Последнее обновление :
27/04/2026
Кураримиметик   Pancuronium bromide  
Инъекция
Стабильность растворов Стабильность смесей Факторы, которые влияют на стабильность Совместимость Способы введения Библиография pdf
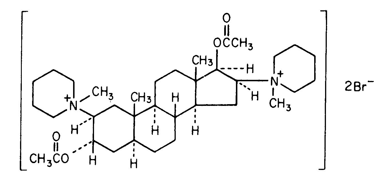
   Химическая структура  

Товарное название   Товарное название     

Trade names are indicative and excipients composition can be different depending on the country and manufacturers

Pancuronium bromide injection Великобритания, Германия, Египет, Иран, Ирландия, Канада, новая Зеландия, Объединенные Арабские Эмираты, Польша, Соединённые Штаты Америки, Франция

Факторы, которые влияют на стабильность   Инъекция   Факторы, которые влияют на стабильность : Pancuronium bromide        
данных нет

  Mentions Légales