Последнее обновление :
27/04/2026
Антибиотик   Amoxicillin sodium / clavulanic acid  
Инъекция
Раствор для перорального приёма
Стабильность растворов Стабильность смесей Факторы, которые влияют на стабильность Совместимость Способы введения Библиография pdf
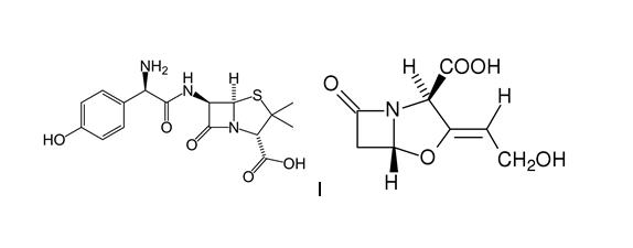
   Химическая структура  

Товарное название   Товарное название     

Trade names are indicative and excipients composition can be different depending on the country and manufacturers

Aktil Венгрия
Amoclan Саудовская Аравия
Amoklavin Турция
Amoksiklav Польша
Amoxclav Саудовская Аравия
Amplamox Бразилия
Augmentin Австрия, Бельгия, Великобритания, Голландия, Греция, Испания, Италия, Объединенные Арабские Эмираты, Польша, Саудовская Аравия, Турция, Франция, чили, Швейцария, Эквадор
Betamox Португалия
Clavamox Австрия
Clavicin Венесуэла, Малайзия
Clavulin Бразилия
Co-amoxi Швейцария
Co-Amoxicillin Швейцария
Curam новая Зеландия, Саудовская Аравия
Darzitil Аргентина
Dibional Аргентина
Julmentin Объединенные Арабские Эмираты
Novamox Бразилия
Sulbamox чили
Tarometin Польша
Trifamox Аргентина, Колумбия, Мексика, Эквадор
Совместимость   Инъекция   Совместимость : Amoxicillin sodium / clavulanic acid              
Эта таблица показывает совместимость или несовместимость препаратов, по возможности тип несовместимости (преципитат, смена цвета, разложение эмульсии и др.). Показанные здесь совместимости в основном физические, по возможности указана и химическая стабильность каждой молекулы. Анализ этих смесей произведён для исследования возможности ввести препараты пациенту в Y-соединении систем. Эти данные нельзя использовать, чтобы приготовить лекарства на будущее в мешках или шприцах. Эта информация доступна в разделе "Стабильность смесей".
Молекула Растворитель Ссылки
Химическая нестабильность несовместимый
Инъекция Amoxicillin sodium / clavulanic acid
Инъекция Amikacin sulfate
3549
Неопределенная несовместимость несовместимый
Инъекция Amoxicillin sodium / clavulanic acid
Парентеральное питание (с липидами) 3545
Немедленные осадки несовместимый
Инъекция Amoxicillin sodium / clavulanic acid 100/10 mg/ml
Инъекция Aciclovir sodium 50 mg/ml
3824
совместимый
Инъекция Amoxicillin sodium / clavulanic acid
Натрия хлорид 0,9% 3545
Неопределенная несовместимость несовместимый
Инъекция Amoxicillin sodium / clavulanic acid
Глюкоза 5% 3545
совместимый
Инъекция Amoxicillin sodium / clavulanic acid 100/10 mg/ml
Инъекция Amikacin sulfate 250 mg/ml
3824
Неопределенная несовместимость несовместимый
Инъекция Amoxicillin sodium / clavulanic acid
Инъекция Amikacin sulfate
3545
 35/5000 Изменение цвета через 1 час несовместимый
Инъекция Amoxicillin sodium / clavulanic acid 50/10 mg/ml
Парентеральное питание (с липидами) 3948
совместимый
Инъекция Amoxicillin sodium / clavulanic acid 100/10 mg/ml
Инъекция Aminophylline 25 mg/ml
3824
Немедленные осадки несовместимый
Инъекция Amoxicillin sodium / clavulanic acid 10 mg/ml
Инъекция Amiodarone hydrochloride 12.5 mg/ml
2139
Изменение цвета несовместимый
Инъекция Amoxicillin sodium / clavulanic acid 100/10 mg/ml
Инъекция Amiodarone hydrochloride 50 mg/ml
3824
совместимый
Инъекция Amoxicillin sodium / clavulanic acid 100/10 mg/ml
Инъекция Amphotericin B liposomale 2 mg/ml
3824
совместимый
Инъекция Amoxicillin sodium / clavulanic acid 100/10 mg/ml
Инъекция Ampicillin sodium 100 mg/ml
3824
совместимый
Инъекция Amoxicillin sodium / clavulanic acid 100/10 mg/ml
Инъекция Atropine sulfate 0,4 mg/ml
3824
совместимый
Инъекция Amoxicillin sodium / clavulanic acid 100/10 mg/ml
Инъекция Azithromycine 100 mg/ml
3824
совместимый
Инъекция Amoxicillin sodium / clavulanic acid 100/10 mg/ml
Инъекция Calcium chloride 100 mg/ml
3824
совместимый
Инъекция Amoxicillin sodium / clavulanic acid 100/10 mg/ml
Инъекция Calcium gluconate 100 mg/ml
3824
совместимый
Инъекция Amoxicillin sodium / clavulanic acid 100/10 mg/ml
Инъекция Cefazolin sodium 100 mg/ml
3824
совместимый
Инъекция Amoxicillin sodium / clavulanic acid 100/10 mg/ml
Инъекция Cefotaxime sodium 100 mg/ml
3824
совместимый
Инъекция Amoxicillin sodium / clavulanic acid 100/10 mg/ml
Инъекция Cefoxitin sodium 100 mg/ml
3824
совместимый
Инъекция Amoxicillin sodium / clavulanic acid 100/10 mg/ml
Инъекция Ceftazidime 100 mg/ml
3824
совместимый
Инъекция Amoxicillin sodium / clavulanic acid 100/10 mg/ml
Инъекция Ceftriaxone disodium 100 mg/ml
3824
Немедленная мутность несовместимый
Инъекция Amoxicillin sodium / clavulanic acid 100/10 mg/ml
Инъекция Ciclosporin 50 mg/ml
3824
Немедленные осадки несовместимый
Инъекция Amoxicillin sodium / clavulanic acid 12 mg/ml
Инъекция Ciprofloxacin lactate 2 mg/ml
Нет 1357
Неопределенная несовместимость несовместимый
Инъекция Amoxicillin sodium / clavulanic acid
Инъекция Ciprofloxacin lactate
3529
совместимый
Инъекция Amoxicillin sodium / clavulanic acid 100/10 mg/ml
Инъекция Ciprofloxacin lactate 2 mg/ml
3824
совместимый
Инъекция Amoxicillin sodium / clavulanic acid 100/10 mg/ml
Инъекция Cloxacillin sodium 100 mg/ml
3824
совместимый
Инъекция Amoxicillin sodium / clavulanic acid 100/10 mg/ml
Инъекция Co-trimoxazole 16/80 mg/ml
3824
совместимый
Инъекция Amoxicillin sodium / clavulanic acid
Инъекция Daunorubicin/cytarabine liposomale 0,4 mg/mL
Натрия хлорид 0,9% 4654
 35/5000 Изменение цвета через 1 час несовместимый
Инъекция Amoxicillin sodium / clavulanic acid 50/10 mg/ml
Парентеральное питание (бинарная смесь) 3948
Мутность за один час несовместимый
Инъекция Amoxicillin sodium / clavulanic acid 100/10 mg/ml
Инъекция Clindamycin phosphate 150 mg/ml
3824
Неопределенная несовместимость несовместимый
Инъекция Amoxicillin sodium / clavulanic acid
Парентеральное питание (бинарная смесь) 3545
совместимый
Инъекция Amoxicillin sodium / clavulanic acid 100/10 mg/ml
Инъекция Cefuroxime sodium 100 mg/ml
3824
совместимый
Инъекция Amoxicillin sodium / clavulanic acid 100/10 mg/ml
Инъекция Dexamethasone sodium phosphate 4 mg/ml
3824
Неопределенная несовместимость несовместимый
Инъекция Amoxicillin sodium / clavulanic acid
Инъекция Dexamethasone sodium phosphate
3545
совместимый
Инъекция Amoxicillin sodium / clavulanic acid 100/10 mg/ml
Инъекция Dexmedetomidine 100 µg/ml
3824
совместимый
Инъекция Amoxicillin sodium / clavulanic acid 100/10 mg/ml
Инъекция Diazepam 5 mg/ml
3824
совместимый
Инъекция Amoxicillin sodium / clavulanic acid 100/10 mg/ml
Инъекция Digoxin 250 µg/ml
3824
совместимый
Инъекция Amoxicillin sodium / clavulanic acid 100/10 mg/ml
Инъекция Dimenhydrinate 10 mg/ml
3824
Изменение цвета несовместимый
Инъекция Amoxicillin sodium / clavulanic acid 100/10 mg/ml
Инъекция Diphenhydramine hydrochloride 50 mg/ml
3824
Немедленные осадки несовместимый
Инъекция Amoxicillin sodium / clavulanic acid 100/10 mg/ml
Инъекция Dobutamine hydrochloride 12,5 mg/ml
3824
совместимый
Инъекция Amoxicillin sodium / clavulanic acid 100/10 mg/ml
Инъекция Dopamine hydrochloride 3,2 mg/ml
3824
совместимый
Инъекция Amoxicillin sodium / clavulanic acid 100/10 mg/ml
Инъекция Enalaprilate 1,25 mg/ml
3824
совместимый
Инъекция Amoxicillin sodium / clavulanic acid 100/10 mg/ml
Инъекция Epinephrine hydrochloride 1000 µg/ml
3824
совместимый
Инъекция Amoxicillin sodium / clavulanic acid 100/10 mg/ml
Инъекция Ertapenem 100 mg/ml
3824
Немедленные осадки несовместимый
Инъекция Amoxicillin sodium / clavulanic acid 100/10 mg/ml
Инъекция Erythromycin lactobionate 50 mg/ml
3824
Неопределенная несовместимость несовместимый
Инъекция Amoxicillin sodium / clavulanic acid
Инъекция Erythromycin lactobionate
3674
совместимый
Инъекция Amoxicillin sodium / clavulanic acid 100/10 mg/ml
Инъекция Esmolol hydrochloride 10 mg/ml
3824
совместимый
Инъекция Amoxicillin sodium / clavulanic acid 100/10 mg/ml
Инъекция Famotidine 10 mg/ml
3824
совместимый
Инъекция Amoxicillin sodium / clavulanic acid 100/10 mg/ml
Инъекция Fentanyl citrate 50 µg/ml
3824
совместимый
Инъекция Amoxicillin sodium / clavulanic acid 100/10 mg/ml
Инъекция Fluconazole 2 mg/ml
3824
совместимый
Инъекция Amoxicillin sodium / clavulanic acid 100/10 mg/ml
Инъекция Furosemide 10 mg/ml
3824
Неопределенная несовместимость несовместимый
Инъекция Amoxicillin sodium / clavulanic acid
Инъекция Gentamicin sulfate
3643
Неопределенная несовместимость несовместимый
Инъекция Amoxicillin sodium / clavulanic acid
Инъекция Gentamicin sulfate
3545
Неопределенная несовместимость несовместимый
Инъекция Amoxicillin sodium / clavulanic acid
Инъекция Gentamicin sulfate
3520
совместимый
Инъекция Amoxicillin sodium / clavulanic acid 100/10 mg/ml
Инъекция Gentamicin sulfate 40 mg/ml
3824
совместимый
Инъекция Amoxicillin sodium / clavulanic acid 100/10 mg/ml
Инъекция Granisetron hydrochloride 1 mg/ml
3824
Немедленные осадки несовместимый
Инъекция Amoxicillin sodium / clavulanic acid 100/10 mg/ml
Инъекция Haloperidol lactate 5 mg/ml
3824
совместимый
Инъекция Amoxicillin sodium / clavulanic acid 100/10 mg/ml
Инъекция Heparin sodium 1000 UI/ml
3824
несовместимый
Инъекция Amoxicillin sodium / clavulanic acid 100/10 mg/ml
Инъекция Human albumin 250 mg/ml
3824
Неопределенная несовместимость несовместимый
Инъекция Amoxicillin sodium / clavulanic acid
Инъекция Hydrocortisone sodium succinate
3545
совместимый
Инъекция Amoxicillin sodium / clavulanic acid 100/10 mg/ml
Инъекция Hydrocortisone sodium succinate 50 mg/ml
3824
совместимый
Инъекция Amoxicillin sodium / clavulanic acid 100/10 mg/ml
Инъекция Hydromorphone hydrochloride 10 mg/ml
3824
Немедленные осадки несовместимый
Инъекция Amoxicillin sodium / clavulanic acid 100/10 mg/ml
Инъекция Imipenem - cilastatin sodium 50 mg/ml
3824
совместимый
Инъекция Amoxicillin sodium / clavulanic acid 100/10 mg/ml
Инъекция Insulin 100 UI/ml
3824
Неопределенная несовместимость несовместимый
Инъекция Amoxicillin sodium / clavulanic acid
Инъекция Kanamycin sulfate
3545
Немедленные осадки несовместимый
Инъекция Amoxicillin sodium / clavulanic acid 100/10 mg/ml
Инъекция Ketamine hydrochloride 50 mg/ml
3824
совместимый
Инъекция Amoxicillin sodium / clavulanic acid 100/10 mg/ml
Инъекция L-carnitine 200 mg/ml
3824
совместимый
Инъекция Amoxicillin sodium / clavulanic acid 100/10 mg/ml
Инъекция Labetalol hydrochloride 5 mg/ml
3824
совместимый
Инъекция Amoxicillin sodium / clavulanic acid 100/10 mg/ml
Инъекция Levofloxacine 5 mg/ml
3824
совместимый
Инъекция Amoxicillin sodium / clavulanic acid 100/10 mg/ml
Инъекция Lidocaine hydrochloride 1 mg/ml
3824
совместимый
Инъекция Amoxicillin sodium / clavulanic acid 100/10 mg/ml
Инъекция Linezolid 2 mg/ml
3824
совместимый
Инъекция Amoxicillin sodium / clavulanic acid 100/10 mg/ml
Инъекция Lorazepam 4 mg/ml
3824
совместимый
Инъекция Amoxicillin sodium / clavulanic acid 20/2 mg/ml
Инъекция Lorazepam 0.33 mg/ml
Натрия хлорид 0,9% 186
совместимый
Инъекция Amoxicillin sodium / clavulanic acid 100/10 mg/ml
Инъекция Magnesium sulfate 500 mg/ml
3824
Неопределенная несовместимость несовместимый
Инъекция Amoxicillin sodium / clavulanic acid
Инъекция Mannitol
3545
совместимый
Инъекция Amoxicillin sodium / clavulanic acid 100/10 mg/ml
Инъекция Mannitol 250 mg/ml
3824
совместимый
Инъекция Amoxicillin sodium / clavulanic acid 100/10 mg/ml
Инъекция Meropenem 50 mg/ml
3824
Неопределенная несовместимость несовместимый
Инъекция Amoxicillin sodium / clavulanic acid
Инъекция Methylprednisolone acetate
3545
Неопределенная несовместимость несовместимый
Инъекция Amoxicillin sodium / clavulanic acid
Инъекция Methylprednisolone sodium succinate
3545
несовместимый
Инъекция Amoxicillin sodium / clavulanic acid 100/10 mg/ml
Инъекция Methylprednisolone sodium succinate 125 mg/ml
3824
совместимый
Инъекция Amoxicillin sodium / clavulanic acid 100/10 mg/ml
Инъекция Metoclopramide hydrochloride 5 mg/ml
3824
совместимый
Инъекция Amoxicillin sodium / clavulanic acid 100/10 mg/ml
Инъекция Metronidazole 5 mg/ml
3824
совместимый
Инъекция Amoxicillin sodium / clavulanic acid 100/10 mg/ml
Инъекция Micafungin 20 mg/ml
3824
Изменение цвета несовместимый
Инъекция Amoxicillin sodium / clavulanic acid 100/10 mg/ml
Инъекция Midazolam hydrochloride 5 mg/ml
3824
Немедленные осадки несовместимый
Инъекция Amoxicillin sodium / clavulanic acid 20/2 mg/ml
Инъекция Midazolam hydrochloride 5 mg/ml
Нет 186
совместимый
Инъекция Amoxicillin sodium / clavulanic acid 100/10 mg/ml
Инъекция Milrinone lactate 1 mg/ml
3824
совместимый
Инъекция Amoxicillin sodium / clavulanic acid 100/10 mg/ml
Инъекция Morphine sulfate 50 mg/ml
3824
совместимый
Инъекция Amoxicillin sodium / clavulanic acid 100/10 mg/ml
Инъекция N-acetylcysteine 200 mg/ml
3824
совместимый
Инъекция Amoxicillin sodium / clavulanic acid 100/10 mg/ml
Инъекция Naloxone hydrochloride 0,4 mg/ml
3824
Неопределенная несовместимость несовместимый
Инъекция Amoxicillin sodium / clavulanic acid
Инъекция Netilmicin sulfate
3545
Изменение цвета несовместимый
Инъекция Amoxicillin sodium / clavulanic acid 100/10 mg/ml
Инъекция Nicardipine hydrochloride 1 mg/ml
3824
Мутность за один час несовместимый
Инъекция Amoxicillin sodium / clavulanic acid 100/10 mg/ml
Инъекция Nitroglycerin 5 mg/ml
3824
совместимый
Инъекция Amoxicillin sodium / clavulanic acid 100/10 mg/ml
Инъекция Norepinephrine bitartrate 1 mg/ml
3824
совместимый
Инъекция Amoxicillin sodium / clavulanic acid 100/10 mg/ml
Инъекция Octreotide acetate 0.5 mg/ml
3824
совместимый
Инъекция Amoxicillin sodium / clavulanic acid 12 mg/ml
Инъекция Ofloxacin 2 mg/ml
Нет 889
Немедленные осадки несовместимый
Инъекция Amoxicillin sodium / clavulanic acid 100/10 mg/ml
Инъекция Ondansetron hydrochloride 2 mg/ml
3824
совместимый
Инъекция Amoxicillin sodium / clavulanic acid 100/10 mg/ml
Инъекция Oxytocin 10 UI/ml
3824
совместимый
Инъекция Amoxicillin sodium / clavulanic acid 100/10 mg/ml
Инъекция Pantoprazole sodium 4 mg/ml
3824
совместимый
Инъекция Amoxicillin sodium / clavulanic acid 100/10 mg/ml
Инъекция Paracetamol 10 mg/ml
3824
Неопределенная несовместимость несовместимый
Инъекция Amoxicillin sodium / clavulanic acid
Инъекция Phenylephrine hydrochloride
3545
совместимый
Инъекция Amoxicillin sodium / clavulanic acid 100/10 mg/ml
Инъекция Phenylephrine hydrochloride 0,01 mg/ml
3824
Немедленные осадки несовместимый
Инъекция Amoxicillin sodium / clavulanic acid 100/10 mg/ml
Инъекция Phenytoin sodium 50 mg/ml
3824
Химическая нестабильность несовместимый
Инъекция Amoxicillin sodium / clavulanic acid 10 mg/ml
Инъекция Phloroglucinol 2,5 mg/ml
3791
совместимый
Инъекция Amoxicillin sodium / clavulanic acid 100/10 mg/ml
Инъекция Piperacillin sodium / tazobactam 100 mg/ml
3824
совместимый
Инъекция Amoxicillin sodium / clavulanic acid 100/10 mg/ml
Инъекция Potassium chloride 2 mEq/l
3824
совместимый
Инъекция Amoxicillin sodium / clavulanic acid 100/10 mg/ml
Инъекция Potassium phosphate 3 mmol/ml
3824
совместимый
Инъекция Amoxicillin sodium / clavulanic acid 60 mg/ml
Инъекция Propofol
4524
совместимый
Инъекция Amoxicillin sodium / clavulanic acid 100/10 mg/ml
Инъекция Rocuronium bromide 10 mg/ml
3824
совместимый
Инъекция Amoxicillin sodium / clavulanic acid 100/10 mg/ml
Инъекция Salbutamol sulfate 1 mg/ml
3824
совместимый
Инъекция Amoxicillin sodium / clavulanic acid 100/10 mg/ml
Инъекция Sodium bicarbonate 84 mg/ml
3824
Неопределенная несовместимость несовместимый
Инъекция Amoxicillin sodium / clavulanic acid
Инъекция Sodium bicarbonate
3545
совместимый
Инъекция Amoxicillin sodium / clavulanic acid 100/10 mg/ml
Инъекция Sufentanil citrate 0,05 mg/ml
3824
Химическая нестабильность несовместимый
Инъекция Amoxicillin sodium / clavulanic acid 20 mg/ml
Инъекция Temocilline 83.33 mg/ml
Вода для инъекций 2231
Неопределенная несовместимость несовместимый
Инъекция Amoxicillin sodium / clavulanic acid
Инъекция Temocilline
4470
совместимый
Инъекция Amoxicillin sodium / clavulanic acid 100/10 mg/ml
Инъекция Thiamine hydrochloride 100 mg/ml
3824
совместимый
Инъекция Amoxicillin sodium / clavulanic acid 100/10 mg/ml
Инъекция Tobramycin sulfate 40 mg/ml
3824
Неопределенная несовместимость несовместимый
Инъекция Amoxicillin sodium / clavulanic acid
Инъекция Tobramycin sulfate
3545
совместимый
Инъекция Amoxicillin sodium / clavulanic acid 100/10 mg/ml
Инъекция Tranexamic acid 100 mg/ml
3824
совместимый
Инъекция Amoxicillin sodium / clavulanic acid 100/10 mg/ml
Инъекция Vancomycin hydrochloride 50 mg/ml
3824
Немедленная мутность несовместимый
Инъекция Amoxicillin sodium / clavulanic acid 100/10 mg/ml
Инъекция Verapamil hydrochloride 10 mg/ml
3824
совместимый
Инъекция Amoxicillin sodium / clavulanic acid 100/10 mg/ml
Инъекция Voriconazole 10 mg/ml
3824
совместимый
Инъекция Amoxicillin sodium / clavulanic acid 100/10 mg/ml
Инъекция Zidovudine 10 mg/ml
3824
Неопределенная несовместимость несовместимый
Инъекция Amoxicillin sodium / clavulanic acid
NaHCO3 3545

  Mentions Légales