Dernière mise à jour :
05/12/2025
Antibiotique   Amoxicillin sodium / clavulanic acid  
injectable
Solution buvable
Stabilité des solutions Stabilité en mélange Facteur influençant la stabilité Compatibilités Voie d’administration Bibliographie pdf
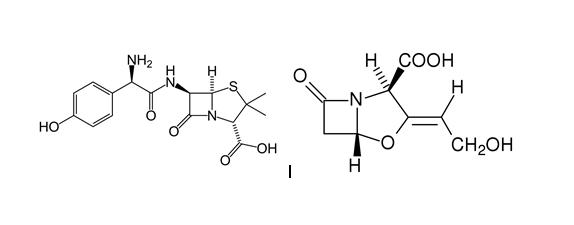
   Structure chimique  

Noms commerciaux   Noms commerciaux     

Les noms commerciaux sont donnés à titre indicatif et la composition en excipients peut être différente selon les pays et selon les laboratoires

Aktil Hongrie
Amoclan Arabie Saoudite
Amoklavin Turquie
Amoksiklav Pologne
Amoxclav Arabie Saoudite
Amplamox Brésil
Augmentin Arabie Saoudite, Autriche, Belgique, Chili, Emirats Arabes Unis , Equateur, Espagne, France, Grande Bretagne, Grèce, Italie, Pays bas, Pologne, Suisse, Turquie
Betamox Portugal
Clavamox Autriche
Clavicin Malaisie, Vénézuela
Clavulin Brésil
Co-amoxi Suisse
Co-Amoxicillin Suisse
Curam Arabie Saoudite, Nouvelle Zélande
Darzitil Argentine
Dibional Argentine
Julmentin Emirats Arabes Unis
Novamox Brésil
Sulbamox Chili
Tarometin Pologne
Trifamox Argentine, Colombie, Equateur, Mexique
Stabilité des solutions   injectable   Stabilité des solutions : Amoxicillin sodium / clavulanic acid     
Contenant Solvant Concentration Température Conservation Durée de stabilité Bibliographie
Polyolefine Chlorure de sodium 0,9% 20 / 2 mg/ml 20-25°C Lumière
4 Heure
1746
Niveau de preuve B

Polyolefine Chlorure de sodium 0,9% 20 / 2 mg/ml 4°C A l’abri de la lumière
8 Heure
1746
Niveau de preuve B

Polyolefine Chlorure de sodium 0,9% 20 / 4 mg/ml 20-25°C Lumière
4 Heure
1746
Niveau de preuve B

Polyolefine Chlorure de sodium 0,9% 20 / 4 mg/ml 4°C A l’abri de la lumière
8 Heure
1746
Niveau de preuve B

Seringue polypropylène Eau pour préparation injectable 25/5 mg/ml 2-8°C A l’abri de la lumière
4 Heure
4922
Niveau de preuve D


  Mentions Légales