Posledná aktualizácia :
27/11/2025
antibiotikum   Amoxicillin sodium / clavulanic acid  
Injekcia
Perorálny roztok
Stabilita roztokov Stabilita v zmesiach Faktory ovplyvňujúce stabilitu Kompatibility spôsob podania Odkazy na literatúru PDF
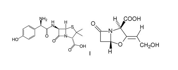
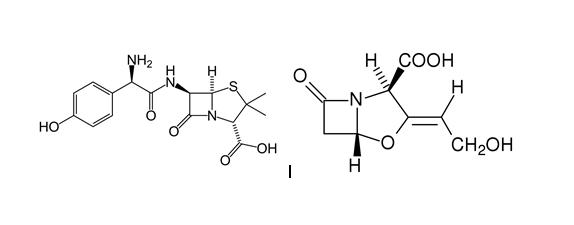
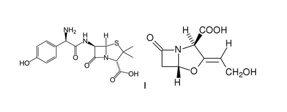
   Chemický vzorec  

Obchodný názov   Obchodný názov     

Obchodné názvy sú orientačné, a zloženie pomocných látok sa môže líšiť v závislosti od krajiny a výrobcu.

Aktil Maďarsko
Amoclan Saudská Arábia
Amoklavin Turecko
Amoksiklav Poľsko
Amoxclav Saudská Arábia
Amplamox Brazília
Augmentin Belgicko, Čile, Ekvádor, Francúzsko, Grécko, Holandsko, Poľsko, Rakúsko, Saudská Arábia, Španielsko, Spojené arabské emiráty, Švajčiarsko, Taliansko, Turecko, Veľká Británia
Betamox Portugalsko
Clavamox Rakúsko
Clavicin Malajzia, Venezuela
Clavulin Brazília
Co-amoxi Švajčiarsko
Co-Amoxicillin Švajčiarsko
Curam nový Zéland, Saudská Arábia
Darzitil Argentína
Dibional Argentína
Julmentin Spojené arabské emiráty
Novamox Brazília
Sulbamox Čile
Tarometin Poľsko
Trifamox Argentína, Ekvádor, Kolumbia, Mexiko
Kompatibility   Injekcia   Kompatibility : Amoxicillin sodium / clavulanic acid              
Toto okno zobrazuje kompatibility alebo inkombatibility, v prípade inkompatibility aj jej typ (vyzrážanie, zmena farby, zmena emulzie atď.). Tu vymenované kompatibility sú väčšinou len fyzikálne, chemická stabilita každej zo zlúčenín sa hodnotila len zriedkavo. Tieto zmesi sa skúmali za účelom možnosti súbežného podávania pacientovi cez infúznu spojku Y. Údaje sa nedajú použiť na prípravu zmesí vo vakoch alebo striekačkách. Taká informácia sa nachádza v okne „Stabilita v zmesiach“.
Zlúčenina rozpúšťadlo odkazy na lieteratúru
Chemická nestabilita nezlučiteľný
Injekcia Amoxicillin sodium / clavulanic acid
Injekcia Amikacin sulfate
3549
Nešpecifikovaná nekompatibilita nezlučiteľný
Injekcia Amoxicillin sodium / clavulanic acid
Parenterálna výživa (lipidy) 3545
Okamžité zrážanie nezlučiteľný
Injekcia Amoxicillin sodium / clavulanic acid 100/10 mg/ml
Injekcia Aciclovir sodium 50 mg/ml
3824
kompatibilný
Injekcia Amoxicillin sodium / clavulanic acid
0,9% chlorid sodný 3545
Nešpecifikovaná nekompatibilita nezlučiteľný
Injekcia Amoxicillin sodium / clavulanic acid
5% glukóza 3545
kompatibilný
Injekcia Amoxicillin sodium / clavulanic acid 100/10 mg/ml
Injekcia Amikacin sulfate 250 mg/ml
3824
Nešpecifikovaná nekompatibilita nezlučiteľný
Injekcia Amoxicillin sodium / clavulanic acid
Injekcia Amikacin sulfate
3545
Zmena farby po 1 hodine nezlučiteľný
Injekcia Amoxicillin sodium / clavulanic acid 50/10 mg/ml
Parenterálna výživa (lipidy) 3948
kompatibilný
Injekcia Amoxicillin sodium / clavulanic acid 100/10 mg/ml
Injekcia Aminophylline 25 mg/ml
3824
Okamžité zrážanie nezlučiteľný
Injekcia Amoxicillin sodium / clavulanic acid 10 mg/ml
Injekcia Amiodarone hydrochloride 12.5 mg/ml
2139
Zmena farby nezlučiteľný
Injekcia Amoxicillin sodium / clavulanic acid 100/10 mg/ml
Injekcia Amiodarone hydrochloride 50 mg/ml
3824
kompatibilný
Injekcia Amoxicillin sodium / clavulanic acid 100/10 mg/ml
Injekcia Amphotericin B liposomale 2 mg/ml
3824
kompatibilný
Injekcia Amoxicillin sodium / clavulanic acid 100/10 mg/ml
Injekcia Ampicillin sodium 100 mg/ml
3824
kompatibilný
Injekcia Amoxicillin sodium / clavulanic acid 100/10 mg/ml
Injekcia Atropine sulfate 0,4 mg/ml
3824
kompatibilný
Injekcia Amoxicillin sodium / clavulanic acid 100/10 mg/ml
Injekcia Azithromycine 100 mg/ml
3824
kompatibilný
Injekcia Amoxicillin sodium / clavulanic acid 100/10 mg/ml
Injekcia Calcium chloride 100 mg/ml
3824
kompatibilný
Injekcia Amoxicillin sodium / clavulanic acid 100/10 mg/ml
Injekcia Calcium gluconate 100 mg/ml
3824
kompatibilný
Injekcia Amoxicillin sodium / clavulanic acid 100/10 mg/ml
Injekcia Cefazolin sodium 100 mg/ml
3824
kompatibilný
Injekcia Amoxicillin sodium / clavulanic acid 100/10 mg/ml
Injekcia Cefotaxime sodium 100 mg/ml
3824
kompatibilný
Injekcia Amoxicillin sodium / clavulanic acid 100/10 mg/ml
Injekcia Cefoxitin sodium 100 mg/ml
3824
kompatibilný
Injekcia Amoxicillin sodium / clavulanic acid 100/10 mg/ml
Injekcia Ceftazidime 100 mg/ml
3824
kompatibilný
Injekcia Amoxicillin sodium / clavulanic acid 100/10 mg/ml
Injekcia Ceftriaxone disodium 100 mg/ml
3824
Okamžitá zákal nezlučiteľný
Injekcia Amoxicillin sodium / clavulanic acid 100/10 mg/ml
Injekcia Ciclosporin 50 mg/ml
3824
Okamžité zrážanie nezlučiteľný
Injekcia Amoxicillin sodium / clavulanic acid 12 mg/ml
Injekcia Ciprofloxacin lactate 2 mg/ml
Žiadny 1357
Nešpecifikovaná nekompatibilita nezlučiteľný
Injekcia Amoxicillin sodium / clavulanic acid
Injekcia Ciprofloxacin lactate
3529
kompatibilný
Injekcia Amoxicillin sodium / clavulanic acid 100/10 mg/ml
Injekcia Ciprofloxacin lactate 2 mg/ml
3824
kompatibilný
Injekcia Amoxicillin sodium / clavulanic acid 100/10 mg/ml
Injekcia Cloxacillin sodium 100 mg/ml
3824
kompatibilný
Injekcia Amoxicillin sodium / clavulanic acid 100/10 mg/ml
Injekcia Co-trimoxazole 16/80 mg/ml
3824
kompatibilný
Injekcia Amoxicillin sodium / clavulanic acid
Injekcia Daunorubicin/cytarabine liposomale 0,4 mg/mL
0,9% chlorid sodný 4654
Zmena farby po 1 hodine nezlučiteľný
Injekcia Amoxicillin sodium / clavulanic acid 50/10 mg/ml
parenterálna výživa (binárna zmes) 3948
Zákal za jednu hodinu nezlučiteľný
Injekcia Amoxicillin sodium / clavulanic acid 100/10 mg/ml
Injekcia Clindamycin phosphate 150 mg/ml
3824
Nešpecifikovaná nekompatibilita nezlučiteľný
Injekcia Amoxicillin sodium / clavulanic acid
parenterálna výživa (binárna zmes) 3545
kompatibilný
Injekcia Amoxicillin sodium / clavulanic acid 100/10 mg/ml
Injekcia Cefuroxime sodium 100 mg/ml
3824
kompatibilný
Injekcia Amoxicillin sodium / clavulanic acid 100/10 mg/ml
Injekcia Dexamethasone sodium phosphate 4 mg/ml
3824
Nešpecifikovaná nekompatibilita nezlučiteľný
Injekcia Amoxicillin sodium / clavulanic acid
Injekcia Dexamethasone sodium phosphate
3545
kompatibilný
Injekcia Amoxicillin sodium / clavulanic acid 100/10 mg/ml
Injekcia Dexmedetomidine 100 µg/ml
3824
kompatibilný
Injekcia Amoxicillin sodium / clavulanic acid 100/10 mg/ml
Injekcia Diazepam 5 mg/ml
3824
kompatibilný
Injekcia Amoxicillin sodium / clavulanic acid 100/10 mg/ml
Injekcia Digoxin 250 µg/ml
3824
kompatibilný
Injekcia Amoxicillin sodium / clavulanic acid 100/10 mg/ml
Injekcia Dimenhydrinate 10 mg/ml
3824
Zmena farby nezlučiteľný
Injekcia Amoxicillin sodium / clavulanic acid 100/10 mg/ml
Injekcia Diphenhydramine hydrochloride 50 mg/ml
3824
Okamžité zrážanie nezlučiteľný
Injekcia Amoxicillin sodium / clavulanic acid 100/10 mg/ml
Injekcia Dobutamine hydrochloride 12,5 mg/ml
3824
kompatibilný
Injekcia Amoxicillin sodium / clavulanic acid 100/10 mg/ml
Injekcia Dopamine hydrochloride 3,2 mg/ml
3824
kompatibilný
Injekcia Amoxicillin sodium / clavulanic acid 100/10 mg/ml
Injekcia Enalaprilate 1,25 mg/ml
3824
kompatibilný
Injekcia Amoxicillin sodium / clavulanic acid 100/10 mg/ml
Injekcia Epinephrine hydrochloride 1000 µg/ml
3824
kompatibilný
Injekcia Amoxicillin sodium / clavulanic acid 100/10 mg/ml
Injekcia Ertapenem 100 mg/ml
3824
Okamžité zrážanie nezlučiteľný
Injekcia Amoxicillin sodium / clavulanic acid 100/10 mg/ml
Injekcia Erythromycin lactobionate 50 mg/ml
3824
Nešpecifikovaná nekompatibilita nezlučiteľný
Injekcia Amoxicillin sodium / clavulanic acid
Injekcia Erythromycin lactobionate
3674
kompatibilný
Injekcia Amoxicillin sodium / clavulanic acid 100/10 mg/ml
Injekcia Esmolol hydrochloride 10 mg/ml
3824
kompatibilný
Injekcia Amoxicillin sodium / clavulanic acid 100/10 mg/ml
Injekcia Famotidine 10 mg/ml
3824
kompatibilný
Injekcia Amoxicillin sodium / clavulanic acid 100/10 mg/ml
Injekcia Fentanyl citrate 50 µg/ml
3824
kompatibilný
Injekcia Amoxicillin sodium / clavulanic acid 100/10 mg/ml
Injekcia Fluconazole 2 mg/ml
3824
kompatibilný
Injekcia Amoxicillin sodium / clavulanic acid 100/10 mg/ml
Injekcia Furosemide 10 mg/ml
3824
Nešpecifikovaná nekompatibilita nezlučiteľný
Injekcia Amoxicillin sodium / clavulanic acid
Injekcia Gentamicin sulfate
3643
Nešpecifikovaná nekompatibilita nezlučiteľný
Injekcia Amoxicillin sodium / clavulanic acid
Injekcia Gentamicin sulfate
3545
Nešpecifikovaná nekompatibilita nezlučiteľný
Injekcia Amoxicillin sodium / clavulanic acid
Injekcia Gentamicin sulfate
3520
kompatibilný
Injekcia Amoxicillin sodium / clavulanic acid 100/10 mg/ml
Injekcia Gentamicin sulfate 40 mg/ml
3824
kompatibilný
Injekcia Amoxicillin sodium / clavulanic acid 100/10 mg/ml
Injekcia Granisetron hydrochloride 1 mg/ml
3824
Okamžité zrážanie nezlučiteľný
Injekcia Amoxicillin sodium / clavulanic acid 100/10 mg/ml
Injekcia Haloperidol lactate 5 mg/ml
3824
kompatibilný
Injekcia Amoxicillin sodium / clavulanic acid 100/10 mg/ml
Injekcia Heparin sodium 1000 UI/ml
3824
nezlučiteľný
Injekcia Amoxicillin sodium / clavulanic acid 100/10 mg/ml
Injekcia Human albumin 250 mg/ml
3824
Nešpecifikovaná nekompatibilita nezlučiteľný
Injekcia Amoxicillin sodium / clavulanic acid
Injekcia Hydrocortisone sodium succinate
3545
kompatibilný
Injekcia Amoxicillin sodium / clavulanic acid 100/10 mg/ml
Injekcia Hydrocortisone sodium succinate 50 mg/ml
3824
kompatibilný
Injekcia Amoxicillin sodium / clavulanic acid 100/10 mg/ml
Injekcia Hydromorphone hydrochloride 10 mg/ml
3824
Okamžité zrážanie nezlučiteľný
Injekcia Amoxicillin sodium / clavulanic acid 100/10 mg/ml
Injekcia Imipenem - cilastatin sodium 50 mg/ml
3824
kompatibilný
Injekcia Amoxicillin sodium / clavulanic acid 100/10 mg/ml
Injekcia Insulin 100 UI/ml
3824
Nešpecifikovaná nekompatibilita nezlučiteľný
Injekcia Amoxicillin sodium / clavulanic acid
Injekcia Kanamycin sulfate
3545
Okamžité zrážanie nezlučiteľný
Injekcia Amoxicillin sodium / clavulanic acid 100/10 mg/ml
Injekcia Ketamine hydrochloride 50 mg/ml
3824
kompatibilný
Injekcia Amoxicillin sodium / clavulanic acid 100/10 mg/ml
Injekcia L-carnitine 200 mg/ml
3824
kompatibilný
Injekcia Amoxicillin sodium / clavulanic acid 100/10 mg/ml
Injekcia Labetalol hydrochloride 5 mg/ml
3824
kompatibilný
Injekcia Amoxicillin sodium / clavulanic acid 100/10 mg/ml
Injekcia Levofloxacine 5 mg/ml
3824
kompatibilný
Injekcia Amoxicillin sodium / clavulanic acid 100/10 mg/ml
Injekcia Lidocaine hydrochloride 1 mg/ml
3824
kompatibilný
Injekcia Amoxicillin sodium / clavulanic acid 100/10 mg/ml
Injekcia Linezolid 2 mg/ml
3824
kompatibilný
Injekcia Amoxicillin sodium / clavulanic acid 100/10 mg/ml
Injekcia Lorazepam 4 mg/ml
3824
kompatibilný
Injekcia Amoxicillin sodium / clavulanic acid 20/2 mg/ml
Injekcia Lorazepam 0.33 mg/ml
0,9% chlorid sodný 186
kompatibilný
Injekcia Amoxicillin sodium / clavulanic acid 100/10 mg/ml
Injekcia Magnesium sulfate 500 mg/ml
3824
Nešpecifikovaná nekompatibilita nezlučiteľný
Injekcia Amoxicillin sodium / clavulanic acid
Injekcia Mannitol
3545
kompatibilný
Injekcia Amoxicillin sodium / clavulanic acid 100/10 mg/ml
Injekcia Mannitol 250 mg/ml
3824
kompatibilný
Injekcia Amoxicillin sodium / clavulanic acid 100/10 mg/ml
Injekcia Meropenem 50 mg/ml
3824
Nešpecifikovaná nekompatibilita nezlučiteľný
Injekcia Amoxicillin sodium / clavulanic acid
Injekcia Methylprednisolone acetate
3545
Nešpecifikovaná nekompatibilita nezlučiteľný
Injekcia Amoxicillin sodium / clavulanic acid
Injekcia Methylprednisolone sodium succinate
3545
nezlučiteľný
Injekcia Amoxicillin sodium / clavulanic acid 100/10 mg/ml
Injekcia Methylprednisolone sodium succinate 125 mg/ml
3824
kompatibilný
Injekcia Amoxicillin sodium / clavulanic acid 100/10 mg/ml
Injekcia Metoclopramide hydrochloride 5 mg/ml
3824
kompatibilný
Injekcia Amoxicillin sodium / clavulanic acid 100/10 mg/ml
Injekcia Metronidazole 5 mg/ml
3824
kompatibilný
Injekcia Amoxicillin sodium / clavulanic acid 100/10 mg/ml
Injekcia Micafungin 20 mg/ml
3824
Zmena farby nezlučiteľný
Injekcia Amoxicillin sodium / clavulanic acid 100/10 mg/ml
Injekcia Midazolam hydrochloride 5 mg/ml
3824
Okamžité zrážanie nezlučiteľný
Injekcia Amoxicillin sodium / clavulanic acid 20/2 mg/ml
Injekcia Midazolam hydrochloride 5 mg/ml
Žiadny 186
kompatibilný
Injekcia Amoxicillin sodium / clavulanic acid 100/10 mg/ml
Injekcia Milrinone lactate 1 mg/ml
3824
kompatibilný
Injekcia Amoxicillin sodium / clavulanic acid 100/10 mg/ml
Injekcia Morphine sulfate 50 mg/ml
3824
kompatibilný
Injekcia Amoxicillin sodium / clavulanic acid 100/10 mg/ml
Injekcia N-acetylcysteine 200 mg/ml
3824
kompatibilný
Injekcia Amoxicillin sodium / clavulanic acid 100/10 mg/ml
Injekcia Naloxone hydrochloride 0,4 mg/ml
3824
Nešpecifikovaná nekompatibilita nezlučiteľný
Injekcia Amoxicillin sodium / clavulanic acid
Injekcia Netilmicin sulfate
3545
Zmena farby nezlučiteľný
Injekcia Amoxicillin sodium / clavulanic acid 100/10 mg/ml
Injekcia Nicardipine hydrochloride 1 mg/ml
3824
Zákal za jednu hodinu nezlučiteľný
Injekcia Amoxicillin sodium / clavulanic acid 100/10 mg/ml
Injekcia Nitroglycerin 5 mg/ml
3824
kompatibilný
Injekcia Amoxicillin sodium / clavulanic acid 100/10 mg/ml
Injekcia Norepinephrine bitartrate 1 mg/ml
3824
kompatibilný
Injekcia Amoxicillin sodium / clavulanic acid 100/10 mg/ml
Injekcia Octreotide acetate 0.5 mg/ml
3824
kompatibilný
Injekcia Amoxicillin sodium / clavulanic acid 12 mg/ml
Injekcia Ofloxacin 2 mg/ml
Žiadny 889
Okamžité zrážanie nezlučiteľný
Injekcia Amoxicillin sodium / clavulanic acid 100/10 mg/ml
Injekcia Ondansetron hydrochloride 2 mg/ml
3824
kompatibilný
Injekcia Amoxicillin sodium / clavulanic acid 100/10 mg/ml
Injekcia Oxytocin 10 UI/ml
3824
kompatibilný
Injekcia Amoxicillin sodium / clavulanic acid 100/10 mg/ml
Injekcia Pantoprazole sodium 4 mg/ml
3824
kompatibilný
Injekcia Amoxicillin sodium / clavulanic acid 100/10 mg/ml
Injekcia Paracetamol 10 mg/ml
3824
Nešpecifikovaná nekompatibilita nezlučiteľný
Injekcia Amoxicillin sodium / clavulanic acid
Injekcia Phenylephrine hydrochloride
3545
kompatibilný
Injekcia Amoxicillin sodium / clavulanic acid 100/10 mg/ml
Injekcia Phenylephrine hydrochloride 0,01 mg/ml
3824
Okamžité zrážanie nezlučiteľný
Injekcia Amoxicillin sodium / clavulanic acid 100/10 mg/ml
Injekcia Phenytoin sodium 50 mg/ml
3824
Chemická nestabilita nezlučiteľný
Injekcia Amoxicillin sodium / clavulanic acid 10 mg/ml
Injekcia Phloroglucinol 2,5 mg/ml
3791
kompatibilný
Injekcia Amoxicillin sodium / clavulanic acid 100/10 mg/ml
Injekcia Piperacillin sodium / tazobactam 100 mg/ml
3824
kompatibilný
Injekcia Amoxicillin sodium / clavulanic acid 100/10 mg/ml
Injekcia Potassium chloride 2 mEq/l
3824
kompatibilný
Injekcia Amoxicillin sodium / clavulanic acid 100/10 mg/ml
Injekcia Potassium phosphate 3 mmol/ml
3824
kompatibilný
Injekcia Amoxicillin sodium / clavulanic acid 60 mg/ml
Injekcia Propofol
4524
kompatibilný
Injekcia Amoxicillin sodium / clavulanic acid 100/10 mg/ml
Injekcia Rocuronium bromide 10 mg/ml
3824
kompatibilný
Injekcia Amoxicillin sodium / clavulanic acid 100/10 mg/ml
Injekcia Salbutamol sulfate 1 mg/ml
3824
kompatibilný
Injekcia Amoxicillin sodium / clavulanic acid 100/10 mg/ml
Injekcia Sodium bicarbonate 84 mg/ml
3824
Nešpecifikovaná nekompatibilita nezlučiteľný
Injekcia Amoxicillin sodium / clavulanic acid
Injekcia Sodium bicarbonate
3545
kompatibilný
Injekcia Amoxicillin sodium / clavulanic acid 100/10 mg/ml
Injekcia Sufentanil citrate 0,05 mg/ml
3824
Chemická nestabilita nezlučiteľný
Injekcia Amoxicillin sodium / clavulanic acid 20 mg/ml
Injekcia Temocilline 83.33 mg/ml
voda na injekciu 2231
Nešpecifikovaná nekompatibilita nezlučiteľný
Injekcia Amoxicillin sodium / clavulanic acid
Injekcia Temocilline
4470
kompatibilný
Injekcia Amoxicillin sodium / clavulanic acid 100/10 mg/ml
Injekcia Thiamine hydrochloride 100 mg/ml
3824
kompatibilný
Injekcia Amoxicillin sodium / clavulanic acid 100/10 mg/ml
Injekcia Tobramycin sulfate 40 mg/ml
3824
Nešpecifikovaná nekompatibilita nezlučiteľný
Injekcia Amoxicillin sodium / clavulanic acid
Injekcia Tobramycin sulfate
3545
kompatibilný
Injekcia Amoxicillin sodium / clavulanic acid 100/10 mg/ml
Injekcia Tranexamic acid 100 mg/ml
3824
kompatibilný
Injekcia Amoxicillin sodium / clavulanic acid 100/10 mg/ml
Injekcia Vancomycin hydrochloride 50 mg/ml
3824
Okamžitá zákal nezlučiteľný
Injekcia Amoxicillin sodium / clavulanic acid 100/10 mg/ml
Injekcia Verapamil hydrochloride 10 mg/ml
3824
kompatibilný
Injekcia Amoxicillin sodium / clavulanic acid 100/10 mg/ml
Injekcia Voriconazole 10 mg/ml
3824
kompatibilný
Injekcia Amoxicillin sodium / clavulanic acid 100/10 mg/ml
Injekcia Zidovudine 10 mg/ml
3824
Nešpecifikovaná nekompatibilita nezlučiteľný
Injekcia Amoxicillin sodium / clavulanic acid
NaHCO3 3545

  Mentions Légales