Poslední aktualizace :
27/04/2026
Antibiotikum   Amoxicillin sodium / clavulanic acid  
injekce
Perorální roztok
Stabilita roztoků Stabilita směsí Faktory ovlivňující stabilitu Kompatibilita Způsoby aplikace Odkazy pdf
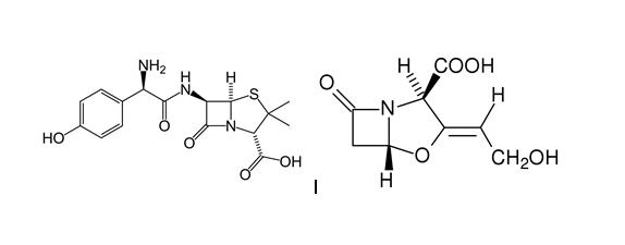
   Chemický vzorec  

Obchodní název   Obchodní název     

Trade names are indicative and excipients composition can be different depending on the country and manufacturers

Aktil MaÔarsko
Amoclan Saúdská Arábie
Amoklavin Turecko
Amoksiklav Polsko
Amoxclav Saúdská Arábie
Amplamox BrazÌlie
Augmentin äpanÏlsko, Belgie, Chile, Ekvádor, Francie, Itálie, Nizozemsko, Polsko, Rakousko, Saúdská Arábie, Spojené arabské emiráty, Švýcarsko, Turecko, Velká Británie, ÿecko
Betamox Portugalsko
Clavamox Rakousko
Clavicin Malajsie, Venezuela
Clavulin BrazÌlie
Co-amoxi Švýcarsko
Co-Amoxicillin Švýcarsko
Curam nový Zéland, Saúdská Arábie
Darzitil Argentina
Dibional Argentina
Julmentin Spojené arabské emiráty
Novamox BrazÌlie
Sulbamox Chile
Tarometin Polsko
Trifamox Argentina, Ekvádor, Kolumbie, Mexiko
Kompatibilita   injekce   Kompatibilita : Amoxicillin sodium / clavulanic acid              
Tato obrazovka ukazuje kompatibilitu nebo nekompatibilitu s, v tomto případě, typem nekompatibility (srážení, změna barvy, modifikace emulze atd.). Zde uvedené kompatibility jsou většinou pouze fyzikální, přičemž chemická stabilita každé molekuly je zřídka hodnocena. Hodnocení těchto směsí bylo studováno, aby se zvážila možnost podání Y-místa pacientovi. Tyto údaje nelze použít k přípravě směsí předem v pytlích nebo stříkačkách. Tento typ informací je k dispozici na obrazovce „Stabilita ve směsi“.
SlouËenina RozpouötÏdlo Odkazy
Chemická nestabilita Nekompatibilní
injekce Amoxicillin sodium / clavulanic acid
injekce Amikacin sulfate
3549
Nespecifikovaná nekompatibilita Nekompatibilní
injekce Amoxicillin sodium / clavulanic acid
Parenterální výživa (lipidy) 3545
Okamžité srážení Nekompatibilní
injekce Amoxicillin sodium / clavulanic acid 100/10 mg/ml
injekce Aciclovir sodium 50 mg/ml
3824
Kompatibilní
injekce Amoxicillin sodium / clavulanic acid
Chlorid sodný 0,9% 3545
Nespecifikovaná nekompatibilita Nekompatibilní
injekce Amoxicillin sodium / clavulanic acid
GlukÛza 5% 3545
Kompatibilní
injekce Amoxicillin sodium / clavulanic acid 100/10 mg/ml
injekce Amikacin sulfate 250 mg/ml
3824
Nespecifikovaná nekompatibilita Nekompatibilní
injekce Amoxicillin sodium / clavulanic acid
injekce Amikacin sulfate
3545
Změna barvy po 1 hodině Nekompatibilní
injekce Amoxicillin sodium / clavulanic acid 50/10 mg/ml
Parenterální výživa (lipidy) 3948
Kompatibilní
injekce Amoxicillin sodium / clavulanic acid 100/10 mg/ml
injekce Aminophylline 25 mg/ml
3824
Okamžité srážení Nekompatibilní
injekce Amoxicillin sodium / clavulanic acid 10 mg/ml
injekce Amiodarone hydrochloride 12.5 mg/ml
2139
Změna barvy Nekompatibilní
injekce Amoxicillin sodium / clavulanic acid 100/10 mg/ml
injekce Amiodarone hydrochloride 50 mg/ml
3824
Kompatibilní
injekce Amoxicillin sodium / clavulanic acid 100/10 mg/ml
injekce Amphotericin B liposomale 2 mg/ml
3824
Kompatibilní
injekce Amoxicillin sodium / clavulanic acid 100/10 mg/ml
injekce Ampicillin sodium 100 mg/ml
3824
Kompatibilní
injekce Amoxicillin sodium / clavulanic acid 100/10 mg/ml
injekce Atropine sulfate 0,4 mg/ml
3824
Kompatibilní
injekce Amoxicillin sodium / clavulanic acid 100/10 mg/ml
injekce Azithromycine 100 mg/ml
3824
Kompatibilní
injekce Amoxicillin sodium / clavulanic acid 100/10 mg/ml
injekce Calcium chloride 100 mg/ml
3824
Kompatibilní
injekce Amoxicillin sodium / clavulanic acid 100/10 mg/ml
injekce Calcium gluconate 100 mg/ml
3824
Kompatibilní
injekce Amoxicillin sodium / clavulanic acid 100/10 mg/ml
injekce Cefazolin sodium 100 mg/ml
3824
Kompatibilní
injekce Amoxicillin sodium / clavulanic acid 100/10 mg/ml
injekce Cefotaxime sodium 100 mg/ml
3824
Kompatibilní
injekce Amoxicillin sodium / clavulanic acid 100/10 mg/ml
injekce Cefoxitin sodium 100 mg/ml
3824
Kompatibilní
injekce Amoxicillin sodium / clavulanic acid 100/10 mg/ml
injekce Ceftazidime 100 mg/ml
3824
Kompatibilní
injekce Amoxicillin sodium / clavulanic acid 100/10 mg/ml
injekce Ceftriaxone disodium 100 mg/ml
3824
Okamžitá zákal Nekompatibilní
injekce Amoxicillin sodium / clavulanic acid 100/10 mg/ml
injekce Ciclosporin 50 mg/ml
3824
Okamžité srážení Nekompatibilní
injekce Amoxicillin sodium / clavulanic acid 12 mg/ml
injekce Ciprofloxacin lactate 2 mg/ml
Žádné 1357
Nespecifikovaná nekompatibilita Nekompatibilní
injekce Amoxicillin sodium / clavulanic acid
injekce Ciprofloxacin lactate
3529
Kompatibilní
injekce Amoxicillin sodium / clavulanic acid 100/10 mg/ml
injekce Ciprofloxacin lactate 2 mg/ml
3824
Kompatibilní
injekce Amoxicillin sodium / clavulanic acid 100/10 mg/ml
injekce Cloxacillin sodium 100 mg/ml
3824
Kompatibilní
injekce Amoxicillin sodium / clavulanic acid 100/10 mg/ml
injekce Co-trimoxazole 16/80 mg/ml
3824
Kompatibilní
injekce Amoxicillin sodium / clavulanic acid
injekce Daunorubicin/cytarabine liposomale 0,4 mg/mL
Chlorid sodný 0,9% 4654
Změna barvy po 1 hodině Nekompatibilní
injekce Amoxicillin sodium / clavulanic acid 50/10 mg/ml
Parenterální výživa (binární směs) 3948
Zákal za hodinu Nekompatibilní
injekce Amoxicillin sodium / clavulanic acid 100/10 mg/ml
injekce Clindamycin phosphate 150 mg/ml
3824
Nespecifikovaná nekompatibilita Nekompatibilní
injekce Amoxicillin sodium / clavulanic acid
Parenterální výživa (binární směs) 3545
Kompatibilní
injekce Amoxicillin sodium / clavulanic acid 100/10 mg/ml
injekce Cefuroxime sodium 100 mg/ml
3824
Kompatibilní
injekce Amoxicillin sodium / clavulanic acid 100/10 mg/ml
injekce Dexamethasone sodium phosphate 4 mg/ml
3824
Nespecifikovaná nekompatibilita Nekompatibilní
injekce Amoxicillin sodium / clavulanic acid
injekce Dexamethasone sodium phosphate
3545
Kompatibilní
injekce Amoxicillin sodium / clavulanic acid 100/10 mg/ml
injekce Dexmedetomidine 100 µg/ml
3824
Kompatibilní
injekce Amoxicillin sodium / clavulanic acid 100/10 mg/ml
injekce Diazepam 5 mg/ml
3824
Kompatibilní
injekce Amoxicillin sodium / clavulanic acid 100/10 mg/ml
injekce Digoxin 250 µg/ml
3824
Kompatibilní
injekce Amoxicillin sodium / clavulanic acid 100/10 mg/ml
injekce Dimenhydrinate 10 mg/ml
3824
Změna barvy Nekompatibilní
injekce Amoxicillin sodium / clavulanic acid 100/10 mg/ml
injekce Diphenhydramine hydrochloride 50 mg/ml
3824
Okamžité srážení Nekompatibilní
injekce Amoxicillin sodium / clavulanic acid 100/10 mg/ml
injekce Dobutamine hydrochloride 12,5 mg/ml
3824
Kompatibilní
injekce Amoxicillin sodium / clavulanic acid 100/10 mg/ml
injekce Dopamine hydrochloride 3,2 mg/ml
3824
Kompatibilní
injekce Amoxicillin sodium / clavulanic acid 100/10 mg/ml
injekce Enalaprilate 1,25 mg/ml
3824
Kompatibilní
injekce Amoxicillin sodium / clavulanic acid 100/10 mg/ml
injekce Epinephrine hydrochloride 1000 µg/ml
3824
Kompatibilní
injekce Amoxicillin sodium / clavulanic acid 100/10 mg/ml
injekce Ertapenem 100 mg/ml
3824
Okamžité srážení Nekompatibilní
injekce Amoxicillin sodium / clavulanic acid 100/10 mg/ml
injekce Erythromycin lactobionate 50 mg/ml
3824
Nespecifikovaná nekompatibilita Nekompatibilní
injekce Amoxicillin sodium / clavulanic acid
injekce Erythromycin lactobionate
3674
Kompatibilní
injekce Amoxicillin sodium / clavulanic acid 100/10 mg/ml
injekce Esmolol hydrochloride 10 mg/ml
3824
Kompatibilní
injekce Amoxicillin sodium / clavulanic acid 100/10 mg/ml
injekce Famotidine 10 mg/ml
3824
Kompatibilní
injekce Amoxicillin sodium / clavulanic acid 100/10 mg/ml
injekce Fentanyl citrate 50 µg/ml
3824
Kompatibilní
injekce Amoxicillin sodium / clavulanic acid 100/10 mg/ml
injekce Fluconazole 2 mg/ml
3824
Kompatibilní
injekce Amoxicillin sodium / clavulanic acid 100/10 mg/ml
injekce Furosemide 10 mg/ml
3824
Nespecifikovaná nekompatibilita Nekompatibilní
injekce Amoxicillin sodium / clavulanic acid
injekce Gentamicin sulfate
3643
Nespecifikovaná nekompatibilita Nekompatibilní
injekce Amoxicillin sodium / clavulanic acid
injekce Gentamicin sulfate
3545
Nespecifikovaná nekompatibilita Nekompatibilní
injekce Amoxicillin sodium / clavulanic acid
injekce Gentamicin sulfate
3520
Kompatibilní
injekce Amoxicillin sodium / clavulanic acid 100/10 mg/ml
injekce Gentamicin sulfate 40 mg/ml
3824
Kompatibilní
injekce Amoxicillin sodium / clavulanic acid 100/10 mg/ml
injekce Granisetron hydrochloride 1 mg/ml
3824
Okamžité srážení Nekompatibilní
injekce Amoxicillin sodium / clavulanic acid 100/10 mg/ml
injekce Haloperidol lactate 5 mg/ml
3824
Kompatibilní
injekce Amoxicillin sodium / clavulanic acid 100/10 mg/ml
injekce Heparin sodium 1000 UI/ml
3824
Nekompatibilní
injekce Amoxicillin sodium / clavulanic acid 100/10 mg/ml
injekce Human albumin 250 mg/ml
3824
Nespecifikovaná nekompatibilita Nekompatibilní
injekce Amoxicillin sodium / clavulanic acid
injekce Hydrocortisone sodium succinate
3545
Kompatibilní
injekce Amoxicillin sodium / clavulanic acid 100/10 mg/ml
injekce Hydrocortisone sodium succinate 50 mg/ml
3824
Kompatibilní
injekce Amoxicillin sodium / clavulanic acid 100/10 mg/ml
injekce Hydromorphone hydrochloride 10 mg/ml
3824
Okamžité srážení Nekompatibilní
injekce Amoxicillin sodium / clavulanic acid 100/10 mg/ml
injekce Imipenem - cilastatin sodium 50 mg/ml
3824
Kompatibilní
injekce Amoxicillin sodium / clavulanic acid 100/10 mg/ml
injekce Insulin 100 UI/ml
3824
Nespecifikovaná nekompatibilita Nekompatibilní
injekce Amoxicillin sodium / clavulanic acid
injekce Kanamycin sulfate
3545
Okamžité srážení Nekompatibilní
injekce Amoxicillin sodium / clavulanic acid 100/10 mg/ml
injekce Ketamine hydrochloride 50 mg/ml
3824
Kompatibilní
injekce Amoxicillin sodium / clavulanic acid 100/10 mg/ml
injekce L-carnitine 200 mg/ml
3824
Kompatibilní
injekce Amoxicillin sodium / clavulanic acid 100/10 mg/ml
injekce Labetalol hydrochloride 5 mg/ml
3824
Kompatibilní
injekce Amoxicillin sodium / clavulanic acid 100/10 mg/ml
injekce Levofloxacine 5 mg/ml
3824
Kompatibilní
injekce Amoxicillin sodium / clavulanic acid 100/10 mg/ml
injekce Lidocaine hydrochloride 1 mg/ml
3824
Kompatibilní
injekce Amoxicillin sodium / clavulanic acid 100/10 mg/ml
injekce Linezolid 2 mg/ml
3824
Kompatibilní
injekce Amoxicillin sodium / clavulanic acid 100/10 mg/ml
injekce Lorazepam 4 mg/ml
3824
Kompatibilní
injekce Amoxicillin sodium / clavulanic acid 20/2 mg/ml
injekce Lorazepam 0.33 mg/ml
Chlorid sodný 0,9% 186
Kompatibilní
injekce Amoxicillin sodium / clavulanic acid 100/10 mg/ml
injekce Magnesium sulfate 500 mg/ml
3824
Nespecifikovaná nekompatibilita Nekompatibilní
injekce Amoxicillin sodium / clavulanic acid
injekce Mannitol
3545
Kompatibilní
injekce Amoxicillin sodium / clavulanic acid 100/10 mg/ml
injekce Mannitol 250 mg/ml
3824
Kompatibilní
injekce Amoxicillin sodium / clavulanic acid 100/10 mg/ml
injekce Meropenem 50 mg/ml
3824
Nespecifikovaná nekompatibilita Nekompatibilní
injekce Amoxicillin sodium / clavulanic acid
injekce Methylprednisolone acetate
3545
Nespecifikovaná nekompatibilita Nekompatibilní
injekce Amoxicillin sodium / clavulanic acid
injekce Methylprednisolone sodium succinate
3545
Nekompatibilní
injekce Amoxicillin sodium / clavulanic acid 100/10 mg/ml
injekce Methylprednisolone sodium succinate 125 mg/ml
3824
Kompatibilní
injekce Amoxicillin sodium / clavulanic acid 100/10 mg/ml
injekce Metoclopramide hydrochloride 5 mg/ml
3824
Kompatibilní
injekce Amoxicillin sodium / clavulanic acid 100/10 mg/ml
injekce Metronidazole 5 mg/ml
3824
Kompatibilní
injekce Amoxicillin sodium / clavulanic acid 100/10 mg/ml
injekce Micafungin 20 mg/ml
3824
Změna barvy Nekompatibilní
injekce Amoxicillin sodium / clavulanic acid 100/10 mg/ml
injekce Midazolam hydrochloride 5 mg/ml
3824
Okamžité srážení Nekompatibilní
injekce Amoxicillin sodium / clavulanic acid 20/2 mg/ml
injekce Midazolam hydrochloride 5 mg/ml
Žádné 186
Kompatibilní
injekce Amoxicillin sodium / clavulanic acid 100/10 mg/ml
injekce Milrinone lactate 1 mg/ml
3824
Kompatibilní
injekce Amoxicillin sodium / clavulanic acid 100/10 mg/ml
injekce Morphine sulfate 50 mg/ml
3824
Kompatibilní
injekce Amoxicillin sodium / clavulanic acid 100/10 mg/ml
injekce N-acetylcysteine 200 mg/ml
3824
Kompatibilní
injekce Amoxicillin sodium / clavulanic acid 100/10 mg/ml
injekce Naloxone hydrochloride 0,4 mg/ml
3824
Nespecifikovaná nekompatibilita Nekompatibilní
injekce Amoxicillin sodium / clavulanic acid
injekce Netilmicin sulfate
3545
Změna barvy Nekompatibilní
injekce Amoxicillin sodium / clavulanic acid 100/10 mg/ml
injekce Nicardipine hydrochloride 1 mg/ml
3824
Zákal za hodinu Nekompatibilní
injekce Amoxicillin sodium / clavulanic acid 100/10 mg/ml
injekce Nitroglycerin 5 mg/ml
3824
Kompatibilní
injekce Amoxicillin sodium / clavulanic acid 100/10 mg/ml
injekce Norepinephrine bitartrate 1 mg/ml
3824
Kompatibilní
injekce Amoxicillin sodium / clavulanic acid 100/10 mg/ml
injekce Octreotide acetate 0.5 mg/ml
3824
Kompatibilní
injekce Amoxicillin sodium / clavulanic acid 12 mg/ml
injekce Ofloxacin 2 mg/ml
Žádné 889
Okamžité srážení Nekompatibilní
injekce Amoxicillin sodium / clavulanic acid 100/10 mg/ml
injekce Ondansetron hydrochloride 2 mg/ml
3824
Kompatibilní
injekce Amoxicillin sodium / clavulanic acid 100/10 mg/ml
injekce Oxytocin 10 UI/ml
3824
Kompatibilní
injekce Amoxicillin sodium / clavulanic acid 100/10 mg/ml
injekce Pantoprazole sodium 4 mg/ml
3824
Kompatibilní
injekce Amoxicillin sodium / clavulanic acid 100/10 mg/ml
injekce Paracetamol 10 mg/ml
3824
Nespecifikovaná nekompatibilita Nekompatibilní
injekce Amoxicillin sodium / clavulanic acid
injekce Phenylephrine hydrochloride
3545
Kompatibilní
injekce Amoxicillin sodium / clavulanic acid 100/10 mg/ml
injekce Phenylephrine hydrochloride 0,01 mg/ml
3824
Okamžité srážení Nekompatibilní
injekce Amoxicillin sodium / clavulanic acid 100/10 mg/ml
injekce Phenytoin sodium 50 mg/ml
3824
Chemická nestabilita Nekompatibilní
injekce Amoxicillin sodium / clavulanic acid 10 mg/ml
injekce Phloroglucinol 2,5 mg/ml
3791
Kompatibilní
injekce Amoxicillin sodium / clavulanic acid 100/10 mg/ml
injekce Piperacillin sodium / tazobactam 100 mg/ml
3824
Kompatibilní
injekce Amoxicillin sodium / clavulanic acid 100/10 mg/ml
injekce Potassium chloride 2 mEq/l
3824
Kompatibilní
injekce Amoxicillin sodium / clavulanic acid 100/10 mg/ml
injekce Potassium phosphate 3 mmol/ml
3824
Kompatibilní
injekce Amoxicillin sodium / clavulanic acid 60 mg/ml
injekce Propofol
4524
Kompatibilní
injekce Amoxicillin sodium / clavulanic acid 100/10 mg/ml
injekce Rocuronium bromide 10 mg/ml
3824
Kompatibilní
injekce Amoxicillin sodium / clavulanic acid 100/10 mg/ml
injekce Salbutamol sulfate 1 mg/ml
3824
Kompatibilní
injekce Amoxicillin sodium / clavulanic acid 100/10 mg/ml
injekce Sodium bicarbonate 84 mg/ml
3824
Nespecifikovaná nekompatibilita Nekompatibilní
injekce Amoxicillin sodium / clavulanic acid
injekce Sodium bicarbonate
3545
Kompatibilní
injekce Amoxicillin sodium / clavulanic acid 100/10 mg/ml
injekce Sufentanil citrate 0,05 mg/ml
3824
Chemická nestabilita Nekompatibilní
injekce Amoxicillin sodium / clavulanic acid 20 mg/ml
injekce Temocilline 83.33 mg/ml
Voda pro injekci 2231
Nespecifikovaná nekompatibilita Nekompatibilní
injekce Amoxicillin sodium / clavulanic acid
injekce Temocilline
4470
Kompatibilní
injekce Amoxicillin sodium / clavulanic acid 100/10 mg/ml
injekce Thiamine hydrochloride 100 mg/ml
3824
Kompatibilní
injekce Amoxicillin sodium / clavulanic acid 100/10 mg/ml
injekce Tobramycin sulfate 40 mg/ml
3824
Nespecifikovaná nekompatibilita Nekompatibilní
injekce Amoxicillin sodium / clavulanic acid
injekce Tobramycin sulfate
3545
Kompatibilní
injekce Amoxicillin sodium / clavulanic acid 100/10 mg/ml
injekce Tranexamic acid 100 mg/ml
3824
Kompatibilní
injekce Amoxicillin sodium / clavulanic acid 100/10 mg/ml
injekce Vancomycin hydrochloride 50 mg/ml
3824
Okamžitá zákal Nekompatibilní
injekce Amoxicillin sodium / clavulanic acid 100/10 mg/ml
injekce Verapamil hydrochloride 10 mg/ml
3824
Kompatibilní
injekce Amoxicillin sodium / clavulanic acid 100/10 mg/ml
injekce Voriconazole 10 mg/ml
3824
Kompatibilní
injekce Amoxicillin sodium / clavulanic acid 100/10 mg/ml
injekce Zidovudine 10 mg/ml
3824
Nespecifikovaná nekompatibilita Nekompatibilní
injekce Amoxicillin sodium / clavulanic acid
NaHCO3 3545

  Mentions Légales