Останнє оновлення :
27/04/2026
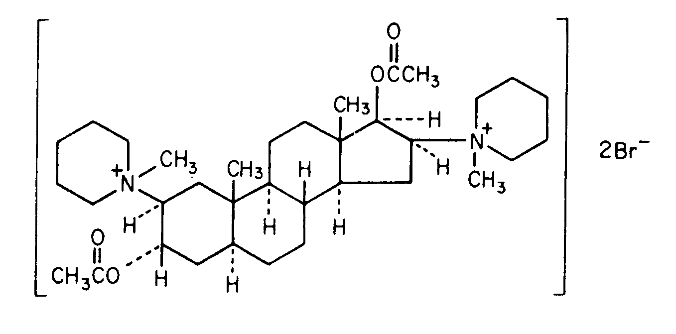
Курариміметик   Pancuronium bromide  
ін'єкція
Стійкість в розчинах Стійкість сумішей Фактори, що впливають на стабільність Сумісність Шлях введення Список літератури pdf
   Хімічна структура  

Торгова назва   Торгова назва     

Торгові назви є орієнтовними, а склад допоміжних речовин може бути різним залежно від країни та виробника

Pancuronium bromide injection Єгипет, Іран, Ірландія, Великобританія, Канада, Німеччина, Нова Зеландія, Об'єднані Арабські Емірати, Польща, Сполучені Штати Америки, Франція
Сумісність   ін'єкція   Сумісність : Pancuronium bromide              
explication_incompatibilite_molecules
З'єднання Розчинник Список літератури
сумісний
ін'єкція Pancuronium bromide 0.05 mg/ml
ін'єкція Aminophylline 1 mg/ml
Глюкоза 5% 402
сумісний
ін'єкція Pancuronium bromide 0.05 mg/ml
ін'єкція Cefazolin sodium 10 mg/ml
Глюкоза 5% 402
сумісний
ін'єкція Pancuronium bromide 0.05 mg/ml
ін'єкція Cefuroxime sodium 7.5 mg/ml
Глюкоза 5% 402
сумісний
ін'єкція Pancuronium bromide 0.05 mg/ml
ін'єкція Cimetidine hydrochloride 6 mg/ml
Глюкоза 5% 402
сумісний
ін'єкція Pancuronium bromide 0.2 mg/ml
ін'єкція Ciprofloxacin lactate 2 mg/ml
Глюкоза 5% 285
сумісний
ін'єкція Pancuronium bromide 0.05 mg/ml
ін'єкція Co-trimoxazole 3.2/0.64 mg/ml
Глюкоза 5% 402
сумісний
ін'єкція Pancuronium bromide
ін'єкція Dexmedetomidine
5042
Миттєві опади Несумісні
ін'єкція Pancuronium bromide 0.05 mg/ml
ін'єкція Diazepam 5 mg/ml
Глюкоза 5% 402
сумісний
ін'єкція Pancuronium bromide 0.05 mg/ml
ін'єкція Dobutamine hydrochloride 1 mg/ml
Глюкоза 5% 402
сумісний
ін'єкція Pancuronium bromide 0.05 mg/ml
ін'єкція Dopamine hydrochloride 1.6 mg/ml
Глюкоза 5% 402
сумісний
ін'єкція Pancuronium bromide 0.05 mg/ml
ін'єкція Epinephrine hydrochloride 4 µg/ml
Глюкоза 5% 402
сумісний
ін'єкція Pancuronium bromide 0.05 mg/ml
ін'єкція Esmolol hydrochloride 10 mg/ml
Глюкоза 5% 402
Негайне помутніння Несумісні
ін'єкція Pancuronium bromide
ін'єкція Etomidate
5011
сумісний
ін'єкція Pancuronium bromide 2 mg/ml
ін'єкція Etomidate 2 mg/ml
Жодного 319
сумісний
ін'єкція Pancuronium bromide 0.1 mg/ml
ін'єкція Fenoldopam mesylate 80 µg/ml
Натрію хлорид 0,9% 1803
сумісний
ін'єкція Pancuronium bromide 0.05 mg/ml
ін'єкція Fentanyl citrate 10 µg/ml
Глюкоза 5% 402
сумісний
ін'єкція Pancuronium bromide 0,5 mg/ml
ін'єкція Fluconazole 2 mg/ml
Натрію хлорид 0,9% 255
сумісний
ін'єкція Pancuronium bromide 0.05 mg/ml
ін'єкція Gentamicin sulfate 2 mg/ml
Глюкоза 5% 402
сумісний
ін'єкція Pancuronium bromide 0.05 mg/ml
ін'єкція Heparin sodium 40 UI/ml
Глюкоза 5% 402
сумісний
ін'єкція Pancuronium bromide 0.05 mg/ml
ін'єкція Hydrocortisone sodium succinate 1 mg/ml
Глюкоза 5% 402
сумісний
ін'єкція Pancuronium bromide
Глюкоза 5% 755
сумісний
ін'єкція Pancuronium bromide
Розчин лактату Рінгера 755
сумісний
ін'єкція Pancuronium bromide 0.1 mg/ml
ін'єкція Hetastarch 60 mg/ml
специфічний розчинник 1721
сумісний
ін'єкція Pancuronium bromide 0.05 mg/ml
ін'єкція Isoprenaline hydrochloride 0.004 mg/ml
Глюкоза 5% 402
сумісний
ін'єкція Pancuronium bromide 2 mg/ml
ін'єкція Ketamine hydrochloride 50 mg/ml
2109
сумісний
ін'єкція Pancuronium bromide 1 mg/ml
ін'єкція Levofloxacine 5 mg/ml
Глюкоза 5% 1072
сумісний
ін'єкція Pancuronium bromide 0.05 mg/ml
ін'єкція Lorazepam 0.5 mg/ml
Глюкоза 5% 402
сумісний
ін'єкція Pancuronium bromide 0.05 mg/ml
ін'єкція Midazolam hydrochloride 0.05 mg/ml
Глюкоза 5% 402
сумісний
ін'єкція Pancuronium bromide 2 mg/ml
ін'єкція Milrinone lactate 0.8 mg/ml
Глюкоза 5% 813
сумісний
ін'єкція Pancuronium bromide 0.05 mg/ml
ін'єкція Morphine sulfate 1 mg/ml
Глюкоза 5% 402
сумісний
ін'єкція Pancuronium bromide 2 mg/ml
ін'єкція Naloxone hydrochloride 0.4 mg/ml
Жодного 3408
сумісний
ін'єкція Pancuronium bromide 0.05 mg/ml
ін'єкція Nitroglycerin 0.4 mg/ml
Глюкоза 5% 402
сумісний
ін'єкція Pancuronium bromide 0.05 mg/ml
ін'єкція Nitroprusside sodium 0.2 mg/ml
Глюкоза 5% 402
сумісний
ін'єкція Pancuronium bromide 0.1 mg/ml
ін'єкція Oritavancin 0.8 >>2 mg/ml
Глюкоза 5% 3152
Миттєві опади Несумісні
ін'єкція Pancuronium bromide
ін'єкція Pantoprazole sodium
2090
сумісний
ін'єкція Pancuronium bromide 1 mg/ml
ін'єкція Propofol 10 mg/ml
Жодного 300
Нестійкість емульсії через 4 год Несумісні
ін'єкція Pancuronium bromide 1 mg/ml
ін'єкція Propofol
660
сумісний
ін'єкція Pancuronium bromide 2 mg/ml
ін'єкція Propofol 2 mg/ml
Жодного 319
сумісний
ін'єкція Pancuronium bromide 0.05 mg/ml
ін'єкція Ranitidine hydrochloride 0.5 mg/ml
Глюкоза 5% 402
Миттєві опади Несумісні
ін'єкція Pancuronium bromide 2 mg/ml
ін'єкція Salbutamol sulfate 1 mg/ml
Жодного 3216
Миттєві опади Несумісні
ін'єкція Pancuronium bromide
ін'єкція Thiopental sodium
2079
Миттєві опади Несумісні
ін'єкція Pancuronium bromide 2 mg/ml
ін'єкція Thiopental sodium 25 mg/ml
Натрію хлорид 0,9% 3767
Миттєві опади Несумісні
ін'єкція Pancuronium bromide 2 mg/ml
ін'єкція Thiopental sodium 25 mg/ml
Вода для ін'єкцій 319
сумісний
ін'єкція Pancuronium bromide 0.008 mg/ml
ін'єкція Verapamil hydrochloride 0.08 mg/ml
Глюкоза 5% 1057
сумісний
ін'єкція Pancuronium bromide
Натрію хлорид 0,9% 755
Неуточнена несумісність Несумісні
ін'єкція Pancuronium bromide
ін'єкція Thiopental sodium
755
сумісний
ін'єкція Pancuronium bromide 0.05 mg/ml
ін'єкція Vancomycin hydrochloride 5 mg/ml
Глюкоза 5% 402
сумісний
ін'єкція Pancuronium bromide 0.008 mg/ml
ін'єкція Verapamil hydrochloride 0.08 mg/ml
Натрію хлорид 0,9% 1057

  Mentions Légales