Ostatnia aktualizacja :
27/04/2026
Lek kuraropodobny   Pancuronium bromide  
Injekcje
Trwałość roztworów Trwałość w mieszaninie Czynnik wpływający na trwałość Zgodność Sposób podania Bibliografia pdf
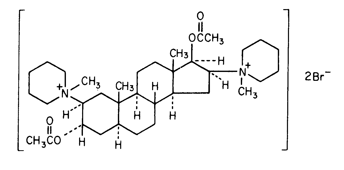
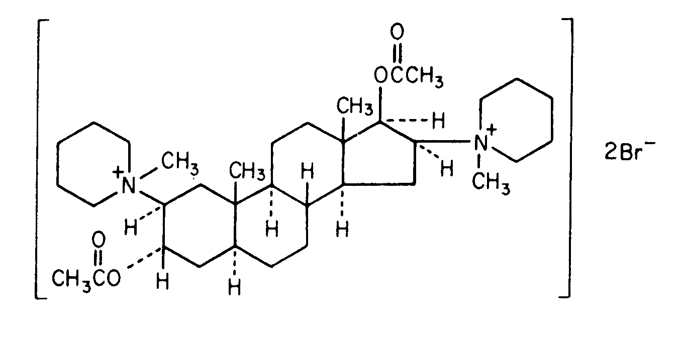
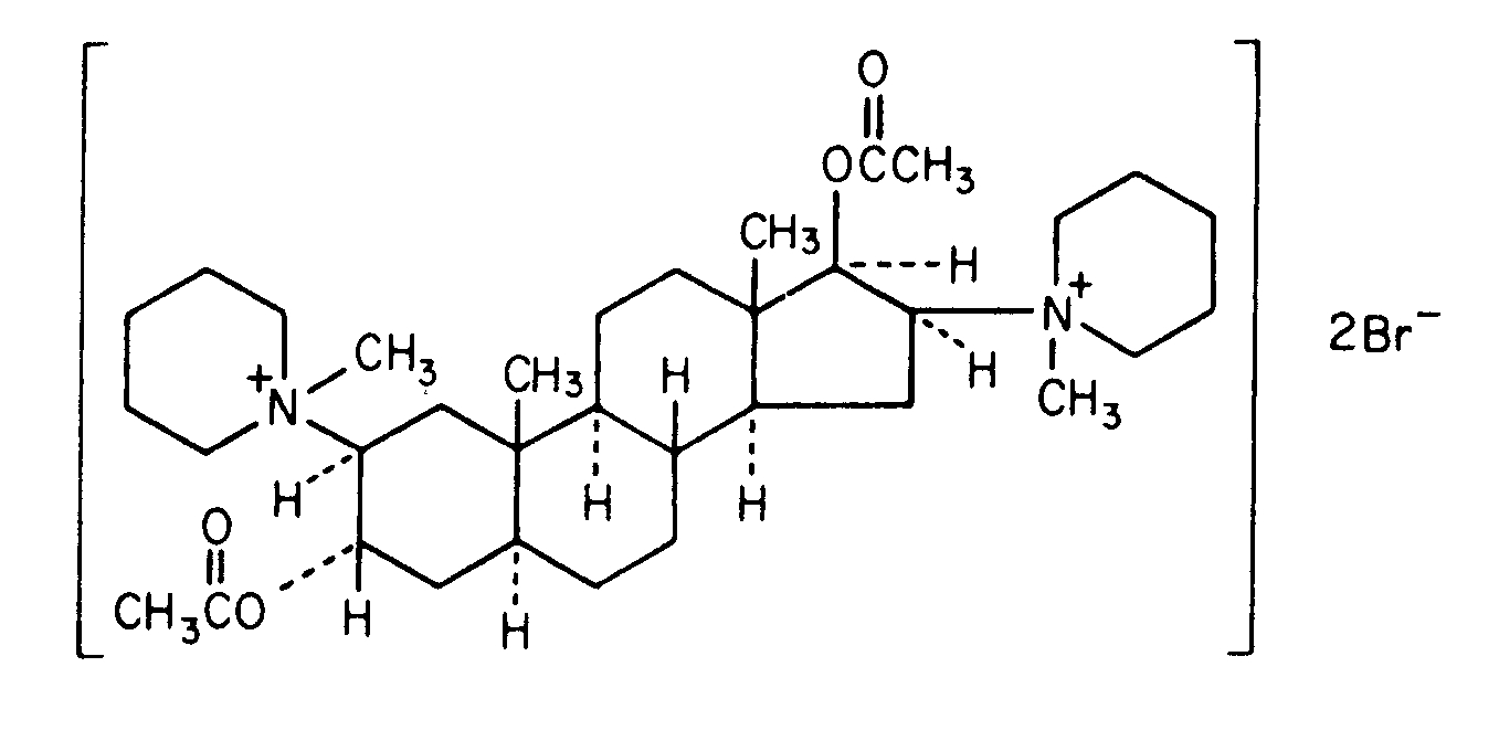
   Struktura chemiczna  

Nazwa handlowa   Nazwa handlowa     

Trade names are indicative and excipients composition can be different depending on the country and manufacturers

Pancuronium bromide injection Egipt, Francja , Iran, Irlandia, Kanada, Niemcy, nowa Zelandia, Polska, Stany Zjednoczone Ameryki, Wielka Brytania, Zjednoczone Emiraty Arabskie

Czynnik wpływający na trwałość   Injekcje   Czynnik wpływający na trwałość : Pancuronium bromide        
Brak danych

  Mentions Légales