Siste oppdatering :
27/04/2026
Antibiotika   Amoxicillin sodium / clavulanic acid  
Injeksjon
Mikstur
Oppløsningsstabilitet Stabilitet i blandinger Faktorer som påvirker stabiliteten Kompatibilitet Administrasjonsmåte Referanser pdf
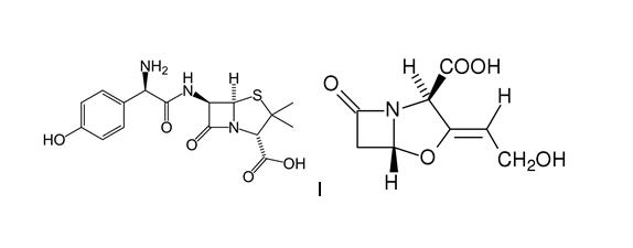
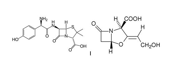
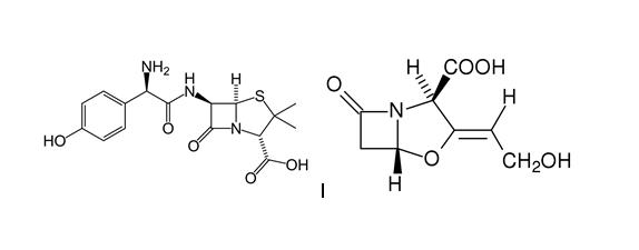
   Kjemisk struktur  

Handelsnavn   Handelsnavn     

Handelsnavn er veiledende og sammensetning av hjelpestoffer kan være forskjellig avhengig av land og produsent

Aktil Ungarn
Amoclan Saudi-Arabia
Amoklavin Tyrkia
Amoksiklav Polen
Amoxclav Saudi-Arabia
Amplamox Brasil
Augmentin Belgia, Chile, De forente arabiske emirater, Ecuador, Frankrike, Hellas, Italia, Nederland, Polen, Saudi-Arabia, Spania, Storbritannia, Sveits, Tyrkia, Østerrike
Betamox Portugal
Clavamox Østerrike
Clavicin Malaysia, Venezuela
Clavulin Brasil
Co-amoxi Sveits
Co-Amoxicillin Sveits
Curam New Zealand, Saudi-Arabia
Darzitil Argentina
Dibional Argentina
Julmentin De forente arabiske emirater
Novamox Brasil
Sulbamox Chile
Tarometin Polen
Trifamox Argentina, Colombia, Ecuador, Mexico
Kompatibilitet   Injeksjon   Kompatibilitet : Amoxicillin sodium / clavulanic acid              
Dette skjermbildet viser kompatibilitet eller inkompatibilitet med, i dette tilfellet, typen inkompatibilitet (nedbør, fargeendring, modifisering av en emulsjon, etc.). Kompatibilitetene som er vist her, er for det meste bare fysiske, og den kjemiske stabiliteten til hvert molekyl blir sjelden vurdert. Evalueringen av disse blandingene ble studert for å vurdere muligheten for Y-stedadministrasjon til pasienten. Disse dataene kan ikke brukes til å lage blandinger på forhånd i poser eller sprøyter. Denne typen informasjon er tilgjengelig på skjermen "Stabilitet i blanding".
Legemiddel Oppløsningsmiddel Referanser
Kjemisk ustabilitet Uforenlig
Injeksjon Amoxicillin sodium / clavulanic acid
Injeksjon Amikacin sulfate
3549
Uspesifisert inkompatibilitet Uforenlig
Injeksjon Amoxicillin sodium / clavulanic acid
Parenteral ernæring (med lipider) 3545
Umiddelbar nedbør Uforenlig
Injeksjon Amoxicillin sodium / clavulanic acid 100/10 mg/ml
Injeksjon Aciclovir sodium 50 mg/ml
3824
Kompatibel
Injeksjon Amoxicillin sodium / clavulanic acid
Natriumklorid 0,9 % 3545
Uspesifisert inkompatibilitet Uforenlig
Injeksjon Amoxicillin sodium / clavulanic acid
Glukose 5 % 3545
Kompatibel
Injeksjon Amoxicillin sodium / clavulanic acid 100/10 mg/ml
Injeksjon Amikacin sulfate 250 mg/ml
3824
Uspesifisert inkompatibilitet Uforenlig
Injeksjon Amoxicillin sodium / clavulanic acid
Injeksjon Amikacin sulfate
3545
Fargeendring etter 1 time Uforenlig
Injeksjon Amoxicillin sodium / clavulanic acid 50/10 mg/ml
Parenteral ernæring (med lipider) 3948
Kompatibel
Injeksjon Amoxicillin sodium / clavulanic acid 100/10 mg/ml
Injeksjon Aminophylline 25 mg/ml
3824
Umiddelbar nedbør Uforenlig
Injeksjon Amoxicillin sodium / clavulanic acid 10 mg/ml
Injeksjon Amiodarone hydrochloride 12.5 mg/ml
2139
Fargeendring Uforenlig
Injeksjon Amoxicillin sodium / clavulanic acid 100/10 mg/ml
Injeksjon Amiodarone hydrochloride 50 mg/ml
3824
Kompatibel
Injeksjon Amoxicillin sodium / clavulanic acid 100/10 mg/ml
Injeksjon Amphotericin B liposomale 2 mg/ml
3824
Kompatibel
Injeksjon Amoxicillin sodium / clavulanic acid 100/10 mg/ml
Injeksjon Ampicillin sodium 100 mg/ml
3824
Kompatibel
Injeksjon Amoxicillin sodium / clavulanic acid 100/10 mg/ml
Injeksjon Atropine sulfate 0,4 mg/ml
3824
Kompatibel
Injeksjon Amoxicillin sodium / clavulanic acid 100/10 mg/ml
Injeksjon Azithromycine 100 mg/ml
3824
Kompatibel
Injeksjon Amoxicillin sodium / clavulanic acid 100/10 mg/ml
Injeksjon Calcium chloride 100 mg/ml
3824
Kompatibel
Injeksjon Amoxicillin sodium / clavulanic acid 100/10 mg/ml
Injeksjon Calcium gluconate 100 mg/ml
3824
Kompatibel
Injeksjon Amoxicillin sodium / clavulanic acid 100/10 mg/ml
Injeksjon Cefazolin sodium 100 mg/ml
3824
Kompatibel
Injeksjon Amoxicillin sodium / clavulanic acid 100/10 mg/ml
Injeksjon Cefotaxime sodium 100 mg/ml
3824
Kompatibel
Injeksjon Amoxicillin sodium / clavulanic acid 100/10 mg/ml
Injeksjon Cefoxitin sodium 100 mg/ml
3824
Kompatibel
Injeksjon Amoxicillin sodium / clavulanic acid 100/10 mg/ml
Injeksjon Ceftazidime 100 mg/ml
3824
Kompatibel
Injeksjon Amoxicillin sodium / clavulanic acid 100/10 mg/ml
Injeksjon Ceftriaxone disodium 100 mg/ml
3824
Umiddelbar turbiditet Uforenlig
Injeksjon Amoxicillin sodium / clavulanic acid 100/10 mg/ml
Injeksjon Ciclosporin 50 mg/ml
3824
Umiddelbar nedbør Uforenlig
Injeksjon Amoxicillin sodium / clavulanic acid 12 mg/ml
Injeksjon Ciprofloxacin lactate 2 mg/ml
Ingen 1357
Uspesifisert inkompatibilitet Uforenlig
Injeksjon Amoxicillin sodium / clavulanic acid
Injeksjon Ciprofloxacin lactate
3529
Kompatibel
Injeksjon Amoxicillin sodium / clavulanic acid 100/10 mg/ml
Injeksjon Ciprofloxacin lactate 2 mg/ml
3824
Kompatibel
Injeksjon Amoxicillin sodium / clavulanic acid 100/10 mg/ml
Injeksjon Cloxacillin sodium 100 mg/ml
3824
Kompatibel
Injeksjon Amoxicillin sodium / clavulanic acid 100/10 mg/ml
Injeksjon Co-trimoxazole 16/80 mg/ml
3824
Kompatibel
Injeksjon Amoxicillin sodium / clavulanic acid
Injeksjon Daunorubicin/cytarabine liposomale 0,4 mg/mL
Natriumklorid 0,9 % 4654
Fargeendring etter 1 time Uforenlig
Injeksjon Amoxicillin sodium / clavulanic acid 50/10 mg/ml
Parenteral ernæring(lipid-free) 3948
Turbiditet på en time Uforenlig
Injeksjon Amoxicillin sodium / clavulanic acid 100/10 mg/ml
Injeksjon Clindamycin phosphate 150 mg/ml
3824
Uspesifisert inkompatibilitet Uforenlig
Injeksjon Amoxicillin sodium / clavulanic acid
Parenteral ernæring(lipid-free) 3545
Kompatibel
Injeksjon Amoxicillin sodium / clavulanic acid 100/10 mg/ml
Injeksjon Cefuroxime sodium 100 mg/ml
3824
Kompatibel
Injeksjon Amoxicillin sodium / clavulanic acid 100/10 mg/ml
Injeksjon Dexamethasone sodium phosphate 4 mg/ml
3824
Uspesifisert inkompatibilitet Uforenlig
Injeksjon Amoxicillin sodium / clavulanic acid
Injeksjon Dexamethasone sodium phosphate
3545
Kompatibel
Injeksjon Amoxicillin sodium / clavulanic acid 100/10 mg/ml
Injeksjon Dexmedetomidine 100 µg/ml
3824
Kompatibel
Injeksjon Amoxicillin sodium / clavulanic acid 100/10 mg/ml
Injeksjon Diazepam 5 mg/ml
3824
Kompatibel
Injeksjon Amoxicillin sodium / clavulanic acid 100/10 mg/ml
Injeksjon Digoxin 250 µg/ml
3824
Kompatibel
Injeksjon Amoxicillin sodium / clavulanic acid 100/10 mg/ml
Injeksjon Dimenhydrinate 10 mg/ml
3824
Fargeendring Uforenlig
Injeksjon Amoxicillin sodium / clavulanic acid 100/10 mg/ml
Injeksjon Diphenhydramine hydrochloride 50 mg/ml
3824
Umiddelbar nedbør Uforenlig
Injeksjon Amoxicillin sodium / clavulanic acid 100/10 mg/ml
Injeksjon Dobutamine hydrochloride 12,5 mg/ml
3824
Kompatibel
Injeksjon Amoxicillin sodium / clavulanic acid 100/10 mg/ml
Injeksjon Dopamine hydrochloride 3,2 mg/ml
3824
Kompatibel
Injeksjon Amoxicillin sodium / clavulanic acid 100/10 mg/ml
Injeksjon Enalaprilate 1,25 mg/ml
3824
Kompatibel
Injeksjon Amoxicillin sodium / clavulanic acid 100/10 mg/ml
Injeksjon Epinephrine hydrochloride 1000 µg/ml
3824
Kompatibel
Injeksjon Amoxicillin sodium / clavulanic acid 100/10 mg/ml
Injeksjon Ertapenem 100 mg/ml
3824
Umiddelbar nedbør Uforenlig
Injeksjon Amoxicillin sodium / clavulanic acid 100/10 mg/ml
Injeksjon Erythromycin lactobionate 50 mg/ml
3824
Uspesifisert inkompatibilitet Uforenlig
Injeksjon Amoxicillin sodium / clavulanic acid
Injeksjon Erythromycin lactobionate
3674
Kompatibel
Injeksjon Amoxicillin sodium / clavulanic acid 100/10 mg/ml
Injeksjon Esmolol hydrochloride 10 mg/ml
3824
Kompatibel
Injeksjon Amoxicillin sodium / clavulanic acid 100/10 mg/ml
Injeksjon Famotidine 10 mg/ml
3824
Kompatibel
Injeksjon Amoxicillin sodium / clavulanic acid 100/10 mg/ml
Injeksjon Fentanyl citrate 50 µg/ml
3824
Kompatibel
Injeksjon Amoxicillin sodium / clavulanic acid 100/10 mg/ml
Injeksjon Fluconazole 2 mg/ml
3824
Kompatibel
Injeksjon Amoxicillin sodium / clavulanic acid 100/10 mg/ml
Injeksjon Furosemide 10 mg/ml
3824
Uspesifisert inkompatibilitet Uforenlig
Injeksjon Amoxicillin sodium / clavulanic acid
Injeksjon Gentamicin sulfate
3643
Uspesifisert inkompatibilitet Uforenlig
Injeksjon Amoxicillin sodium / clavulanic acid
Injeksjon Gentamicin sulfate
3545
Uspesifisert inkompatibilitet Uforenlig
Injeksjon Amoxicillin sodium / clavulanic acid
Injeksjon Gentamicin sulfate
3520
Kompatibel
Injeksjon Amoxicillin sodium / clavulanic acid 100/10 mg/ml
Injeksjon Gentamicin sulfate 40 mg/ml
3824
Kompatibel
Injeksjon Amoxicillin sodium / clavulanic acid 100/10 mg/ml
Injeksjon Granisetron hydrochloride 1 mg/ml
3824
Umiddelbar nedbør Uforenlig
Injeksjon Amoxicillin sodium / clavulanic acid 100/10 mg/ml
Injeksjon Haloperidol lactate 5 mg/ml
3824
Kompatibel
Injeksjon Amoxicillin sodium / clavulanic acid 100/10 mg/ml
Injeksjon Heparin sodium 1000 UI/ml
3824
Uforenlig
Injeksjon Amoxicillin sodium / clavulanic acid 100/10 mg/ml
Injeksjon Human albumin 250 mg/ml
3824
Uspesifisert inkompatibilitet Uforenlig
Injeksjon Amoxicillin sodium / clavulanic acid
Injeksjon Hydrocortisone sodium succinate
3545
Kompatibel
Injeksjon Amoxicillin sodium / clavulanic acid 100/10 mg/ml
Injeksjon Hydrocortisone sodium succinate 50 mg/ml
3824
Kompatibel
Injeksjon Amoxicillin sodium / clavulanic acid 100/10 mg/ml
Injeksjon Hydromorphone hydrochloride 10 mg/ml
3824
Umiddelbar nedbør Uforenlig
Injeksjon Amoxicillin sodium / clavulanic acid 100/10 mg/ml
Injeksjon Imipenem - cilastatin sodium 50 mg/ml
3824
Kompatibel
Injeksjon Amoxicillin sodium / clavulanic acid 100/10 mg/ml
Injeksjon Insulin 100 UI/ml
3824
Uspesifisert inkompatibilitet Uforenlig
Injeksjon Amoxicillin sodium / clavulanic acid
Injeksjon Kanamycin sulfate
3545
Umiddelbar nedbør Uforenlig
Injeksjon Amoxicillin sodium / clavulanic acid 100/10 mg/ml
Injeksjon Ketamine hydrochloride 50 mg/ml
3824
Kompatibel
Injeksjon Amoxicillin sodium / clavulanic acid 100/10 mg/ml
Injeksjon L-carnitine 200 mg/ml
3824
Kompatibel
Injeksjon Amoxicillin sodium / clavulanic acid 100/10 mg/ml
Injeksjon Labetalol hydrochloride 5 mg/ml
3824
Kompatibel
Injeksjon Amoxicillin sodium / clavulanic acid 100/10 mg/ml
Injeksjon Levofloxacine 5 mg/ml
3824
Kompatibel
Injeksjon Amoxicillin sodium / clavulanic acid 100/10 mg/ml
Injeksjon Lidocaine hydrochloride 1 mg/ml
3824
Kompatibel
Injeksjon Amoxicillin sodium / clavulanic acid 100/10 mg/ml
Injeksjon Linezolid 2 mg/ml
3824
Kompatibel
Injeksjon Amoxicillin sodium / clavulanic acid 100/10 mg/ml
Injeksjon Lorazepam 4 mg/ml
3824
Kompatibel
Injeksjon Amoxicillin sodium / clavulanic acid 20/2 mg/ml
Injeksjon Lorazepam 0.33 mg/ml
Natriumklorid 0,9 % 186
Kompatibel
Injeksjon Amoxicillin sodium / clavulanic acid 100/10 mg/ml
Injeksjon Magnesium sulfate 500 mg/ml
3824
Uspesifisert inkompatibilitet Uforenlig
Injeksjon Amoxicillin sodium / clavulanic acid
Injeksjon Mannitol
3545
Kompatibel
Injeksjon Amoxicillin sodium / clavulanic acid 100/10 mg/ml
Injeksjon Mannitol 250 mg/ml
3824
Kompatibel
Injeksjon Amoxicillin sodium / clavulanic acid 100/10 mg/ml
Injeksjon Meropenem 50 mg/ml
3824
Uspesifisert inkompatibilitet Uforenlig
Injeksjon Amoxicillin sodium / clavulanic acid
Injeksjon Methylprednisolone acetate
3545
Uspesifisert inkompatibilitet Uforenlig
Injeksjon Amoxicillin sodium / clavulanic acid
Injeksjon Methylprednisolone sodium succinate
3545
Uforenlig
Injeksjon Amoxicillin sodium / clavulanic acid 100/10 mg/ml
Injeksjon Methylprednisolone sodium succinate 125 mg/ml
3824
Kompatibel
Injeksjon Amoxicillin sodium / clavulanic acid 100/10 mg/ml
Injeksjon Metoclopramide hydrochloride 5 mg/ml
3824
Kompatibel
Injeksjon Amoxicillin sodium / clavulanic acid 100/10 mg/ml
Injeksjon Metronidazole 5 mg/ml
3824
Kompatibel
Injeksjon Amoxicillin sodium / clavulanic acid 100/10 mg/ml
Injeksjon Micafungin 20 mg/ml
3824
Fargeendring Uforenlig
Injeksjon Amoxicillin sodium / clavulanic acid 100/10 mg/ml
Injeksjon Midazolam hydrochloride 5 mg/ml
3824
Umiddelbar nedbør Uforenlig
Injeksjon Amoxicillin sodium / clavulanic acid 20/2 mg/ml
Injeksjon Midazolam hydrochloride 5 mg/ml
Ingen 186
Kompatibel
Injeksjon Amoxicillin sodium / clavulanic acid 100/10 mg/ml
Injeksjon Milrinone lactate 1 mg/ml
3824
Kompatibel
Injeksjon Amoxicillin sodium / clavulanic acid 100/10 mg/ml
Injeksjon Morphine sulfate 50 mg/ml
3824
Kompatibel
Injeksjon Amoxicillin sodium / clavulanic acid 100/10 mg/ml
Injeksjon N-acetylcysteine 200 mg/ml
3824
Kompatibel
Injeksjon Amoxicillin sodium / clavulanic acid 100/10 mg/ml
Injeksjon Naloxone hydrochloride 0,4 mg/ml
3824
Uspesifisert inkompatibilitet Uforenlig
Injeksjon Amoxicillin sodium / clavulanic acid
Injeksjon Netilmicin sulfate
3545
Fargeendring Uforenlig
Injeksjon Amoxicillin sodium / clavulanic acid 100/10 mg/ml
Injeksjon Nicardipine hydrochloride 1 mg/ml
3824
Turbiditet på en time Uforenlig
Injeksjon Amoxicillin sodium / clavulanic acid 100/10 mg/ml
Injeksjon Nitroglycerin 5 mg/ml
3824
Kompatibel
Injeksjon Amoxicillin sodium / clavulanic acid 100/10 mg/ml
Injeksjon Norepinephrine bitartrate 1 mg/ml
3824
Kompatibel
Injeksjon Amoxicillin sodium / clavulanic acid 100/10 mg/ml
Injeksjon Octreotide acetate 0.5 mg/ml
3824
Kompatibel
Injeksjon Amoxicillin sodium / clavulanic acid 12 mg/ml
Injeksjon Ofloxacin 2 mg/ml
Ingen 889
Umiddelbar nedbør Uforenlig
Injeksjon Amoxicillin sodium / clavulanic acid 100/10 mg/ml
Injeksjon Ondansetron hydrochloride 2 mg/ml
3824
Kompatibel
Injeksjon Amoxicillin sodium / clavulanic acid 100/10 mg/ml
Injeksjon Oxytocin 10 UI/ml
3824
Kompatibel
Injeksjon Amoxicillin sodium / clavulanic acid 100/10 mg/ml
Injeksjon Pantoprazole sodium 4 mg/ml
3824
Kompatibel
Injeksjon Amoxicillin sodium / clavulanic acid 100/10 mg/ml
Injeksjon Paracetamol 10 mg/ml
3824
Uspesifisert inkompatibilitet Uforenlig
Injeksjon Amoxicillin sodium / clavulanic acid
Injeksjon Phenylephrine hydrochloride
3545
Kompatibel
Injeksjon Amoxicillin sodium / clavulanic acid 100/10 mg/ml
Injeksjon Phenylephrine hydrochloride 0,01 mg/ml
3824
Umiddelbar nedbør Uforenlig
Injeksjon Amoxicillin sodium / clavulanic acid 100/10 mg/ml
Injeksjon Phenytoin sodium 50 mg/ml
3824
Kjemisk ustabilitet Uforenlig
Injeksjon Amoxicillin sodium / clavulanic acid 10 mg/ml
Injeksjon Phloroglucinol 2,5 mg/ml
3791
Kompatibel
Injeksjon Amoxicillin sodium / clavulanic acid 100/10 mg/ml
Injeksjon Piperacillin sodium / tazobactam 100 mg/ml
3824
Kompatibel
Injeksjon Amoxicillin sodium / clavulanic acid 100/10 mg/ml
Injeksjon Potassium chloride 2 mEq/l
3824
Kompatibel
Injeksjon Amoxicillin sodium / clavulanic acid 100/10 mg/ml
Injeksjon Potassium phosphate 3 mmol/ml
3824
Kompatibel
Injeksjon Amoxicillin sodium / clavulanic acid 60 mg/ml
Injeksjon Propofol
4524
Kompatibel
Injeksjon Amoxicillin sodium / clavulanic acid 100/10 mg/ml
Injeksjon Rocuronium bromide 10 mg/ml
3824
Kompatibel
Injeksjon Amoxicillin sodium / clavulanic acid 100/10 mg/ml
Injeksjon Salbutamol sulfate 1 mg/ml
3824
Kompatibel
Injeksjon Amoxicillin sodium / clavulanic acid 100/10 mg/ml
Injeksjon Sodium bicarbonate 84 mg/ml
3824
Uspesifisert inkompatibilitet Uforenlig
Injeksjon Amoxicillin sodium / clavulanic acid
Injeksjon Sodium bicarbonate
3545
Kompatibel
Injeksjon Amoxicillin sodium / clavulanic acid 100/10 mg/ml
Injeksjon Sufentanil citrate 0,05 mg/ml
3824
Kjemisk ustabilitet Uforenlig
Injeksjon Amoxicillin sodium / clavulanic acid 20 mg/ml
Injeksjon Temocilline 83.33 mg/ml
Vann til injeksjon 2231
Uspesifisert inkompatibilitet Uforenlig
Injeksjon Amoxicillin sodium / clavulanic acid
Injeksjon Temocilline
4470
Kompatibel
Injeksjon Amoxicillin sodium / clavulanic acid 100/10 mg/ml
Injeksjon Thiamine hydrochloride 100 mg/ml
3824
Kompatibel
Injeksjon Amoxicillin sodium / clavulanic acid 100/10 mg/ml
Injeksjon Tobramycin sulfate 40 mg/ml
3824
Uspesifisert inkompatibilitet Uforenlig
Injeksjon Amoxicillin sodium / clavulanic acid
Injeksjon Tobramycin sulfate
3545
Kompatibel
Injeksjon Amoxicillin sodium / clavulanic acid 100/10 mg/ml
Injeksjon Tranexamic acid 100 mg/ml
3824
Kompatibel
Injeksjon Amoxicillin sodium / clavulanic acid 100/10 mg/ml
Injeksjon Vancomycin hydrochloride 50 mg/ml
3824
Umiddelbar turbiditet Uforenlig
Injeksjon Amoxicillin sodium / clavulanic acid 100/10 mg/ml
Injeksjon Verapamil hydrochloride 10 mg/ml
3824
Kompatibel
Injeksjon Amoxicillin sodium / clavulanic acid 100/10 mg/ml
Injeksjon Voriconazole 10 mg/ml
3824
Kompatibel
Injeksjon Amoxicillin sodium / clavulanic acid 100/10 mg/ml
Injeksjon Zidovudine 10 mg/ml
3824
Uspesifisert inkompatibilitet Uforenlig
Injeksjon Amoxicillin sodium / clavulanic acid
NaHCO3 3545

  Mentions Légales