Posledná aktualizácia :
27/04/2026
kurarimimetikum/periférne myorelaxans   Pancuronium bromide  
Injekcia
Stabilita roztokov Stabilita v zmesiach Faktory ovplyvňujúce stabilitu Kompatibility spôsob podania Odkazy na literatúru PDF
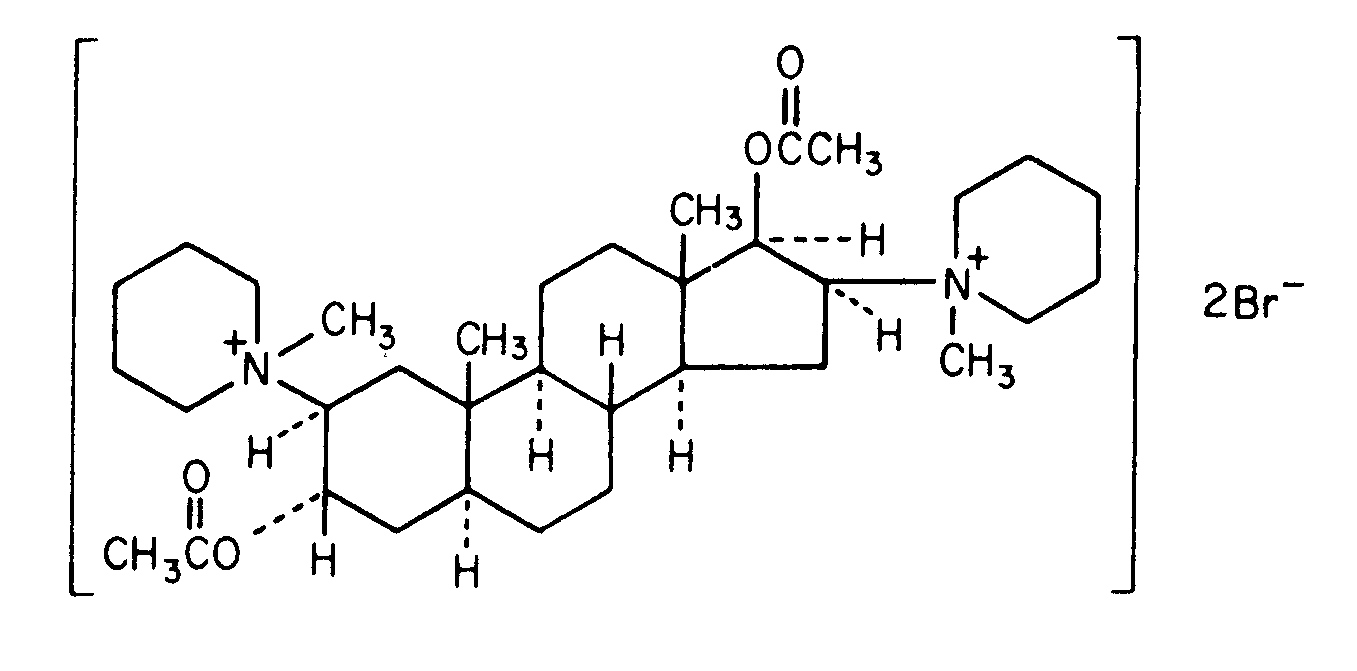
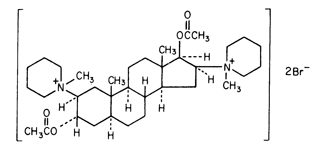
   Chemický vzorec  

Obchodný názov   Obchodný názov     

Obchodné názvy sú orientačné, a zloženie pomocných látok sa môže líšiť v závislosti od krajiny a výrobcu.

Pancuronium bromide injection Egypt, Francúzsko, Irán, Írsko, Kanada, Nemecko, nový Zéland, Poľsko, Spojené arabské emiráty, Spojené štáty Americké, Veľká Británia

Faktory ovplyvňujúce stabilitu   Injekcia   Faktory ovplyvňujúce stabilitu : Pancuronium bromide        
žiadne údaje

  Mentions Légales