Останнє оновлення :
27/04/2026
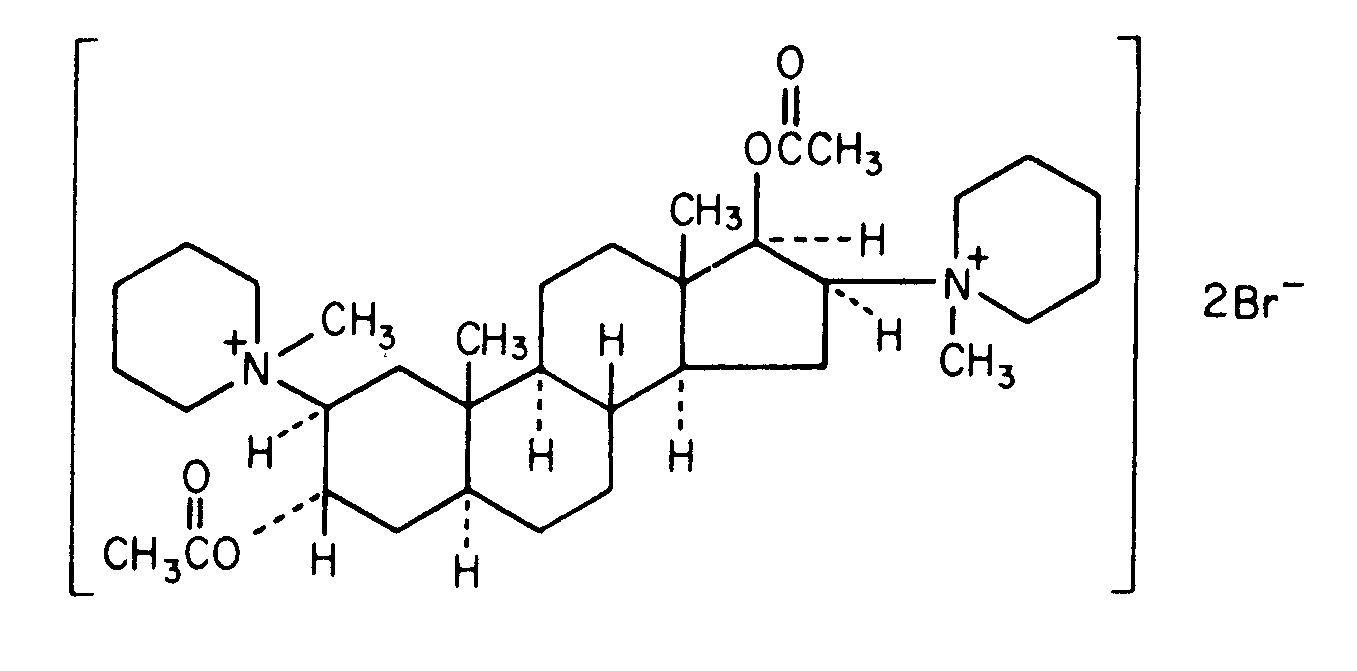
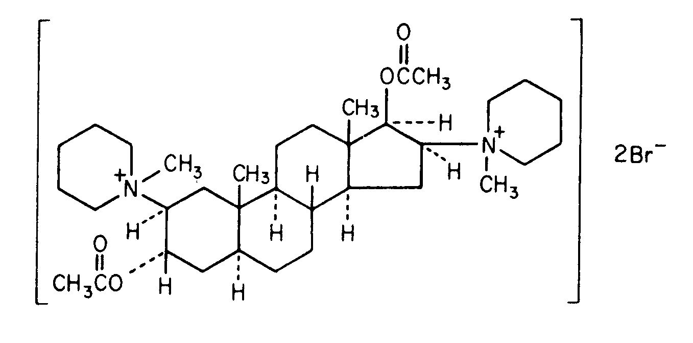
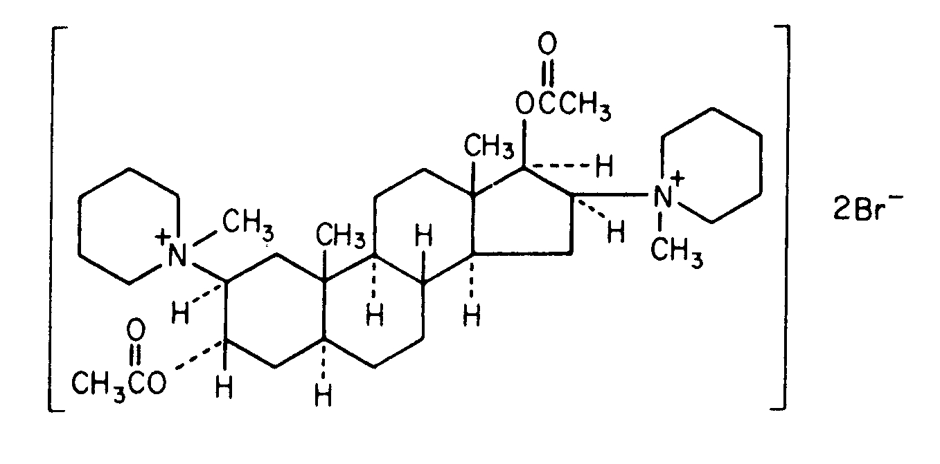
Курариміметик   Pancuronium bromide  
ін'єкція
Стійкість в розчинах Стійкість сумішей Фактори, що впливають на стабільність Сумісність Шлях введення Список літератури pdf
   Хімічна структура  

Торгова назва   Торгова назва     

Торгові назви є орієнтовними, а склад допоміжних речовин може бути різним залежно від країни та виробника

Pancuronium bromide injection Єгипет, Іран, Ірландія, Великобританія, Канада, Німеччина, Нова Зеландія, Об'єднані Арабські Емірати, Польща, Сполучені Штати Америки, Франція

Фактори, що впливають на стабільність   ін'єкція   Фактори, що впливають на стабільність : Pancuronium bromide        
7 / 5 000 Résultats de traduction Немає даних

  Mentions Légales