Última actualização :
17/12/2025
antibiótico   Amoxicillin sodium / clavulanic acid  
injetável
Solução Oral
Estabilidade em soluções simples Estabilidade em misturas Factores que afectam a sua estabilidade Compatibilidade Método de administração Bibliografía pdf
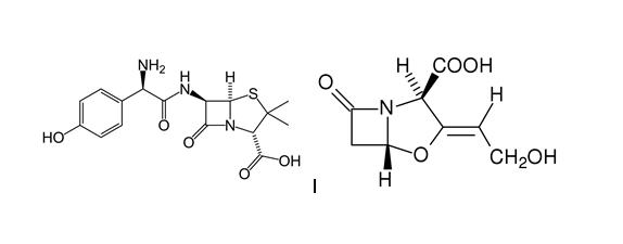
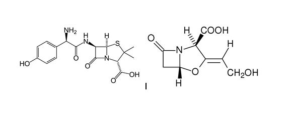
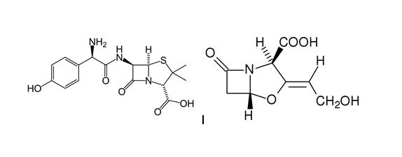
   estrutura química  

Nomes comerciais nos diversos países   Nomes comerciais nos diversos países     

OS NOMES COMERCIAIS SÃO INDICATIVOS E OS EXCIPIENTES DA FORMULAÇÃO PODEM SER DIFERENTES CONFORME O PAÍS E FABRICANTE.

Aktil Hungria
Amoclan Arábia Saudita
Amoklavin Turquia
Amoksiklav Polonia
Amoxclav Arábia Saudita
Amplamox Brasil
Augmentin Arábia Saudita, Austria, Bélgica, Chilli, Emirados Árabes Unidos, Equator, Espanha, França, Gran-bretanha, Grècia, Itália, Países Baixos, Polonia, Suicia, Turquia
Betamox Portugal
Clavamox Austria
Clavicin Malásia, Venezuela
Clavulin Brasil
Co-amoxi Suicia
Co-Amoxicillin Suicia
Curam Arábia Saudita, nova Zelândia
Darzitil Argentina
Dibional Argentina
Julmentin Emirados Árabes Unidos
Novamox Brasil
Sulbamox Chilli
Tarometin Polonia
Trifamox Argentina, Colômbia, Equator, México

Factores que afectam a sua estabilidade   injetável   Factores que afectam a sua estabilidade : Amoxicillin sodium / clavulanic acid        

  Mentions Légales