zadnja posodobitev :
27/04/2026
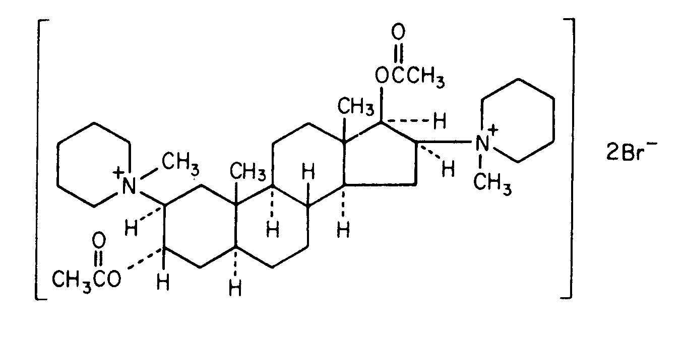
Kurarimetik   Pancuronium bromide  
Brizgalka
Stabilnost raztopine Stabilnost mešanice Faktorji, ki vplivajo na stabilnost Kompatibilnost način aplikacije Viri pdf
   Kemična formula  

Lastniško ime   Lastniško ime     

Sestava pomožnih snovi je med paralelami lahko različna

Pancuronium bromide injection Egipt, Francija, Iran, Irska, Kanada, Nemčija, nova Zelandija, Poljska, Velika Britanija, Združene države Amerike, Združeni arabski emirati

Faktorji, ki vplivajo na stabilnost   Brizgalka   Faktorji, ki vplivajo na stabilnost : Pancuronium bromide        
ni podatka

  Mentions Légales