Posledná aktualizácia :
27/04/2026
kurarimimetikum/periférne myorelaxans   Pancuronium bromide  
Injekcia
Stabilita roztokov Stabilita v zmesiach Faktory ovplyvňujúce stabilitu Kompatibility spôsob podania Odkazy na literatúru PDF
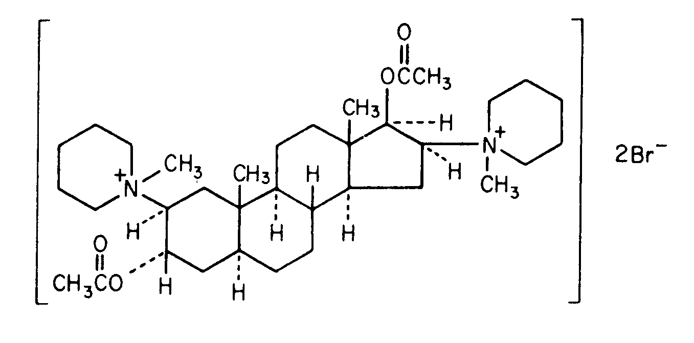
   Chemický vzorec  

Obchodný názov   Obchodný názov     

Obchodné názvy sú orientačné, a zloženie pomocných látok sa môže líšiť v závislosti od krajiny a výrobcu.

Pancuronium bromide injection Egypt, Francúzsko, Irán, Írsko, Kanada, Nemecko, nový Zéland, Poľsko, Spojené arabské emiráty, Spojené štáty Americké, Veľká Británia
Kompatibility   Injekcia   Kompatibility : Pancuronium bromide              
Toto okno zobrazuje kompatibility alebo inkombatibility, v prípade inkompatibility aj jej typ (vyzrážanie, zmena farby, zmena emulzie atď.). Tu vymenované kompatibility sú väčšinou len fyzikálne, chemická stabilita každej zo zlúčenín sa hodnotila len zriedkavo. Tieto zmesi sa skúmali za účelom možnosti súbežného podávania pacientovi cez infúznu spojku Y. Údaje sa nedajú použiť na prípravu zmesí vo vakoch alebo striekačkách. Taká informácia sa nachádza v okne „Stabilita v zmesiach“.
Zlúčenina rozpúšťadlo odkazy na lieteratúru
kompatibilný
Injekcia Pancuronium bromide 0.05 mg/ml
Injekcia Aminophylline 1 mg/ml
5% glukóza 402
kompatibilný
Injekcia Pancuronium bromide 0.05 mg/ml
Injekcia Cefazolin sodium 10 mg/ml
5% glukóza 402
kompatibilný
Injekcia Pancuronium bromide 0.05 mg/ml
Injekcia Cefuroxime sodium 7.5 mg/ml
5% glukóza 402
kompatibilný
Injekcia Pancuronium bromide 0.05 mg/ml
Injekcia Cimetidine hydrochloride 6 mg/ml
5% glukóza 402
kompatibilný
Injekcia Pancuronium bromide 0.2 mg/ml
Injekcia Ciprofloxacin lactate 2 mg/ml
5% glukóza 285
kompatibilný
Injekcia Pancuronium bromide 0.05 mg/ml
Injekcia Co-trimoxazole 3.2/0.64 mg/ml
5% glukóza 402
kompatibilný
Injekcia Pancuronium bromide
Injekcia Dexmedetomidine
5042
Okamžité zrážanie nezlučiteľný
Injekcia Pancuronium bromide 0.05 mg/ml
Injekcia Diazepam 5 mg/ml
5% glukóza 402
kompatibilný
Injekcia Pancuronium bromide 0.05 mg/ml
Injekcia Dobutamine hydrochloride 1 mg/ml
5% glukóza 402
kompatibilný
Injekcia Pancuronium bromide 0.05 mg/ml
Injekcia Dopamine hydrochloride 1.6 mg/ml
5% glukóza 402
kompatibilný
Injekcia Pancuronium bromide 0.05 mg/ml
Injekcia Epinephrine hydrochloride 4 µg/ml
5% glukóza 402
kompatibilný
Injekcia Pancuronium bromide 0.05 mg/ml
Injekcia Esmolol hydrochloride 10 mg/ml
5% glukóza 402
Okamžitá zákal nezlučiteľný
Injekcia Pancuronium bromide
Injekcia Etomidate
5011
kompatibilný
Injekcia Pancuronium bromide 2 mg/ml
Injekcia Etomidate 2 mg/ml
Žiadny 319
kompatibilný
Injekcia Pancuronium bromide 0.1 mg/ml
Injekcia Fenoldopam mesylate 80 µg/ml
0,9% chlorid sodný 1803
kompatibilný
Injekcia Pancuronium bromide 0.05 mg/ml
Injekcia Fentanyl citrate 10 µg/ml
5% glukóza 402
kompatibilný
Injekcia Pancuronium bromide 0,5 mg/ml
Injekcia Fluconazole 2 mg/ml
0,9% chlorid sodný 255
kompatibilný
Injekcia Pancuronium bromide 0.05 mg/ml
Injekcia Gentamicin sulfate 2 mg/ml
5% glukóza 402
kompatibilný
Injekcia Pancuronium bromide 0.05 mg/ml
Injekcia Heparin sodium 40 UI/ml
5% glukóza 402
kompatibilný
Injekcia Pancuronium bromide 0.05 mg/ml
Injekcia Hydrocortisone sodium succinate 1 mg/ml
5% glukóza 402
kompatibilný
Injekcia Pancuronium bromide
5% glukóza 755
kompatibilný
Injekcia Pancuronium bromide
Ringerov laktátový roztok 755
kompatibilný
Injekcia Pancuronium bromide 0.1 mg/ml
Injekcia Hetastarch 60 mg/ml
Špeciálne rozpúšťadlá 1721
kompatibilný
Injekcia Pancuronium bromide 0.05 mg/ml
Injekcia Isoprenaline hydrochloride 0.004 mg/ml
5% glukóza 402
kompatibilný
Injekcia Pancuronium bromide 2 mg/ml
Injekcia Ketamine hydrochloride 50 mg/ml
2109
kompatibilný
Injekcia Pancuronium bromide 1 mg/ml
Injekcia Levofloxacine 5 mg/ml
5% glukóza 1072
kompatibilný
Injekcia Pancuronium bromide 0.05 mg/ml
Injekcia Lorazepam 0.5 mg/ml
5% glukóza 402
kompatibilný
Injekcia Pancuronium bromide 0.05 mg/ml
Injekcia Midazolam hydrochloride 0.05 mg/ml
5% glukóza 402
kompatibilný
Injekcia Pancuronium bromide 2 mg/ml
Injekcia Milrinone lactate 0.8 mg/ml
5% glukóza 813
kompatibilný
Injekcia Pancuronium bromide 0.05 mg/ml
Injekcia Morphine sulfate 1 mg/ml
5% glukóza 402
kompatibilný
Injekcia Pancuronium bromide 2 mg/ml
Injekcia Naloxone hydrochloride 0.4 mg/ml
Žiadny 3408
kompatibilný
Injekcia Pancuronium bromide 0.05 mg/ml
Injekcia Nitroglycerin 0.4 mg/ml
5% glukóza 402
kompatibilný
Injekcia Pancuronium bromide 0.05 mg/ml
Injekcia Nitroprusside sodium 0.2 mg/ml
5% glukóza 402
kompatibilný
Injekcia Pancuronium bromide 0.1 mg/ml
Injekcia Oritavancin 0.8 >>2 mg/ml
5% glukóza 3152
Okamžité zrážanie nezlučiteľný
Injekcia Pancuronium bromide
Injekcia Pantoprazole sodium
2090
kompatibilný
Injekcia Pancuronium bromide 1 mg/ml
Injekcia Propofol 10 mg/ml
Žiadny 300
Nestabilita emulzie po 4 hodinách nezlučiteľný
Injekcia Pancuronium bromide 1 mg/ml
Injekcia Propofol
660
kompatibilný
Injekcia Pancuronium bromide 2 mg/ml
Injekcia Propofol 2 mg/ml
Žiadny 319
kompatibilný
Injekcia Pancuronium bromide 0.05 mg/ml
Injekcia Ranitidine hydrochloride 0.5 mg/ml
5% glukóza 402
Okamžité zrážanie nezlučiteľný
Injekcia Pancuronium bromide 2 mg/ml
Injekcia Salbutamol sulfate 1 mg/ml
Žiadny 3216
Okamžité zrážanie nezlučiteľný
Injekcia Pancuronium bromide
Injekcia Thiopental sodium
2079
Okamžité zrážanie nezlučiteľný
Injekcia Pancuronium bromide 2 mg/ml
Injekcia Thiopental sodium 25 mg/ml
0,9% chlorid sodný 3767
Okamžité zrážanie nezlučiteľný
Injekcia Pancuronium bromide 2 mg/ml
Injekcia Thiopental sodium 25 mg/ml
voda na injekciu 319
kompatibilný
Injekcia Pancuronium bromide 0.008 mg/ml
Injekcia Verapamil hydrochloride 0.08 mg/ml
5% glukóza 1057
kompatibilný
Injekcia Pancuronium bromide
0,9% chlorid sodný 755
Nešpecifikovaná nekompatibilita nezlučiteľný
Injekcia Pancuronium bromide
Injekcia Thiopental sodium
755
kompatibilný
Injekcia Pancuronium bromide 0.05 mg/ml
Injekcia Vancomycin hydrochloride 5 mg/ml
5% glukóza 402
kompatibilný
Injekcia Pancuronium bromide 0.008 mg/ml
Injekcia Verapamil hydrochloride 0.08 mg/ml
0,9% chlorid sodný 1057

  Mentions Légales