Viimeisin päivitys :
27/04/2026
Lihasrelaksantit   Pancuronium bromide  
Injektioneste
Stabilius liuoksessa Stabilius seoksissa Tekijät, jotka vaikuttavat stabiliuteen Yhteensopivuus Antotapa Viitteet pdf
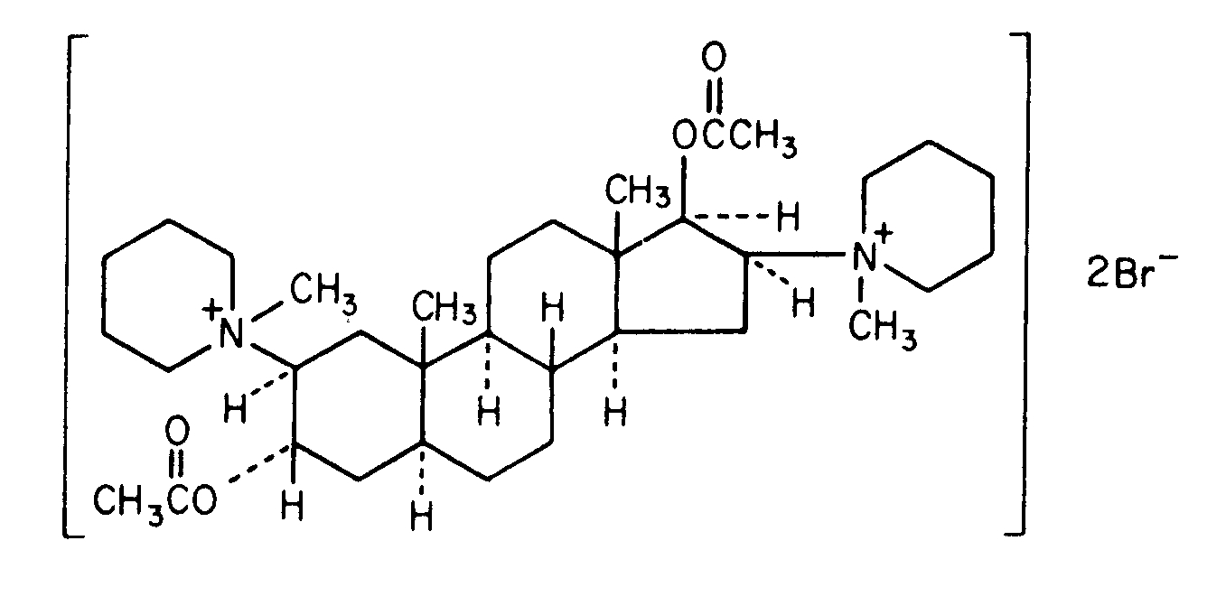
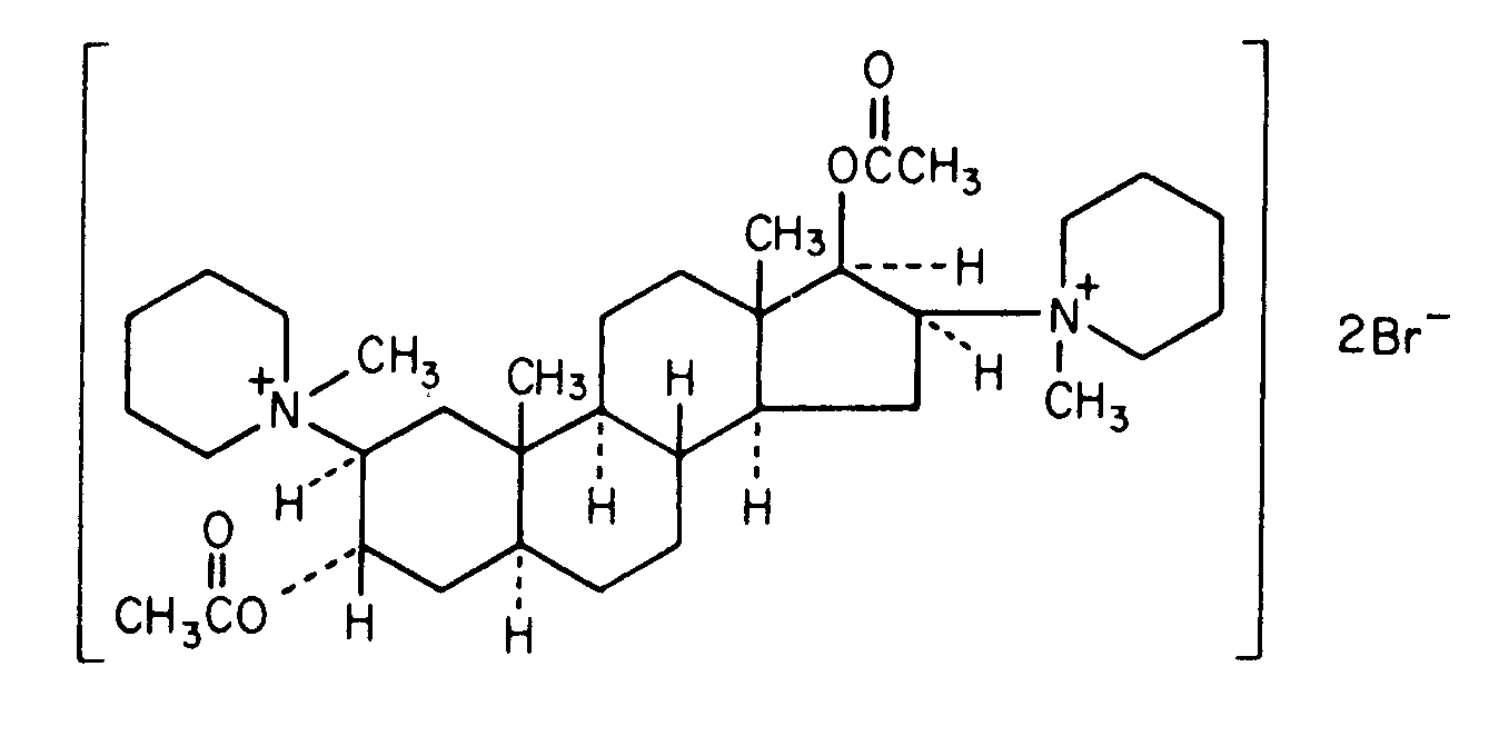
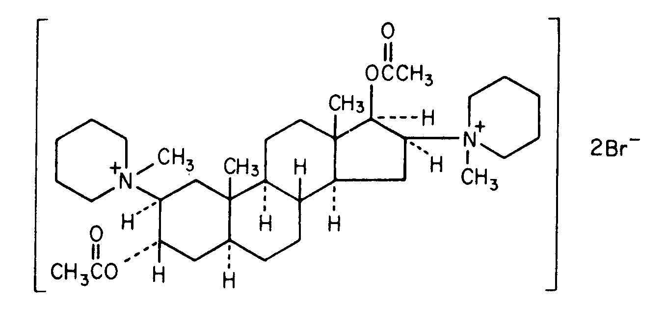
   Kemiallinen rakenne  

Kauppanimi   Kauppanimi     

Trade names are indicative and excipients composition can be different depending on the country and manufacturers

Pancuronium bromide injection Egypti, Iran, Irlanti, Iso-Britannia, Kanada, New Zealand, Puola, Ranska, Saksa, Yhdistyneet arabiemiirikunnat, Yhdysvallat

Tekijät, jotka vaikuttavat stabiliuteen   Injektioneste   Tekijät, jotka vaikuttavat stabiliuteen : Pancuronium bromide        
ei tietoa

  Mentions Légales