium / clavulanic acid 100/10 mg/ml
ін'єкція Ciprofloxacin lactate 2 mg/ml
3824
сумісний
ін'єкція Amoxicillin sodium / clavulanic acid 100/10 mg/ml
ін'єкція Cloxacillin sodium 100 mg/ml
3824
сумісний
ін'єкція Amoxicillin sodium / clavulanic acid 100/10 mg/ml
ін'єкція Co-trimoxazole 16/80 mg/ml
3824
сумісний
ін'єкція Amoxicillin sodium / clavulanic acid
ін'єкція Daunorubicin/cytarabine liposomale 0,4 mg/mL
Натрію хлорид 0,9% 4654
Зміна кольору через 1 годину Несумісні
ін'єкція Amoxicillin sodium / clavulanic acid 50/10 mg/ml
Парентеральне харчування (бінарна суміш) 3948
Помутніння через годину Несумісні
ін'єкція Amoxicillin sodium / clavulanic acid 100/10 mg/ml
ін'єкція Clindamycin phosphate 150 mg/ml
3824
Неуточнена несумісність Несумісні
ін'єкція Amoxicillin sodium / clavulanic acid
Парентеральне харчування (бінарна суміш) 3545
сумісний
ін'єкція Amoxicillin sodium / clavulanic acid 100/10 mg/ml
ін'єкція Cefuroxime sodium 100 mg/ml
3824
сумісний
ін'єкція Amoxicillin sodium / clavulanic acid 100/10 mg/ml
ін'єкція Dexamethasone sodium phosphate 4 mg/ml
3824
Неуточнена несумісність Несумісні
ін'єкція Amoxicillin sodium / clavulanic acid
ін'єкція Dexamethasone sodium phosphate
3545
сумісний
ін'єкція Amoxicillin sodium / clavulanic acid 100/10 mg/ml
ін'єкція Dexmedetomidine 100 µg/ml
3824
сумісний
ін'єкція Amoxicillin sodium / clavulanic acid 100/10 mg/ml
ін'єкція Diazepam 5 mg/ml
3824
сумісний
ін'єкція Amoxicillin sodium / clavulanic acid 100/10 mg/ml
ін'єкція Digoxin 250 µg/ml
3824
сумісний
ін'єкція Amoxicillin sodium / clavulanic acid 100/10 mg/ml
ін'єкція Dimenhydrinate 10 mg/ml
3824
Зміна кольору Несумісні
ін'єкція Amoxicillin sodium / clavulanic acid 100/10 mg/ml
ін'єкція Diphenhydramine hydrochloride 50 mg/ml
3824
Миттєві опади Несумісні
ін'єкція Amoxicillin sodium / clavulanic acid 100/10 mg/ml
ін'єкція Dobutamine hydrochloride 12,5 mg/ml
3824
сумісний
ін'єкція Amoxicillin sodium / clavulanic acid 100/10 mg/ml
ін'єкція Dopamine hydrochloride 3,2 mg/ml
3824
сумісний
ін'єкція Amoxicillin sodium / clavulanic acid 100/10 mg/ml
ін'єкція Enalaprilate 1,25 mg/ml
3824
сумісний
ін'єкція Amoxicillin sodium / clavulanic acid 100/10 mg/ml
ін'єкція Epinephrine hydrochloride 1000 µg/ml
3824
сумісний
ін'єкція Amoxicillin sodium / clavulanic acid 100/10 mg/ml
ін'єкція Ertapenem 100 mg/ml
3824
Миттєві опади Несумісні
ін'єкція Amoxicillin sodium / clavulanic acid 100/10 mg/ml
ін'єкція Erythromycin lactobionate 50 mg/ml
3824
Неуточнена несумісність Несумісні
ін'єкція Amoxicillin sodium / clavulanic acid
ін'єкція Erythromycin lactobionate
3674
сумісний
ін'єкція Amoxicillin sodium / clavulanic acid 100/10 mg/ml
ін'єкція Esmolol hydrochloride 10 mg/ml
3824
сумісний
ін'єкція Amoxicillin sodium / clavulanic acid 100/10 mg/ml
ін'єкція Famotidine 10 mg/ml
3824
сумісний
ін'єкція Amoxicillin sodium / clavulanic acid 100/10 mg/ml
ін'єкція Fentanyl citrate 50 µg/ml
3824
сумісний
ін'єкція Amoxicillin sodium / clavulanic acid 100/10 mg/ml
ін'єкція Fluconazole 2 mg/ml
3824
сумісний
ін'єкція Amoxicillin sodium / clavulanic acid 100/10 mg/ml
ін'єкція Furosemide 10 mg/ml
3824
Неуточнена несумісність Несумісні
ін'єкція Amoxicillin sodium / clavulanic acid
ін'єкція Gentamicin sulfate
3643
Неуточнена несумісність Несумісні
ін'єкція Amoxicillin sodium / clavulanic acid
ін'єкція Gentamicin sulfate
3545
Неуточнена несумісність Несумісні
ін'єкція Amoxicillin sodium / clavulanic acid
ін'єкція Gentamicin sulfate
3520
сумісний
ін'єкція Amoxicillin sodium / clavulanic acid 100/10 mg/ml
ін'єкція Gentamicin sulfate 40 mg/ml
3824
сумісний
ін'єкція Amoxicillin sodium / clavulanic acid 100/10 mg/ml
ін'єкція Granisetron hydrochloride 1 mg/ml
3824
Миттєві опади Несумісні
ін'єкція Amoxicillin sodium / clavulanic acid 100/10 mg/ml
ін'єкція Haloperidol lactate 5 mg/ml
3824
сумісний
ін'єкція Amoxicillin sodium / clavulanic acid 100/10 mg/ml
ін'єкція Heparin sodium 1000 UI/ml
3824
Несумісні
ін'єкція Amoxicillin sodium / clavulanic acid 100/10 mg/ml
ін'єкція Human albumin 250 mg/ml
3824
Неуточнена несумісність Несумісні
ін'єкція Amoxicillin sodium / clavulanic acid
ін'єкція Hydrocortisone sodium succinate
3545
сумісний
ін'єкція Amoxicillin sodium / clavulanic acid 100/10 mg/ml
ін'єкція Hydrocortisone sodium succinate 50 mg/ml
3824
сумісний
ін'єкція Amoxicillin sodium / clavulanic acid 100/10 mg/ml
ін'єкція Hydromorphone hydrochloride 10 mg/ml
3824
Миттєві опади Несумісні
ін'єкція Amoxicillin sodium / clavulanic acid 100/10 mg/ml
ін'єкція Imipenem - cilastatin sodium 50 mg/ml
3824
сумісний
ін'єкція Amoxicillin sodium / clavulanic acid 100/10 mg/ml
ін'єкція Insulin 100 UI/ml
3824
Неуточнена несумісність Несумісні
ін'єкція Amoxicillin sodium / clavulanic acid
ін'єкція Kanamycin sulfate
3545
Миттєві опади Несумісні
ін'єкція Amoxicillin sodium / clavulanic acid 100/10 mg/ml
ін'єкція Ketamine hydrochloride 50 mg/ml
3824
сумісний
ін'єкція Amoxicillin sodium / clavulanic acid 100/10 mg/ml
ін'єкція L-carnitine 200 mg/ml
3824
сумісний
ін'єкція Amoxicillin sodium / clavulanic acid 100/10 mg/ml
ін'єкція Labetalol hydrochloride 5 mg/ml
3824
сумісний
ін'єкція Amoxicillin sodium / clavulanic acid 100/10 mg/ml
ін'єкція Levofloxacine 5 mg/ml
3824
сумісний
ін'єкція Amoxicillin sodium / clavulanic acid 100/10 mg/ml
ін'єкція Lidocaine hydrochloride 1 mg/ml
3824
сумісний
ін'єкція Amoxicillin sodium / clavulanic acid 100/10 mg/ml
ін'єкція Linezolid 2 mg/ml
3824
сумісний
ін'єкція Amoxicillin sodium / clavulanic acid 100/10 mg/ml
ін'єкція Lorazepam 4 mg/ml
3824
сумісний
ін'єкція Amoxicillin sodium / clavulanic acid 20/2 mg/ml
ін'єкція Lorazepam 0.33 mg/ml
Натрію хлорид 0,9% 186
сумісний
ін'єкція Amoxicillin sodium / clavulanic acid 100/10 mg/ml
ін'єкція Magnesium sulfate 500 mg/ml
3824
Неуточнена несумісність Несумісні
ін'єкція Amoxicillin sodium / clavulanic acid
ін'єкція Mannitol
3545
сумісний
ін'єкція Amoxicillin sodium / clavulanic acid 100/10 mg/ml
ін'єкція Mannitol 250 mg/ml
3824
сумісний
ін'єкція Amoxicillin sodium / clavulanic acid 100/10 mg/ml
ін'єкція Meropenem 50 mg/ml
3824
Неуточнена несумісність Несумісні
ін'єкція Amoxicillin sodium / clavulanic acid
ін'єкція Methylprednisolone acetate
3545
Неуточнена несумісність Несумісні
ін'єкція Amoxicillin sodium / clavulanic acid
ін'єкція Methylprednisolone sodium succinate
3545
Несумісні
ін'єкція Amoxicillin sodium / clavulanic acid 100/10 mg/ml
ін'єкція Methylprednisolone sodium succinate 125 mg/ml
3824
сумісний
ін'єкція Amoxicillin sodium / clavulanic acid 100/10 mg/ml
ін'єкція Metoclopramide hydrochloride 5 mg/ml
3824
сумісний
ін'єкція Amoxicillin sodium / clavulanic acid 100/10 mg/ml
ін'єкція Metronidazole 5 mg/ml
3824
сумісний
ін'єкція Amoxicillin sodium / clavulanic acid 100/10 mg/ml
ін'єкція Micafungin 20 mg/ml
3824
Зміна кольору Несумісні
ін'єкція Amoxicillin sodium / clavulanic acid 100/10 mg/ml
ін'єкція Midazolam hydrochloride 5 mg/ml
3824
Миттєві опади Несумісні
ін'єкція Amoxicillin sodium / clavulanic acid 20/2 mg/ml
ін'єкція Midazolam hydrochloride 5 mg/ml
Жодного 186
сумісний
ін'єкція Amoxicillin sodium / clavulanic acid 100/10 mg/ml
ін'єкція Milrinone lactate 1 mg/ml
3824
сумісний
ін'єкція Amoxicillin sodium / clavulanic acid 100/10 mg/ml
ін'єкція Morphine sulfate 50 mg/ml
3824
сумісний
ін'єкція Amoxicillin sodium / clavulanic acid 100/10 mg/ml
ін'єкція N-acetylcysteine 200 mg/ml
3824
сумісний
ін'єкція Amoxicillin sodium / clavulanic acid 100/10 mg/ml
ін'єкція Naloxone hydrochloride 0,4 mg/ml
3824
Неуточнена несумісність Несумісні
ін'єкція Amoxicillin sodium / clavulanic acid
ін'єкція Netilmicin sulfate
3545
Зміна кольору Несумісні
ін'єкція Amoxicillin sodium / clavulanic acid 100/10 mg/ml
ін'єкція Nicardipine hydrochloride 1 mg/ml
3824
Помутніння через годину Несумісні
ін'єкція Amoxicillin sodium / clavulanic acid 100/10 mg/ml
ін'єкція Nitroglycerin 5 mg/ml
3824
сумісний
ін'єкція Amoxicillin sodium / clavulanic acid 100/10 mg/ml
ін'єкція Norepinephrine bitartrate 1 mg/ml
3824
сумісний
ін'єкція Amoxicillin sodium / clavulanic acid 100/10 mg/ml
ін'єкція Octreotide acetate 0.5 mg/ml
3824
сумісний
ін'єкція Amoxicillin sodium / clavulanic acid 12 mg/ml
ін'єкція Ofloxacin 2 mg/ml
Жодного 889
Миттєві опади Несумісні
ін'єкція Amoxicillin sodium / clavulanic acid 100/10 mg/ml
ін'єкція Ondansetron hydrochloride 2 mg/ml
3824
сумісний
ін'єкція Amoxicillin sodium / clavulanic acid 100/10 mg/ml
ін'єкція Oxytocin 10 UI/ml
3824
сумісний
ін'єкція Amoxicillin sodium / clavulanic acid 100/10 mg/ml
ін'єкція Pantoprazole sodium 4 mg/ml
3824
сумісний
ін'єкція Amoxicillin sodium / clavulanic acid 100/10 mg/ml
ін'єкція Paracetamol 10 mg/ml
3824
Неуточнена несумісність Несумісні
ін'єкція Amoxicillin sodium / clavulanic acid
ін'єкція Phenylephrine hydrochloride
3545
сумісний
ін'єкція Amoxicillin sodium / clavulanic acid 100/10 mg/ml
ін'єкція Phenylephrine hydrochloride 0,01 mg/ml
3824
Миттєві опади Несумісні
ін'єкція Amoxicillin sodium / clavulanic acid 100/10 mg/ml
ін'єкція Phenytoin sodium 50 mg/ml
3824
Хімічна нестійкість Несумісні
ін'єкція Amoxicillin sodium / clavulanic acid 10 mg/ml
ін'єкція Phloroglucinol 2,5 mg/ml
3791
сумісний
ін'єкція Amoxicillin sodium / clavulanic acid 100/10 mg/ml
ін'єкція Piperacillin sodium / tazobactam 100 mg/ml
3824
сумісний
ін'єкція Amoxicillin sodium / clavulanic acid 100/10 mg/ml
ін'єкція Potassium chloride 2 mEq/l
3824
сумісний
ін'єкція Amoxicillin sodium / clavulanic acid 100/10 mg/ml
ін'єкція Potassium phosphate 3 mmol/ml
3824
сумісний
ін'єкція Amoxicillin sodium / clavulanic acid 60 mg/ml
ін'єкція Propofol
4524
сумісний
ін'єкція Amoxicillin sodium / clavulanic acid 100/10 mg/ml
ін'єкція Rocuronium bromide 10 mg/ml
3824
сумісний
ін'єкція Amoxicillin sodium / clavulanic acid 100/10 mg/ml
ін'єкція Salbutamol sulfate 1 mg/ml
3824
сумісний
ін'єкція Amoxicillin sodium / clavulanic acid 100/10 mg/ml
ін'єкція Sodium bicarbonate 84 mg/ml
3824
Неуточнена несумісність Несумісні
ін'єкція Amoxicillin sodium / clavulanic acid
ін'єкція Sodium bicarbonate
3545
сумісний
ін'єкція Amoxicillin sodium / clavulanic acid 100/10 mg/ml
ін'єкція Sufentanil citrate 0,05 mg/ml
3824
Хімічна нестійкість Несумісні
ін'єкція Amoxicillin sodium / clavulanic acid 20 mg/ml
ін'єкція Temocilline 83.33 mg/ml
Вода для ін'єкцій 2231
Неуточнена несумісність Несумісні
ін'єкція Amoxicillin sodium / clavulanic acid
ін'єкція Temocilline
4470
сумісний
ін'єкція Amoxicillin sodium / clavulanic acid 100/10 mg/ml
ін'єкція Thiamine hydrochloride 100 mg/ml
3824
сумісний
ін'єкція Amoxicillin sodium / clavulanic acid 100/10 mg/ml
ін'єкція Tobramycin sulfate 40 mg/ml
3824
Неуточнена несумісність Несумісні
ін'єкція Amoxicillin sodium / clavulanic acid
ін'єкція Tobramycin sulfate
3545
сумісний
ін'єкція Amoxicillin sodium / clavulanic acid 100/10 mg/ml
ін'єкція Tranexamic acid 100 mg/ml
3824
сумісний
ін'єкція Amoxicillin sodium / clavulanic acid 100/10 mg/ml
ін'єкція Vancomycin hydrochloride 50 mg/ml
3824
Негайне помутніння Несумісні
ін'єкція Amoxicillin sodium / clavulanic acid 100/10 mg/ml
ін'єкція Verapamil hydrochloride 10 mg/ml
3824
сумісний
ін'єкція Amoxicillin sodium / clavulanic acid 100/10 mg/ml
ін'єкція Voriconazole 10 mg/ml
3824
сумісний
ін'єкція Amoxicillin sodium / clavulanic acid 100/10 mg/ml
ін'єкція Zidovudine 10 mg/ml
3824
Неуточнена несумісність Несумісні
ін'єкція Amoxicillin sodium / clavulanic acid
NaHCO3 3545

  Mentions Légales