最新更新 :
27/04/2026
仿箭毒药   Pancuronium bromide  
注射液
溶液稳定性 混合物稳定性 影响稳定性的因素 兼容性 用药途径 引用文献 PDF
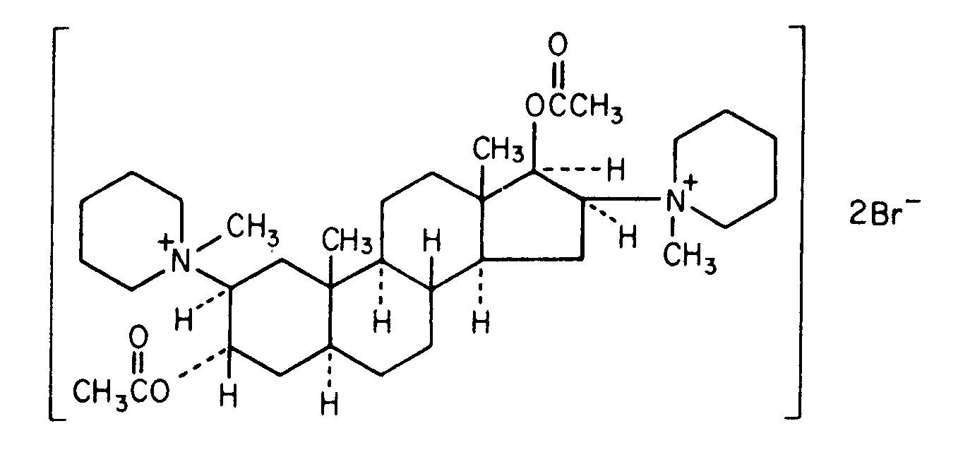
   化学式  

商品名   商品名     

商品名仅供参考, 药品所用的辅料可能依国家或厂商不同有所不同。

Pancuronium bromide injection 伊朗, 加拿大, 埃及, 德国, 新西蘭, 法国, 波兰, 爱尔兰, 美国, 英国, 阿联酋

影响稳定性的因素   注射液   影响稳定性的因素 : Pancuronium bromide        
无数据

  Mentions Légales