Последно актуализиране :
27/04/2026
Кураре-миметик   Pancuronium bromide  
Инжекция/Инжекционен
Стабилност на разтвори Стабилност на смеси Фактори, повлияващи стабилността Съвместимост Път на въвеждане Библиография Pdf
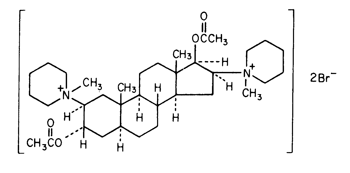
   Химична структура  

Търговско наименование   Търговско наименование     

Търговските имена са примерни и съставът на помощните вещества може да бъде различен в зависимост от държавата и лабораториите

Pancuronium bromide injection Великобритания, Германия, Египет, Иран, Ирландия, Канада, нова Зеландия, Обединени арабски емирства, Полша, Съединени Американски щати / САЩ, Франция

Фактори, повлияващи стабилността   Инжекция/Инжекционен   Фактори, повлияващи стабилността : Pancuronium bromide        
Няма данни

  Mentions Légales