zadnja posodobitev :
27/04/2026
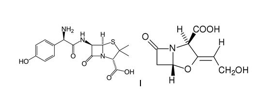
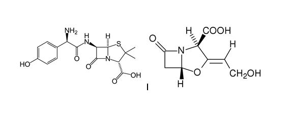
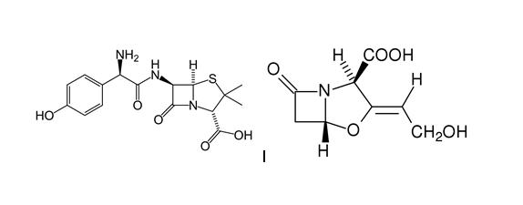
Antibiotik   Amoxicillin sodium / clavulanic acid  
Brizgalka
Peroralna raztopina
Stabilnost raztopine Stabilnost mešanice Faktorji, ki vplivajo na stabilnost Kompatibilnost način aplikacije Viri pdf
   Kemična formula  

Lastniško ime   Lastniško ime     

Sestava pomožnih snovi je med paralelami lahko različna

Aktil Madžarska
Amoclan Savdska Arabija
Amoklavin Turčija
Amoksiklav Poljska
Amoxclav Savdska Arabija
Amplamox Brazilija
Augmentin Avstrija, Belgija, Čile, Ekvador, Francija, Grčija, Italija, Nizozemska, Poljska, Savdska Arabija, Španija, Švica, Turčija, Velika Britanija, Združeni arabski emirati
Betamox Portugalska
Clavamox Avstrija
Clavicin Malezija, Venezuela
Clavulin Brazilija
Co-amoxi Švica
Co-Amoxicillin Švica
Curam nova Zelandija, Savdska Arabija
Darzitil Argentina
Dibional Argentina
Julmentin Združeni arabski emirati
Novamox Brazilija
Sulbamox Čile
Tarometin Poljska
Trifamox Argentina, Ekvador, Kolumbija, Mehika
Kompatibilnost   Brizgalka   Kompatibilnost : Amoxicillin sodium / clavulanic acid              
Ta zaslon prikazuje združljivost ali nezdružljivost s, v tem primeru, vrsto nezdružljivosti (padavine, sprememba barve, sprememba emulzije itd.). Tu prikazane združljivosti so večinoma samo fizične, pri čemer se kemijska stabilnost vsake molekule redko ocenjuje. Vrednotenje teh zmesi so preučevali, da bi preučili možnost pacientovega dajanja na mestu Y. Teh podatkov ni mogoče uporabiti za pripravo mešanic v vrečkah ali brizgah. Ta vrsta informacij je na voljo na zaslonu "Obstojnost v mešanici".
Sestava Topilo Viri
Kemijska nestabilnost Nezdružljivo
Brizgalka Amoxicillin sodium / clavulanic acid
Brizgalka Amikacin sulfate
3549
Nedoločena nezdružljivost Nezdružljivo
Brizgalka Amoxicillin sodium / clavulanic acid
Parenteralna prehrana (z lipidi) 3545
Takoj padavine Nezdružljivo
Brizgalka Amoxicillin sodium / clavulanic acid 100/10 mg/ml
Brizgalka Aciclovir sodium 50 mg/ml
3824
Združljivo
Brizgalka Amoxicillin sodium / clavulanic acid
Natrijev klorid 0,9% 3545
Nedoločena nezdružljivost Nezdružljivo
Brizgalka Amoxicillin sodium / clavulanic acid
Glukoza 5% 3545
Združljivo
Brizgalka Amoxicillin sodium / clavulanic acid 100/10 mg/ml
Brizgalka Amikacin sulfate 250 mg/ml
3824
Nedoločena nezdružljivost Nezdružljivo
Brizgalka Amoxicillin sodium / clavulanic acid
Brizgalka Amikacin sulfate
3545
Sprememba barve po 1 uri Nezdružljivo
Brizgalka Amoxicillin sodium / clavulanic acid 50/10 mg/ml
Parenteralna prehrana (z lipidi) 3948
Združljivo
Brizgalka Amoxicillin sodium / clavulanic acid 100/10 mg/ml
Brizgalka Aminophylline 25 mg/ml
3824
Takoj padavine Nezdružljivo
Brizgalka Amoxicillin sodium / clavulanic acid 10 mg/ml
Brizgalka Amiodarone hydrochloride 12.5 mg/ml
2139
Sprememba barve Nezdružljivo
Brizgalka Amoxicillin sodium / clavulanic acid 100/10 mg/ml
Brizgalka Amiodarone hydrochloride 50 mg/ml
3824
Združljivo
Brizgalka Amoxicillin sodium / clavulanic acid 100/10 mg/ml
Brizgalka Amphotericin B liposomale 2 mg/ml
3824
Združljivo
Brizgalka Amoxicillin sodium / clavulanic acid 100/10 mg/ml
Brizgalka Ampicillin sodium 100 mg/ml
3824
Združljivo
Brizgalka Amoxicillin sodium / clavulanic acid 100/10 mg/ml
Brizgalka Atropine sulfate 0,4 mg/ml
3824
Združljivo
Brizgalka Amoxicillin sodium / clavulanic acid 100/10 mg/ml
Brizgalka Azithromycine 100 mg/ml
3824
Združljivo
Brizgalka Amoxicillin sodium / clavulanic acid 100/10 mg/ml
Brizgalka Calcium chloride 100 mg/ml
3824
Združljivo
Brizgalka Amoxicillin sodium / clavulanic acid 100/10 mg/ml
Brizgalka Calcium gluconate 100 mg/ml
3824
Združljivo
Brizgalka Amoxicillin sodium / clavulanic acid 100/10 mg/ml
Brizgalka Cefazolin sodium 100 mg/ml
3824
Združljivo
Brizgalka Amoxicillin sodium / clavulanic acid 100/10 mg/ml
Brizgalka Cefotaxime sodium 100 mg/ml
3824
Združljivo
Brizgalka Amoxicillin sodium / clavulanic acid 100/10 mg/ml
Brizgalka Cefoxitin sodium 100 mg/ml
3824
Združljivo
Brizgalka Amoxicillin sodium / clavulanic acid 100/10 mg/ml
Brizgalka Ceftazidime 100 mg/ml
3824
Združljivo
Brizgalka Amoxicillin sodium / clavulanic acid 100/10 mg/ml
Brizgalka Ceftriaxone disodium 100 mg/ml
3824
Takojšnja motnost Nezdružljivo
Brizgalka Amoxicillin sodium / clavulanic acid 100/10 mg/ml
Brizgalka Ciclosporin 50 mg/ml
3824
Takoj padavine Nezdružljivo
Brizgalka Amoxicillin sodium / clavulanic acid 12 mg/ml
Brizgalka Ciprofloxacin lactate 2 mg/ml
Nobeden 1357
Nedoločena nezdružljivost Nezdružljivo
Brizgalka Amoxicillin sodium / clavulanic acid
Brizgalka Ciprofloxacin lactate
3529
Združljivo
Brizgalka Amoxicillin sodium / clavulanic acid 100/10 mg/ml
Brizgalka Ciprofloxacin lactate 2 mg/ml
3824
Združljivo
Brizgalka Amoxicillin sodium / clavulanic acid 100/10 mg/ml
Brizgalka Cloxacillin sodium 100 mg/ml
3824
Združljivo
Brizgalka Amoxicillin sodium / clavulanic acid 100/10 mg/ml
Brizgalka Co-trimoxazole 16/80 mg/ml
3824
Združljivo
Brizgalka Amoxicillin sodium / clavulanic acid
Brizgalka Daunorubicin/cytarabine liposomale 0,4 mg/mL
Natrijev klorid 0,9% 4654
Sprememba barve po 1 uri Nezdružljivo
Brizgalka Amoxicillin sodium / clavulanic acid 50/10 mg/ml
Parenteralna prehrana (binarno zmes) 3948
Motnost v eni uri Nezdružljivo
Brizgalka Amoxicillin sodium / clavulanic acid 100/10 mg/ml
Brizgalka Clindamycin phosphate 150 mg/ml
3824
Nedoločena nezdružljivost Nezdružljivo
Brizgalka Amoxicillin sodium / clavulanic acid
Parenteralna prehrana (binarno zmes) 3545
Združljivo
Brizgalka Amoxicillin sodium / clavulanic acid 100/10 mg/ml
Brizgalka Cefuroxime sodium 100 mg/ml
3824
Združljivo
Brizgalka Amoxicillin sodium / clavulanic acid 100/10 mg/ml
Brizgalka Dexamethasone sodium phosphate 4 mg/ml
3824
Nedoločena nezdružljivost Nezdružljivo
Brizgalka Amoxicillin sodium / clavulanic acid
Brizgalka Dexamethasone sodium phosphate
3545
Združljivo
Brizgalka Amoxicillin sodium / clavulanic acid 100/10 mg/ml
Brizgalka Dexmedetomidine 100 µg/ml
3824
Združljivo
Brizgalka Amoxicillin sodium / clavulanic acid 100/10 mg/ml
Brizgalka Diazepam 5 mg/ml
3824
Združljivo
Brizgalka Amoxicillin sodium / clavulanic acid 100/10 mg/ml
Brizgalka Digoxin 250 µg/ml
3824
Združljivo
Brizgalka Amoxicillin sodium / clavulanic acid 100/10 mg/ml
Brizgalka Dimenhydrinate 10 mg/ml
3824
Sprememba barve Nezdružljivo
Brizgalka Amoxicillin sodium / clavulanic acid 100/10 mg/ml
Brizgalka Diphenhydramine hydrochloride 50 mg/ml
3824
Takoj padavine Nezdružljivo
Brizgalka Amoxicillin sodium / clavulanic acid 100/10 mg/ml
Brizgalka Dobutamine hydrochloride 12,5 mg/ml
3824
Združljivo
Brizgalka Amoxicillin sodium / clavulanic acid 100/10 mg/ml
Brizgalka Dopamine hydrochloride 3,2 mg/ml
3824
Združljivo
Brizgalka Amoxicillin sodium / clavulanic acid 100/10 mg/ml
Brizgalka Enalaprilate 1,25 mg/ml
3824
Združljivo
Brizgalka Amoxicillin sodium / clavulanic acid 100/10 mg/ml
Brizgalka Epinephrine hydrochloride 1000 µg/ml
3824
Združljivo
Brizgalka Amoxicillin sodium / clavulanic acid 100/10 mg/ml
Brizgalka Ertapenem 100 mg/ml
3824
Takoj padavine Nezdružljivo
Brizgalka Amoxicillin sodium / clavulanic acid 100/10 mg/ml
Brizgalka Erythromycin lactobionate 50 mg/ml
3824
Nedoločena nezdružljivost Nezdružljivo
Brizgalka Amoxicillin sodium / clavulanic acid
Brizgalka Erythromycin lactobionate
3674
Združljivo
Brizgalka Amoxicillin sodium / clavulanic acid 100/10 mg/ml
Brizgalka Esmolol hydrochloride 10 mg/ml
3824
Združljivo
Brizgalka Amoxicillin sodium / clavulanic acid 100/10 mg/ml
Brizgalka Famotidine 10 mg/ml
3824
Združljivo
Brizgalka Amoxicillin sodium / clavulanic acid 100/10 mg/ml
Brizgalka Fentanyl citrate 50 µg/ml
3824
Združljivo
Brizgalka Amoxicillin sodium / clavulanic acid 100/10 mg/ml
Brizgalka Fluconazole 2 mg/ml
3824
Združljivo
Brizgalka Amoxicillin sodium / clavulanic acid 100/10 mg/ml
Brizgalka Furosemide 10 mg/ml
3824
Nedoločena nezdružljivost Nezdružljivo
Brizgalka Amoxicillin sodium / clavulanic acid
Brizgalka Gentamicin sulfate
3643
Nedoločena nezdružljivost Nezdružljivo
Brizgalka Amoxicillin sodium / clavulanic acid
Brizgalka Gentamicin sulfate
3545
Nedoločena nezdružljivost Nezdružljivo
Brizgalka Amoxicillin sodium / clavulanic acid
Brizgalka Gentamicin sulfate
3520
Združljivo
Brizgalka Amoxicillin sodium / clavulanic acid 100/10 mg/ml
Brizgalka Gentamicin sulfate 40 mg/ml
3824
Združljivo
Brizgalka Amoxicillin sodium / clavulanic acid 100/10 mg/ml
Brizgalka Granisetron hydrochloride 1 mg/ml
3824
Takoj padavine Nezdružljivo
Brizgalka Amoxicillin sodium / clavulanic acid 100/10 mg/ml
Brizgalka Haloperidol lactate 5 mg/ml
3824
Združljivo
Brizgalka Amoxicillin sodium / clavulanic acid 100/10 mg/ml
Brizgalka Heparin sodium 1000 UI/ml
3824
Nezdružljivo
Brizgalka Amoxicillin sodium / clavulanic acid 100/10 mg/ml
Brizgalka Human albumin 250 mg/ml
3824
Nedoločena nezdružljivost Nezdružljivo
Brizgalka Amoxicillin sodium / clavulanic acid
Brizgalka Hydrocortisone sodium succinate
3545
Združljivo
Brizgalka Amoxicillin sodium / clavulanic acid 100/10 mg/ml
Brizgalka Hydrocortisone sodium succinate 50 mg/ml
3824
Združljivo
Brizgalka Amoxicillin sodium / clavulanic acid 100/10 mg/ml
Brizgalka Hydromorphone hydrochloride 10 mg/ml
3824
Takoj padavine Nezdružljivo
Brizgalka Amoxicillin sodium / clavulanic acid 100/10 mg/ml
Brizgalka Imipenem - cilastatin sodium 50 mg/ml
3824
Združljivo
Brizgalka Amoxicillin sodium / clavulanic acid 100/10 mg/ml
Brizgalka Insulin 100 UI/ml
3824
Nedoločena nezdružljivost Nezdružljivo
Brizgalka Amoxicillin sodium / clavulanic acid
Brizgalka Kanamycin sulfate
3545
Takoj padavine Nezdružljivo
Brizgalka Amoxicillin sodium / clavulanic acid 100/10 mg/ml
Brizgalka Ketamine hydrochloride 50 mg/ml
3824
Združljivo
Brizgalka Amoxicillin sodium / clavulanic acid 100/10 mg/ml
Brizgalka L-carnitine 200 mg/ml
3824
Združljivo
Brizgalka Amoxicillin sodium / clavulanic acid 100/10 mg/ml
Brizgalka Labetalol hydrochloride 5 mg/ml
3824
Združljivo
Brizgalka Amoxicillin sodium / clavulanic acid 100/10 mg/ml
Brizgalka Levofloxacine 5 mg/ml
3824
Združljivo
Brizgalka Amoxicillin sodium / clavulanic acid 100/10 mg/ml
Brizgalka Lidocaine hydrochloride 1 mg/ml
3824
Združljivo
Brizgalka Amoxicillin sodium / clavulanic acid 100/10 mg/ml
Brizgalka Linezolid 2 mg/ml
3824
Združljivo
Brizgalka Amoxicillin sodium / clavulanic acid 100/10 mg/ml
Brizgalka Lorazepam 4 mg/ml
3824
Združljivo
Brizgalka Amoxicillin sodium / clavulanic acid 20/2 mg/ml
Brizgalka Lorazepam 0.33 mg/ml
Natrijev klorid 0,9% 186
Združljivo
Brizgalka Amoxicillin sodium / clavulanic acid 100/10 mg/ml
Brizgalka Magnesium sulfate 500 mg/ml
3824
Nedoločena nezdružljivost Nezdružljivo
Brizgalka Amoxicillin sodium / clavulanic acid
Brizgalka Mannitol
3545
Združljivo
Brizgalka Amoxicillin sodium / clavulanic acid 100/10 mg/ml
Brizgalka Mannitol 250 mg/ml
3824
Združljivo
Brizgalka Amoxicillin sodium / clavulanic acid 100/10 mg/ml
Brizgalka Meropenem 50 mg/ml
3824
Nedoločena nezdružljivost Nezdružljivo
Brizgalka Amoxicillin sodium / clavulanic acid
Brizgalka Methylprednisolone acetate
3545
Nedoločena nezdružljivost Nezdružljivo
Brizgalka Amoxicillin sodium / clavulanic acid
Brizgalka Methylprednisolone sodium succinate
3545
Nezdružljivo
Brizgalka Amoxicillin sodium / clavulanic acid 100/10 mg/ml
Brizgalka Methylprednisolone sodium succinate 125 mg/ml
3824
Združljivo
Brizgalka Amoxicillin sodium / clavulanic acid 100/10 mg/ml
Brizgalka Metoclopramide hydrochloride 5 mg/ml
3824
Združljivo
Brizgalka Amoxicillin sodium / clavulanic acid 100/10 mg/ml
Brizgalka Metronidazole 5 mg/ml
3824
Združljivo
Brizgalka Amoxicillin sodium / clavulanic acid 100/10 mg/ml
Brizgalka Micafungin 20 mg/ml
3824
Sprememba barve Nezdružljivo
Brizgalka Amoxicillin sodium / clavulanic acid 100/10 mg/ml
Brizgalka Midazolam hydrochloride 5 mg/ml
3824
Takoj padavine Nezdružljivo
Brizgalka Amoxicillin sodium / clavulanic acid 20/2 mg/ml
Brizgalka Midazolam hydrochloride 5 mg/ml
Nobeden 186
Združljivo
Brizgalka Amoxicillin sodium / clavulanic acid 100/10 mg/ml
Brizgalka Milrinone lactate 1 mg/ml
3824
Združljivo
Brizgalka Amoxicillin sodium / clavulanic acid 100/10 mg/ml
Brizgalka Morphine sulfate 50 mg/ml
3824
Združljivo
Brizgalka Amoxicillin sodium / clavulanic acid 100/10 mg/ml
Brizgalka N-acetylcysteine 200 mg/ml
3824
Združljivo
Brizgalka Amoxicillin sodium / clavulanic acid 100/10 mg/ml
Brizgalka Naloxone hydrochloride 0,4 mg/ml
3824
Nedoločena nezdružljivost Nezdružljivo
Brizgalka Amoxicillin sodium / clavulanic acid
Brizgalka Netilmicin sulfate
3545
Sprememba barve Nezdružljivo
Brizgalka Amoxicillin sodium / clavulanic acid 100/10 mg/ml
Brizgalka Nicardipine hydrochloride 1 mg/ml
3824
Motnost v eni uri Nezdružljivo
Brizgalka Amoxicillin sodium / clavulanic acid 100/10 mg/ml
Brizgalka Nitroglycerin 5 mg/ml
3824
Združljivo
Brizgalka Amoxicillin sodium / clavulanic acid 100/10 mg/ml
Brizgalka Norepinephrine bitartrate 1 mg/ml
3824
Združljivo
Brizgalka Amoxicillin sodium / clavulanic acid 100/10 mg/ml
Brizgalka Octreotide acetate 0.5 mg/ml
3824
Združljivo
Brizgalka Amoxicillin sodium / clavulanic acid 12 mg/ml
Brizgalka Ofloxacin 2 mg/ml
Nobeden 889
Takoj padavine Nezdružljivo
Brizgalka Amoxicillin sodium / clavulanic acid 100/10 mg/ml
Brizgalka Ondansetron hydrochloride 2 mg/ml
3824
Združljivo
Brizgalka Amoxicillin sodium / clavulanic acid 100/10 mg/ml
Brizgalka Oxytocin 10 UI/ml
3824
Združljivo
Brizgalka Amoxicillin sodium / clavulanic acid 100/10 mg/ml
Brizgalka Pantoprazole sodium 4 mg/ml
3824
Združljivo
Brizgalka Amoxicillin sodium / clavulanic acid 100/10 mg/ml
Brizgalka Paracetamol 10 mg/ml
3824
Nedoločena nezdružljivost Nezdružljivo
Brizgalka Amoxicillin sodium / clavulanic acid
Brizgalka Phenylephrine hydrochloride
3545
Združljivo
Brizgalka Amoxicillin sodium / clavulanic acid 100/10 mg/ml
Brizgalka Phenylephrine hydrochloride 0,01 mg/ml
3824
Takoj padavine Nezdružljivo
Brizgalka Amoxicillin sodium / clavulanic acid 100/10 mg/ml
Brizgalka Phenytoin sodium 50 mg/ml
3824
Kemijska nestabilnost Nezdružljivo
Brizgalka Amoxicillin sodium / clavulanic acid 10 mg/ml
Brizgalka Phloroglucinol 2,5 mg/ml
3791
Združljivo
Brizgalka Amoxicillin sodium / clavulanic acid 100/10 mg/ml
Brizgalka Piperacillin sodium / tazobactam 100 mg/ml
3824
Združljivo
Brizgalka Amoxicillin sodium / clavulanic acid 100/10 mg/ml
Brizgalka Potassium chloride 2 mEq/l
3824
Združljivo
Brizgalka Amoxicillin sodium / clavulanic acid 100/10 mg/ml
Brizgalka Potassium phosphate 3 mmol/ml
3824
Združljivo
Brizgalka Amoxicillin sodium / clavulanic acid 60 mg/ml
Brizgalka Propofol
4524
Združljivo
Brizgalka Amoxicillin sodium / clavulanic acid 100/10 mg/ml
Brizgalka Rocuronium bromide 10 mg/ml
3824
Združljivo
Brizgalka Amoxicillin sodium / clavulanic acid 100/10 mg/ml
Brizgalka Salbutamol sulfate 1 mg/ml
3824
Združljivo
Brizgalka Amoxicillin sodium / clavulanic acid 100/10 mg/ml
Brizgalka Sodium bicarbonate 84 mg/ml
3824
Nedoločena nezdružljivost Nezdružljivo
Brizgalka Amoxicillin sodium / clavulanic acid
Brizgalka Sodium bicarbonate
3545
Združljivo
Brizgalka Amoxicillin sodium / clavulanic acid 100/10 mg/ml
Brizgalka Sufentanil citrate 0,05 mg/ml
3824
Kemijska nestabilnost Nezdružljivo
Brizgalka Amoxicillin sodium / clavulanic acid 20 mg/ml
Brizgalka Temocilline 83.33 mg/ml
Voda za injekcije 2231
Nedoločena nezdružljivost Nezdružljivo
Brizgalka Amoxicillin sodium / clavulanic acid
Brizgalka Temocilline
4470
Združljivo
Brizgalka Amoxicillin sodium / clavulanic acid 100/10 mg/ml
Brizgalka Thiamine hydrochloride 100 mg/ml
3824
Združljivo
Brizgalka Amoxicillin sodium / clavulanic acid 100/10 mg/ml
Brizgalka Tobramycin sulfate 40 mg/ml
3824
Nedoločena nezdružljivost Nezdružljivo
Brizgalka Amoxicillin sodium / clavulanic acid
Brizgalka Tobramycin sulfate
3545
Združljivo
Brizgalka Amoxicillin sodium / clavulanic acid 100/10 mg/ml
Brizgalka Tranexamic acid 100 mg/ml
3824
Združljivo
Brizgalka Amoxicillin sodium / clavulanic acid 100/10 mg/ml
Brizgalka Vancomycin hydrochloride 50 mg/ml
3824
Takojšnja motnost Nezdružljivo
Brizgalka Amoxicillin sodium / clavulanic acid 100/10 mg/ml
Brizgalka Verapamil hydrochloride 10 mg/ml
3824
Združljivo
Brizgalka Amoxicillin sodium / clavulanic acid 100/10 mg/ml
Brizgalka Voriconazole 10 mg/ml
3824
Združljivo
Brizgalka Amoxicillin sodium / clavulanic acid 100/10 mg/ml
Brizgalka Zidovudine 10 mg/ml
3824
Nedoločena nezdružljivost Nezdružljivo
Brizgalka Amoxicillin sodium / clavulanic acid
NaHCO3 3545

  Mentions Légales