Utolsó frissítés :
27/11/2025
Antibiotikum   Amoxicillin sodium / clavulanic acid  
Injekció
belsőleges oldat
Az oldatok stabilitása A keverékek stabilitása Stabilitást befolyásoló tényezők Kompatibilitás Az alkalmazás módja Irodalom pdf
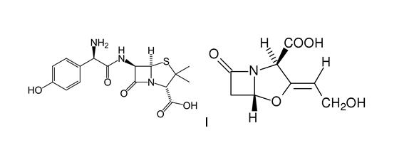
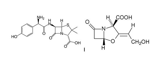
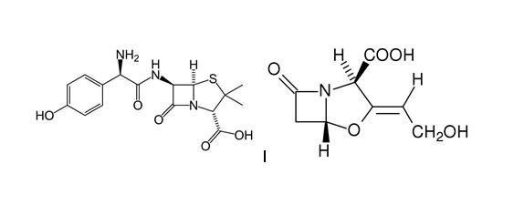
   Kémiai szerkezet   

Kereskedelmi név   Kereskedelmi név     

A kereskedelmi név meghatározó jelentőségű: a készítmények összetétele országonként, előállítóként eltérő lehet

Aktil Magyarország
Amoclan Szaúd-Arábiában
Amoklavin Törökország
Amoksiklav Lengyelország
Amoxclav Szaúd-Arábiában
Amplamox Brazília
Augmentin Ausztria, Belgium, Chile, Ecuador, Egyesült Arab Emírségek, Franciaország, Görögország, Hollandia, Lengyelország, Nagy-Britannia, Olaszország, Spanyolország, Svájc, Szaúd-Arábiában, Törökország
Betamox Portugália
Clavamox Ausztria
Clavicin Malaysia, Venezuela
Clavulin Brazília
Co-amoxi Svájc
Co-Amoxicillin Svájc
Curam Szaúd-Arábiában, új-Zéland
Darzitil Argentína
Dibional Argentína
Julmentin Egyesült Arab Emírségek
Novamox Brazília
Sulbamox Chile
Tarometin Lengyelország
Trifamox Argentína, Colombia, Ecuador, Mexikó
Kompatibilitás   Injekció   Kompatibilitás : Amoxicillin sodium / clavulanic acid              
Ovdje su prikazane kompatibilnosti ili nekompatibilnosti s tipom nekompatibilnosti (taloženje, promjena boje, modifikacija emulzije itd.) u ovom slučaju. Kompatibilnosti prikazane ovdje najčešće su fizikalne dok se kemijska stabilnost molekule rijetko procjenjuje. Procjena ovih mikstura je proučavana kako bi se razmotrila mogućnost primjene lijeka putem Y-mjesta. Ovi se podaci ne smiju koristiti za pripremu mikstura unaprijed u vrećicama ili štrcaljkama. Ova vrsta informacije se može pronaći u odjeljku « stabilnost u miksturama ».
Vegyület Oldószer Irodalom
Kémiai instabilitás Összeegyeztethetetlen
Injekció Amoxicillin sodium / clavulanic acid
Injekció Amikacin sulfate
3549
Meghatározatlan összeférhetetlenség Összeegyeztethetetlen
Injekció Amoxicillin sodium / clavulanic acid
Parenterális táplálás (lipid) 3545
Azonnali csapadék Összeegyeztethetetlen
Injekció Amoxicillin sodium / clavulanic acid 100/10 mg/ml
Injekció Aciclovir sodium 50 mg/ml
3824
Összeegyeztethető
Injekció Amoxicillin sodium / clavulanic acid
0,9% nátrium-klorid 3545
Meghatározatlan összeférhetetlenség Összeegyeztethetetlen
Injekció Amoxicillin sodium / clavulanic acid
5% glükóz 3545
Összeegyeztethető
Injekció Amoxicillin sodium / clavulanic acid 100/10 mg/ml
Injekció Amikacin sulfate 250 mg/ml
3824
Meghatározatlan összeférhetetlenség Összeegyeztethetetlen
Injekció Amoxicillin sodium / clavulanic acid
Injekció Amikacin sulfate
3545
Αλλαγή χρώματος μετά από 1 ώρα Összeegyeztethetetlen
Injekció Amoxicillin sodium / clavulanic acid 50/10 mg/ml
Parenterális táplálás (lipid) 3948
Összeegyeztethető
Injekció Amoxicillin sodium / clavulanic acid 100/10 mg/ml
Injekció Aminophylline 25 mg/ml
3824
Azonnali csapadék Összeegyeztethetetlen
Injekció Amoxicillin sodium / clavulanic acid 10 mg/ml
Injekció Amiodarone hydrochloride 12.5 mg/ml
2139
Színváltozás Összeegyeztethetetlen
Injekció Amoxicillin sodium / clavulanic acid 100/10 mg/ml
Injekció Amiodarone hydrochloride 50 mg/ml
3824
Összeegyeztethető
Injekció Amoxicillin sodium / clavulanic acid 100/10 mg/ml
Injekció Amphotericin B liposomale 2 mg/ml
3824
Összeegyeztethető
Injekció Amoxicillin sodium / clavulanic acid 100/10 mg/ml
Injekció Ampicillin sodium 100 mg/ml
3824
Összeegyeztethető
Injekció Amoxicillin sodium / clavulanic acid 100/10 mg/ml
Injekció Atropine sulfate 0,4 mg/ml
3824
Összeegyeztethető
Injekció Amoxicillin sodium / clavulanic acid 100/10 mg/ml
Injekció Azithromycine 100 mg/ml
3824
Összeegyeztethető
Injekció Amoxicillin sodium / clavulanic acid 100/10 mg/ml
Injekció Calcium chloride 100 mg/ml
3824
Összeegyeztethető
Injekció Amoxicillin sodium / clavulanic acid 100/10 mg/ml
Injekció Calcium gluconate 100 mg/ml
3824
Összeegyeztethető
Injekció Amoxicillin sodium / clavulanic acid 100/10 mg/ml
Injekció Cefazolin sodium 100 mg/ml
3824
Összeegyeztethető
Injekció Amoxicillin sodium / clavulanic acid 100/10 mg/ml
Injekció Cefotaxime sodium 100 mg/ml
3824
Összeegyeztethető
Injekció Amoxicillin sodium / clavulanic acid 100/10 mg/ml
Injekció Cefoxitin sodium 100 mg/ml
3824
Összeegyeztethető
Injekció Amoxicillin sodium / clavulanic acid 100/10 mg/ml
Injekció Ceftazidime 100 mg/ml
3824
Összeegyeztethető
Injekció Amoxicillin sodium / clavulanic acid 100/10 mg/ml
Injekció Ceftriaxone disodium 100 mg/ml
3824
Azonnali zavarosság Összeegyeztethetetlen
Injekció Amoxicillin sodium / clavulanic acid 100/10 mg/ml
Injekció Ciclosporin 50 mg/ml
3824
Azonnali csapadék Összeegyeztethetetlen
Injekció Amoxicillin sodium / clavulanic acid 12 mg/ml
Injekció Ciprofloxacin lactate 2 mg/ml
Egy sem 1357
Meghatározatlan összeférhetetlenség Összeegyeztethetetlen
Injekció Amoxicillin sodium / clavulanic acid
Injekció Ciprofloxacin lactate
3529
Összeegyeztethető
Injekció Amoxicillin sodium / clavulanic acid 100/10 mg/ml
Injekció Ciprofloxacin lactate 2 mg/ml
3824
Összeegyeztethető
Injekció Amoxicillin sodium / clavulanic acid 100/10 mg/ml
Injekció Cloxacillin sodium 100 mg/ml
3824
Összeegyeztethető
Injekció Amoxicillin sodium / clavulanic acid 100/10 mg/ml
Injekció Co-trimoxazole 16/80 mg/ml
3824
Összeegyeztethető
Injekció Amoxicillin sodium / clavulanic acid
Injekció Daunorubicin/cytarabine liposomale 0,4 mg/mL
0,9% nátrium-klorid 4654
Αλλαγή χρώματος μετά από 1 ώρα Összeegyeztethetetlen
Injekció Amoxicillin sodium / clavulanic acid 50/10 mg/ml
Parenterális táplálás (lipid-mentes) 3948
Zavarosság egy órán belül Összeegyeztethetetlen
Injekció Amoxicillin sodium / clavulanic acid 100/10 mg/ml
Injekció Clindamycin phosphate 150 mg/ml
3824
Meghatározatlan összeférhetetlenség Összeegyeztethetetlen
Injekció Amoxicillin sodium / clavulanic acid
Parenterális táplálás (lipid-mentes) 3545
Összeegyeztethető
Injekció Amoxicillin sodium / clavulanic acid 100/10 mg/ml
Injekció Cefuroxime sodium 100 mg/ml
3824
Összeegyeztethető
Injekció Amoxicillin sodium / clavulanic acid 100/10 mg/ml
Injekció Dexamethasone sodium phosphate 4 mg/ml
3824
Meghatározatlan összeférhetetlenség Összeegyeztethetetlen
Injekció Amoxicillin sodium / clavulanic acid
Injekció Dexamethasone sodium phosphate
3545
Összeegyeztethető
Injekció Amoxicillin sodium / clavulanic acid 100/10 mg/ml
Injekció Dexmedetomidine 100 µg/ml
3824
Összeegyeztethető
Injekció Amoxicillin sodium / clavulanic acid 100/10 mg/ml
Injekció Diazepam 5 mg/ml
3824
Összeegyeztethető
Injekció Amoxicillin sodium / clavulanic acid 100/10 mg/ml
Injekció Digoxin 250 µg/ml
3824
Összeegyeztethető
Injekció Amoxicillin sodium / clavulanic acid 100/10 mg/ml
Injekció Dimenhydrinate 10 mg/ml
3824
Színváltozás Összeegyeztethetetlen
Injekció Amoxicillin sodium / clavulanic acid 100/10 mg/ml
Injekció Diphenhydramine hydrochloride 50 mg/ml
3824
Azonnali csapadék Összeegyeztethetetlen
Injekció Amoxicillin sodium / clavulanic acid 100/10 mg/ml
Injekció Dobutamine hydrochloride 12,5 mg/ml
3824
Összeegyeztethető
Injekció Amoxicillin sodium / clavulanic acid 100/10 mg/ml
Injekció Dopamine hydrochloride 3,2 mg/ml
3824
Összeegyeztethető
Injekció Amoxicillin sodium / clavulanic acid 100/10 mg/ml
Injekció Enalaprilate 1,25 mg/ml
3824
Összeegyeztethető
Injekció Amoxicillin sodium / clavulanic acid 100/10 mg/ml
Injekció Epinephrine hydrochloride 1000 µg/ml
3824
Összeegyeztethető
Injekció Amoxicillin sodium / clavulanic acid 100/10 mg/ml
Injekció Ertapenem 100 mg/ml
3824
Azonnali csapadék Összeegyeztethetetlen
Injekció Amoxicillin sodium / clavulanic acid 100/10 mg/ml
Injekció Erythromycin lactobionate 50 mg/ml
3824
Meghatározatlan összeférhetetlenség Összeegyeztethetetlen
Injekció Amoxicillin sodium / clavulanic acid
Injekció Erythromycin lactobionate
3674
Összeegyeztethető
Injekció Amoxicillin sodium / clavulanic acid 100/10 mg/ml
Injekció Esmolol hydrochloride 10 mg/ml
3824
Összeegyeztethető
Injekció Amoxicillin sodium / clavulanic acid 100/10 mg/ml
Injekció Famotidine 10 mg/ml
3824
Összeegyeztethető
Injekció Amoxicillin sodium / clavulanic acid 100/10 mg/ml
Injekció Fentanyl citrate 50 µg/ml
3824
Összeegyeztethető
Injekció Amoxicillin sodium / clavulanic acid 100/10 mg/ml
Injekció Fluconazole 2 mg/ml
3824
Összeegyeztethető
Injekció Amoxicillin sodium / clavulanic acid 100/10 mg/ml
Injekció Furosemide 10 mg/ml
3824
Meghatározatlan összeférhetetlenség Összeegyeztethetetlen
Injekció Amoxicillin sodium / clavulanic acid
Injekció Gentamicin sulfate
3643
Meghatározatlan összeférhetetlenség Összeegyeztethetetlen
Injekció Amoxicillin sodium / clavulanic acid
Injekció Gentamicin sulfate
3545
Meghatározatlan összeférhetetlenség Összeegyeztethetetlen
Injekció Amoxicillin sodium / clavulanic acid
Injekció Gentamicin sulfate
3520
Összeegyeztethető
Injekció Amoxicillin sodium / clavulanic acid 100/10 mg/ml
Injekció Gentamicin sulfate 40 mg/ml
3824
Összeegyeztethető
Injekció Amoxicillin sodium / clavulanic acid 100/10 mg/ml
Injekció Granisetron hydrochloride 1 mg/ml
3824
Azonnali csapadék Összeegyeztethetetlen
Injekció Amoxicillin sodium / clavulanic acid 100/10 mg/ml
Injekció Haloperidol lactate 5 mg/ml
3824
Összeegyeztethető
Injekció Amoxicillin sodium / clavulanic acid 100/10 mg/ml
Injekció Heparin sodium 1000 UI/ml
3824
Összeegyeztethetetlen
Injekció Amoxicillin sodium / clavulanic acid 100/10 mg/ml
Injekció Human albumin 250 mg/ml
3824
Meghatározatlan összeférhetetlenség Összeegyeztethetetlen
Injekció Amoxicillin sodium / clavulanic acid
Injekció Hydrocortisone sodium succinate
3545
Összeegyeztethető
Injekció Amoxicillin sodium / clavulanic acid 100/10 mg/ml
Injekció Hydrocortisone sodium succinate 50 mg/ml
3824
Összeegyeztethető
Injekció Amoxicillin sodium / clavulanic acid 100/10 mg/ml
Injekció Hydromorphone hydrochloride 10 mg/ml
3824
Azonnali csapadék Összeegyeztethetetlen
Injekció Amoxicillin sodium / clavulanic acid 100/10 mg/ml
Injekció Imipenem - cilastatin sodium 50 mg/ml
3824
Összeegyeztethető
Injekció Amoxicillin sodium / clavulanic acid 100/10 mg/ml
Injekció Insulin 100 UI/ml
3824
Meghatározatlan összeférhetetlenség Összeegyeztethetetlen
Injekció Amoxicillin sodium / clavulanic acid
Injekció Kanamycin sulfate
3545
Azonnali csapadék Összeegyeztethetetlen
Injekció Amoxicillin sodium / clavulanic acid 100/10 mg/ml
Injekció Ketamine hydrochloride 50 mg/ml
3824
Összeegyeztethető
Injekció Amoxicillin sodium / clavulanic acid 100/10 mg/ml
Injekció L-carnitine 200 mg/ml
3824
Összeegyeztethető
Injekció Amoxicillin sodium / clavulanic acid 100/10 mg/ml
Injekció Labetalol hydrochloride 5 mg/ml
3824
Összeegyeztethető
Injekció Amoxicillin sodium / clavulanic acid 100/10 mg/ml
Injekció Levofloxacine 5 mg/ml
3824
Összeegyeztethető
Injekció Amoxicillin sodium / clavulanic acid 100/10 mg/ml
Injekció Lidocaine hydrochloride 1 mg/ml
3824
Összeegyeztethető
Injekció Amoxicillin sodium / clavulanic acid 100/10 mg/ml
Injekció Linezolid 2 mg/ml
3824
Összeegyeztethető
Injekció Amoxicillin sodium / clavulanic acid 100/10 mg/ml
Injekció Lorazepam 4 mg/ml
3824
Összeegyeztethető
Injekció Amoxicillin sodium / clavulanic acid 20/2 mg/ml
Injekció Lorazepam 0.33 mg/ml
0,9% nátrium-klorid 186
Összeegyeztethető
Injekció Amoxicillin sodium / clavulanic acid 100/10 mg/ml
Injekció Magnesium sulfate 500 mg/ml
3824
Meghatározatlan összeférhetetlenség Összeegyeztethetetlen
Injekció Amoxicillin sodium / clavulanic acid
Injekció Mannitol
3545
Összeegyeztethető
Injekció Amoxicillin sodium / clavulanic acid 100/10 mg/ml
Injekció Mannitol 250 mg/ml
3824
Összeegyeztethető
Injekció Amoxicillin sodium / clavulanic acid 100/10 mg/ml
Injekció Meropenem 50 mg/ml
3824
Meghatározatlan összeférhetetlenség Összeegyeztethetetlen
Injekció Amoxicillin sodium / clavulanic acid
Injekció Methylprednisolone acetate
3545
Meghatározatlan összeférhetetlenség Összeegyeztethetetlen
Injekció Amoxicillin sodium / clavulanic acid
Injekció Methylprednisolone sodium succinate
3545
Összeegyeztethetetlen
Injekció Amoxicillin sodium / clavulanic acid 100/10 mg/ml
Injekció Methylprednisolone sodium succinate 125 mg/ml
3824
Összeegyeztethető
Injekció Amoxicillin sodium / clavulanic acid 100/10 mg/ml
Injekció Metoclopramide hydrochloride 5 mg/ml
3824
Összeegyeztethető
Injekció Amoxicillin sodium / clavulanic acid 100/10 mg/ml
Injekció Metronidazole 5 mg/ml
3824
Összeegyeztethető
Injekció Amoxicillin sodium / clavulanic acid 100/10 mg/ml
Injekció Micafungin 20 mg/ml
3824
Színváltozás Összeegyeztethetetlen
Injekció Amoxicillin sodium / clavulanic acid 100/10 mg/ml
Injekció Midazolam hydrochloride 5 mg/ml
3824
Azonnali csapadék Összeegyeztethetetlen
Injekció Amoxicillin sodium / clavulanic acid 20/2 mg/ml
Injekció Midazolam hydrochloride 5 mg/ml
Egy sem 186
Összeegyeztethető
Injekció Amoxicillin sodium / clavulanic acid 100/10 mg/ml
Injekció Milrinone lactate 1 mg/ml
3824
Összeegyeztethető
Injekció Amoxicillin sodium / clavulanic acid 100/10 mg/ml
Injekció Morphine sulfate 50 mg/ml
3824
Összeegyeztethető
Injekció Amoxicillin sodium / clavulanic acid 100/10 mg/ml
Injekció N-acetylcysteine 200 mg/ml
3824
Összeegyeztethető
Injekció Amoxicillin sodium / clavulanic acid 100/10 mg/ml
Injekció Naloxone hydrochloride 0,4 mg/ml
3824
Meghatározatlan összeférhetetlenség Összeegyeztethetetlen
Injekció Amoxicillin sodium / clavulanic acid
Injekció Netilmicin sulfate
3545
Színváltozás Összeegyeztethetetlen
Injekció Amoxicillin sodium / clavulanic acid 100/10 mg/ml
Injekció Nicardipine hydrochloride 1 mg/ml
3824
Zavarosság egy órán belül Összeegyeztethetetlen
Injekció Amoxicillin sodium / clavulanic acid 100/10 mg/ml
Injekció Nitroglycerin 5 mg/ml
3824
Összeegyeztethető
Injekció Amoxicillin sodium / clavulanic acid 100/10 mg/ml
Injekció Norepinephrine bitartrate 1 mg/ml
3824
Összeegyeztethető
Injekció Amoxicillin sodium / clavulanic acid 100/10 mg/ml
Injekció Octreotide acetate 0.5 mg/ml
3824
Összeegyeztethető
Injekció Amoxicillin sodium / clavulanic acid 12 mg/ml
Injekció Ofloxacin 2 mg/ml
Egy sem 889
Azonnali csapadék Összeegyeztethetetlen
Injekció Amoxicillin sodium / clavulanic acid 100/10 mg/ml
Injekció Ondansetron hydrochloride 2 mg/ml
3824
Összeegyeztethető
Injekció Amoxicillin sodium / clavulanic acid 100/10 mg/ml
Injekció Oxytocin 10 UI/ml
3824
Összeegyeztethető
Injekció Amoxicillin sodium / clavulanic acid 100/10 mg/ml
Injekció Pantoprazole sodium 4 mg/ml
3824
Összeegyeztethető
Injekció Amoxicillin sodium / clavulanic acid 100/10 mg/ml
Injekció Paracetamol 10 mg/ml
3824
Meghatározatlan összeférhetetlenség Összeegyeztethetetlen
Injekció Amoxicillin sodium / clavulanic acid
Injekció Phenylephrine hydrochloride
3545
Összeegyeztethető
Injekció Amoxicillin sodium / clavulanic acid 100/10 mg/ml
Injekció Phenylephrine hydrochloride 0,01 mg/ml
3824
Azonnali csapadék Összeegyeztethetetlen
Injekció Amoxicillin sodium / clavulanic acid 100/10 mg/ml
Injekció Phenytoin sodium 50 mg/ml
3824
Kémiai instabilitás Összeegyeztethetetlen
Injekció Amoxicillin sodium / clavulanic acid 10 mg/ml
Injekció Phloroglucinol 2,5 mg/ml
3791
Összeegyeztethető
Injekció Amoxicillin sodium / clavulanic acid 100/10 mg/ml
Injekció Piperacillin sodium / tazobactam 100 mg/ml
3824
Összeegyeztethető
Injekció Amoxicillin sodium / clavulanic acid 100/10 mg/ml
Injekció Potassium chloride 2 mEq/l
3824
Összeegyeztethető
Injekció Amoxicillin sodium / clavulanic acid 100/10 mg/ml
Injekció Potassium phosphate 3 mmol/ml
3824
Összeegyeztethető
Injekció Amoxicillin sodium / clavulanic acid 60 mg/ml
Injekció Propofol
4524
Összeegyeztethető
Injekció Amoxicillin sodium / clavulanic acid 100/10 mg/ml
Injekció Rocuronium bromide 10 mg/ml
3824
Összeegyeztethető
Injekció Amoxicillin sodium / clavulanic acid 100/10 mg/ml
Injekció Salbutamol sulfate 1 mg/ml
3824
Összeegyeztethető
Injekció Amoxicillin sodium / clavulanic acid 100/10 mg/ml
Injekció Sodium bicarbonate 84 mg/ml
3824
Meghatározatlan összeférhetetlenség Összeegyeztethetetlen
Injekció Amoxicillin sodium / clavulanic acid
Injekció Sodium bicarbonate
3545
Összeegyeztethető
Injekció Amoxicillin sodium / clavulanic acid 100/10 mg/ml
Injekció Sufentanil citrate 0,05 mg/ml
3824
Kémiai instabilitás Összeegyeztethetetlen
Injekció Amoxicillin sodium / clavulanic acid 20 mg/ml
Injekció Temocilline 83.33 mg/ml
Injekcióhoz való víz 2231
Meghatározatlan összeférhetetlenség Összeegyeztethetetlen
Injekció Amoxicillin sodium / clavulanic acid
Injekció Temocilline
4470
Összeegyeztethető
Injekció Amoxicillin sodium / clavulanic acid 100/10 mg/ml
Injekció Thiamine hydrochloride 100 mg/ml
3824
Összeegyeztethető
Injekció Amoxicillin sodium / clavulanic acid 100/10 mg/ml
Injekció Tobramycin sulfate 40 mg/ml
3824
Meghatározatlan összeférhetetlenség Összeegyeztethetetlen
Injekció Amoxicillin sodium / clavulanic acid
Injekció Tobramycin sulfate
3545
Összeegyeztethető
Injekció Amoxicillin sodium / clavulanic acid 100/10 mg/ml
Injekció Tranexamic acid 100 mg/ml
3824
Összeegyeztethető
Injekció Amoxicillin sodium / clavulanic acid 100/10 mg/ml
Injekció Vancomycin hydrochloride 50 mg/ml
3824
Azonnali zavarosság Összeegyeztethetetlen
Injekció Amoxicillin sodium / clavulanic acid 100/10 mg/ml
Injekció Verapamil hydrochloride 10 mg/ml
3824
Összeegyeztethető
Injekció Amoxicillin sodium / clavulanic acid 100/10 mg/ml
Injekció Voriconazole 10 mg/ml
3824
Összeegyeztethető
Injekció Amoxicillin sodium / clavulanic acid 100/10 mg/ml
Injekció Zidovudine 10 mg/ml
3824
Meghatározatlan összeférhetetlenség Összeegyeztethetetlen
Injekció Amoxicillin sodium / clavulanic acid
NaHCO3 3545

  Mentions Légales