آخر تحديث :
27/04/2026
 أدوية علاجيه   Pancuronium bromide  
حقن
الاستقرار في حلول استقرار مخاليط العوامل التي تؤثر على الاستقرار التوافق طريقة التعاطي مراجع pdf
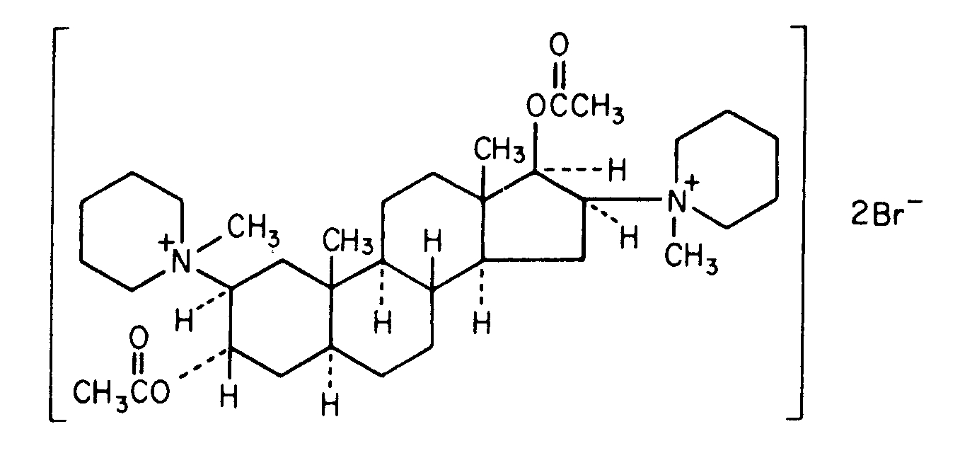
   التركيب الكيميائي  

حجز الاسم التجاري   حجز الاسم التجاري     

تحذير الأسماء التجاريه المختلفه قد تحتوي علي محتوي إضافات مختلفة حسب الدوله و المعمل

Pancuronium bromide injection ألمانيا, إيران, الإمارات العربية المتحدة, الولايات المتحدة, ايرلندا, بريطانيا العظمي, بولندا, زيلاندا الجديدة, فرنسا, كندا, مصر

العوامل التي تؤثر على الاستقرار   حقن   العوامل التي تؤثر على الاستقرار : Pancuronium bromide        
لا توجد بيانات

  Mentions Légales