Son güncelleme :
27/04/2026
Kurarimimetik   Pancuronium bromide  
Enjeksiyon
Çözeltilerin stabilitesi Karışımlardaki stabilitesi Stabiliteyi etkileyen faktörler Uyumluluk Uygulama yöntemi Kaynaklar pdf
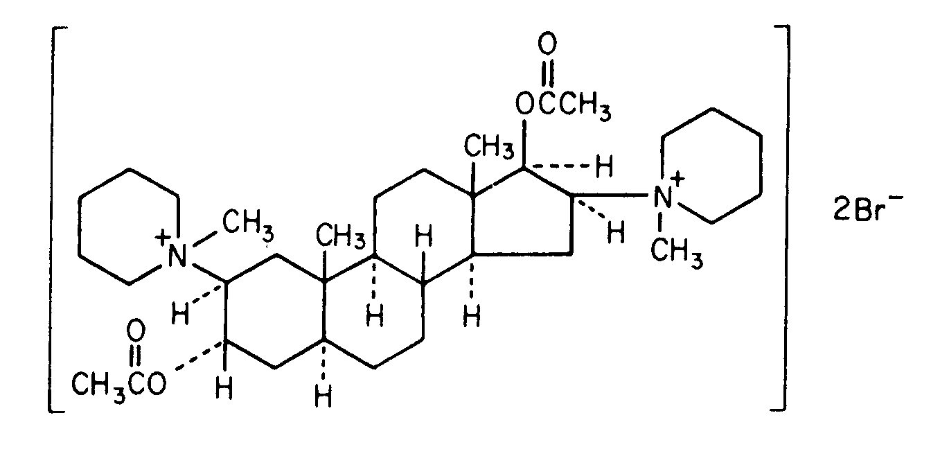
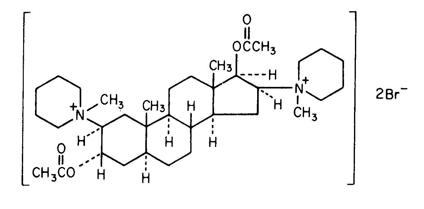
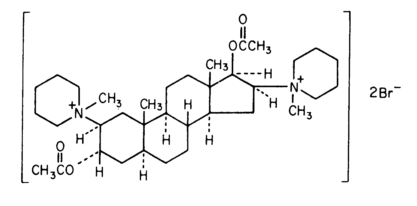
   Kimyasal yapı   

Ticari isim   Ticari isim     

Trade names are indicative and excipients composition can be different depending on the country and manufacturers

Pancuronium bromide injection Almanya, Amerika Birleşik Devletleri, Birleşik Arap Emirlikleri, Büyük Britanya, Fransa, İran, İrlanda, Kanada, Mısır, Polonya, yeni Zelanda

Stabiliteyi etkileyen faktörler    Enjeksiyon    Stabiliteyi etkileyen faktörler : Pancuronium bromide        
veri yok

  Mentions Légales