Seneste opdatering :
27/04/2026
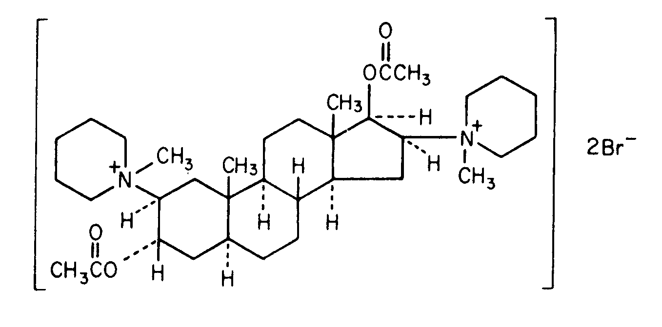
Curamimetisk   Pancuronium bromide  
Injektion
Stabilitet i (vandige) opløsninger Stabilitet i blandinger Faktorer der påvirker stabiliteten Kompatibilitet Administrationsvej Bibliografi pdf
   Kemisk struktur  

Handelsnavn   Handelsnavn     

Handel navne er vejledende og hjælpestoffer sammensætning kan være forskellig afhængigt af landet og laboratorier

Pancuronium bromide injection Canada, Forenede Arabiske Emirater, Frankrig, Iran, Irland, New Zealand, Polen, Storbritanien, Tyskland, USA, Ægypten

Faktorer der påvirker stabiliteten   Injektion   Faktorer der påvirker stabiliteten : Pancuronium bromide        
Ingen data

  Mentions Légales