Ultimele actualizari :
27/04/2026
Curarizant   Pancuronium bromide  
Injectabil
Stabilitatea in solutie Stabilitatea in amestec Factorii care influenteaza stabilitatea Compatibilitate Microunde Bibliografie pdf
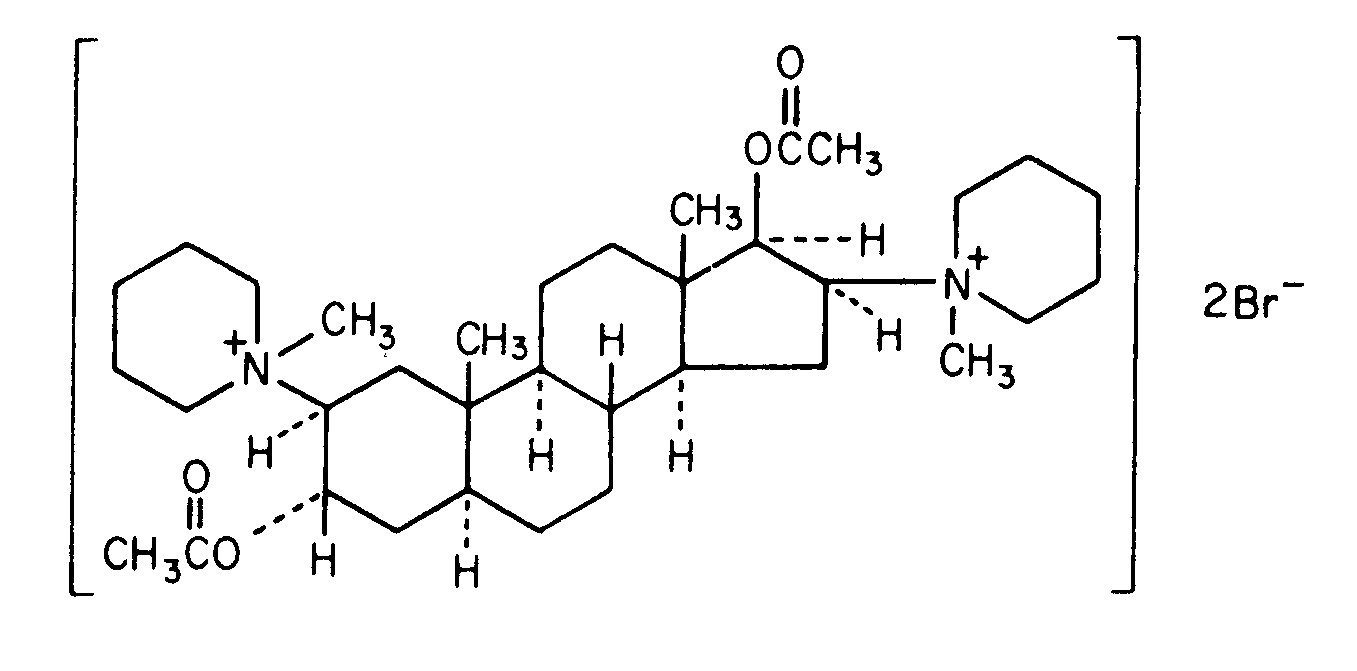
   Formula chimica  

Denumirea comerciala   Denumirea comerciala     

Trade names are indicative and excipients composition can be different depending on the country and manufacturers

Pancuronium bromide injection Canada, Egipt, Emiratele Arabe Unite, Franta, Germania, Iran, Irlanda, Marea Britanie, noua Zeelandă, Polonia, SUA

Factorii care influenteaza stabilitatea   Injectabil   Factorii care influenteaza stabilitatea : Pancuronium bromide        
Absenta de date

  Mentions Légales