zadnja posodobitev :
27/04/2026
Kurarimetik   Pancuronium bromide  
Brizgalka
Stabilnost raztopine Stabilnost mešanice Faktorji, ki vplivajo na stabilnost Kompatibilnost način aplikacije Viri pdf
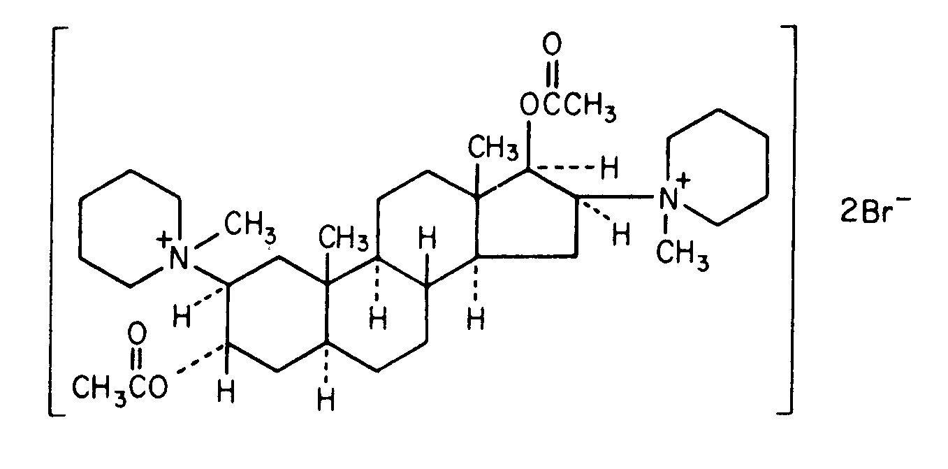
   Kemična formula  

Lastniško ime   Lastniško ime     

Sestava pomožnih snovi je med paralelami lahko različna

Pancuronium bromide injection Egipt, Francija, Iran, Irska, Kanada, Nemčija, nova Zelandija, Poljska, Velika Britanija, Združene države Amerike, Združeni arabski emirati
Kompatibilnost   Brizgalka   Kompatibilnost : Pancuronium bromide              
Ta zaslon prikazuje združljivost ali nezdružljivost s, v tem primeru, vrsto nezdružljivosti (padavine, sprememba barve, sprememba emulzije itd.). Tu prikazane združljivosti so večinoma samo fizične, pri čemer se kemijska stabilnost vsake molekule redko ocenjuje. Vrednotenje teh zmesi so preučevali, da bi preučili možnost pacientovega dajanja na mestu Y. Teh podatkov ni mogoče uporabiti za pripravo mešanic v vrečkah ali brizgah. Ta vrsta informacij je na voljo na zaslonu "Obstojnost v mešanici".
Sestava Topilo Viri
Združljivo
Brizgalka Pancuronium bromide 0.05 mg/ml
Brizgalka Aminophylline 1 mg/ml
Glukoza 5% 402
Združljivo
Brizgalka Pancuronium bromide 0.05 mg/ml
Brizgalka Cefazolin sodium 10 mg/ml
Glukoza 5% 402
Združljivo
Brizgalka Pancuronium bromide 0.05 mg/ml
Brizgalka Cefuroxime sodium 7.5 mg/ml
Glukoza 5% 402
Združljivo
Brizgalka Pancuronium bromide 0.05 mg/ml
Brizgalka Cimetidine hydrochloride 6 mg/ml
Glukoza 5% 402
Združljivo
Brizgalka Pancuronium bromide 0.2 mg/ml
Brizgalka Ciprofloxacin lactate 2 mg/ml
Glukoza 5% 285
Združljivo
Brizgalka Pancuronium bromide 0.05 mg/ml
Brizgalka Co-trimoxazole 3.2/0.64 mg/ml
Glukoza 5% 402
Združljivo
Brizgalka Pancuronium bromide
Brizgalka Dexmedetomidine
5042
Takoj padavine Nezdružljivo
Brizgalka Pancuronium bromide 0.05 mg/ml
Brizgalka Diazepam 5 mg/ml
Glukoza 5% 402
Združljivo
Brizgalka Pancuronium bromide 0.05 mg/ml
Brizgalka Dobutamine hydrochloride 1 mg/ml
Glukoza 5% 402
Združljivo
Brizgalka Pancuronium bromide 0.05 mg/ml
Brizgalka Dopamine hydrochloride 1.6 mg/ml
Glukoza 5% 402
Združljivo
Brizgalka Pancuronium bromide 0.05 mg/ml
Brizgalka Epinephrine hydrochloride 4 µg/ml
Glukoza 5% 402
Združljivo
Brizgalka Pancuronium bromide 0.05 mg/ml
Brizgalka Esmolol hydrochloride 10 mg/ml
Glukoza 5% 402
Takojšnja motnost Nezdružljivo
Brizgalka Pancuronium bromide
Brizgalka Etomidate
5011
Združljivo
Brizgalka Pancuronium bromide 2 mg/ml
Brizgalka Etomidate 2 mg/ml
Nobeden 319
Združljivo
Brizgalka Pancuronium bromide 0.1 mg/ml
Brizgalka Fenoldopam mesylate 80 µg/ml
Natrijev klorid 0,9% 1803
Združljivo
Brizgalka Pancuronium bromide 0.05 mg/ml
Brizgalka Fentanyl citrate 10 µg/ml
Glukoza 5% 402
Združljivo
Brizgalka Pancuronium bromide 0,5 mg/ml
Brizgalka Fluconazole 2 mg/ml
Natrijev klorid 0,9% 255
Združljivo
Brizgalka Pancuronium bromide 0.05 mg/ml
Brizgalka Gentamicin sulfate 2 mg/ml
Glukoza 5% 402
Združljivo
Brizgalka Pancuronium bromide 0.05 mg/ml
Brizgalka Heparin sodium 40 UI/ml
Glukoza 5% 402
Združljivo
Brizgalka Pancuronium bromide 0.05 mg/ml
Brizgalka Hydrocortisone sodium succinate 1 mg/ml
Glukoza 5% 402
Združljivo
Brizgalka Pancuronium bromide
Glukoza 5% 755
Združljivo
Brizgalka Pancuronium bromide
Ringerjev laktat 755
Združljivo
Brizgalka Pancuronium bromide 0.1 mg/ml
Brizgalka Hetastarch 60 mg/ml
Posebni topila 1721
Združljivo
Brizgalka Pancuronium bromide 0.05 mg/ml
Brizgalka Isoprenaline hydrochloride 0.004 mg/ml
Glukoza 5% 402
Združljivo
Brizgalka Pancuronium bromide 2 mg/ml
Brizgalka Ketamine hydrochloride 50 mg/ml
2109
Združljivo
Brizgalka Pancuronium bromide 1 mg/ml
Brizgalka Levofloxacine 5 mg/ml
Glukoza 5% 1072
Združljivo
Brizgalka Pancuronium bromide 0.05 mg/ml
Brizgalka Lorazepam 0.5 mg/ml
Glukoza 5% 402
Združljivo
Brizgalka Pancuronium bromide 0.05 mg/ml
Brizgalka Midazolam hydrochloride 0.05 mg/ml
Glukoza 5% 402
Združljivo
Brizgalka Pancuronium bromide 2 mg/ml
Brizgalka Milrinone lactate 0.8 mg/ml
Glukoza 5% 813
Združljivo
Brizgalka Pancuronium bromide 0.05 mg/ml
Brizgalka Morphine sulfate 1 mg/ml
Glukoza 5% 402
Združljivo
Brizgalka Pancuronium bromide 2 mg/ml
Brizgalka Naloxone hydrochloride 0.4 mg/ml
Nobeden 3408
Združljivo
Brizgalka Pancuronium bromide 0.05 mg/ml
Brizgalka Nitroglycerin 0.4 mg/ml
Glukoza 5% 402
Združljivo
Brizgalka Pancuronium bromide 0.05 mg/ml
Brizgalka Nitroprusside sodium 0.2 mg/ml
Glukoza 5% 402
Združljivo
Brizgalka Pancuronium bromide 0.1 mg/ml
Brizgalka Oritavancin 0.8 >>2 mg/ml
Glukoza 5% 3152
Takoj padavine Nezdružljivo
Brizgalka Pancuronium bromide
Brizgalka Pantoprazole sodium
2090
Združljivo
Brizgalka Pancuronium bromide 1 mg/ml
Brizgalka Propofol 10 mg/ml
Nobeden 300
Nestabilnost emulzije po 4 urah Nezdružljivo
Brizgalka Pancuronium bromide 1 mg/ml
Brizgalka Propofol
660
Združljivo
Brizgalka Pancuronium bromide 2 mg/ml
Brizgalka Propofol 2 mg/ml
Nobeden 319
Združljivo
Brizgalka Pancuronium bromide 0.05 mg/ml
Brizgalka Ranitidine hydrochloride 0.5 mg/ml
Glukoza 5% 402
Takoj padavine Nezdružljivo
Brizgalka Pancuronium bromide 2 mg/ml
Brizgalka Salbutamol sulfate 1 mg/ml
Nobeden 3216
Takoj padavine Nezdružljivo
Brizgalka Pancuronium bromide
Brizgalka Thiopental sodium
2079
Takoj padavine Nezdružljivo
Brizgalka Pancuronium bromide 2 mg/ml
Brizgalka Thiopental sodium 25 mg/ml
Natrijev klorid 0,9% 3767
Takoj padavine Nezdružljivo
Brizgalka Pancuronium bromide 2 mg/ml
Brizgalka Thiopental sodium 25 mg/ml
Voda za injekcije 319
Združljivo
Brizgalka Pancuronium bromide 0.008 mg/ml
Brizgalka Verapamil hydrochloride 0.08 mg/ml
Glukoza 5% 1057
Združljivo
Brizgalka Pancuronium bromide
Natrijev klorid 0,9% 755
Nedoločena nezdružljivost Nezdružljivo
Brizgalka Pancuronium bromide
Brizgalka Thiopental sodium
755
Združljivo
Brizgalka Pancuronium bromide 0.05 mg/ml
Brizgalka Vancomycin hydrochloride 5 mg/ml
Glukoza 5% 402
Združljivo
Brizgalka Pancuronium bromide 0.008 mg/ml
Brizgalka Verapamil hydrochloride 0.08 mg/ml
Natrijev klorid 0,9% 1057

  Mentions Légales