Zadnji put ažurirano :
27/04/2026
narkotizirajuće djelovanje pomoću kurarina   Pancuronium bromide  
injekcija
Stabilizacija rješenja Stabilnost mješavine Stabilizacijski faktor Kompatibilnosti način davanja lijeka Bibliografija pdf
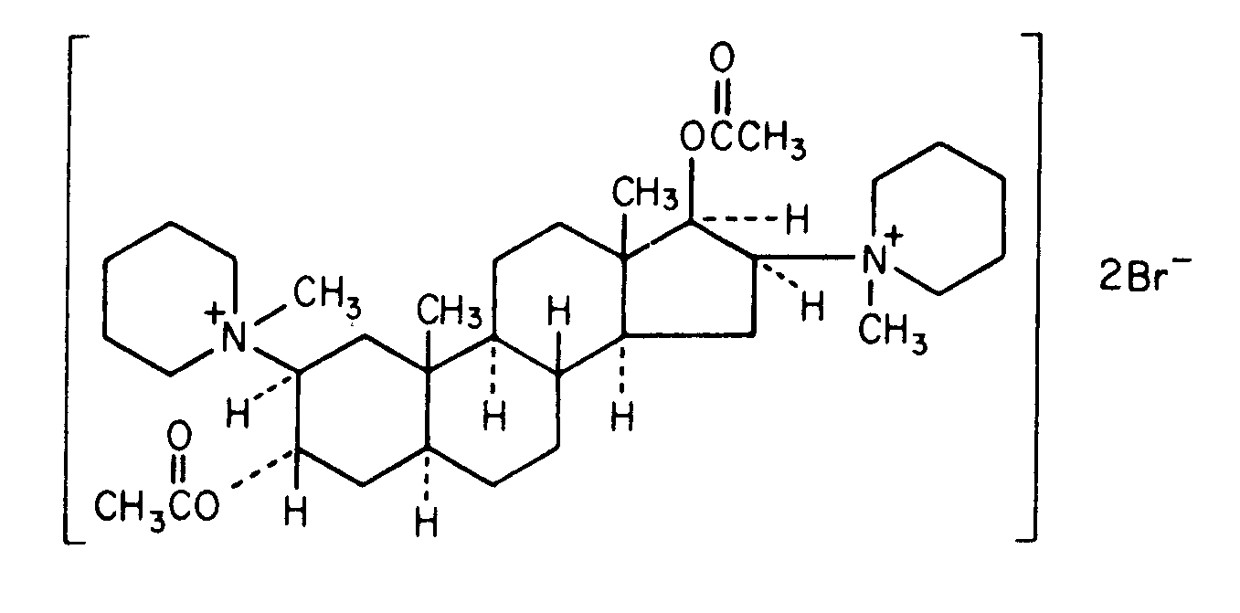
   Kemijska struktura  

Nekomercijalni   Nekomercijalni     

Zaštićeni nazivi su indikativni i sastav ekscipijensa može biti različit ovisno o državi i laboratorijima

Pancuronium bromide injection Egipat, Francuska, Iran, Irska, Kanada, Njemačka, novi Zeland, Poljska, S A D, Ujedinjeni Arapski Emirati, Velika Britanija

Stabilizacijski faktor   injekcija   Stabilizacijski faktor : Pancuronium bromide        
bez podataka

  Mentions Légales