Последнее обновление :
27/04/2026
Кураримиметик   Pancuronium bromide  
Инъекция
Стабильность растворов Стабильность смесей Факторы, которые влияют на стабильность Совместимость Способы введения Библиография pdf
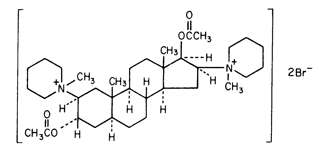
   Химическая структура  

Товарное название   Товарное название     

Trade names are indicative and excipients composition can be different depending on the country and manufacturers

Pancuronium bromide injection Великобритания, Германия, Египет, Иран, Ирландия, Канада, новая Зеландия, Объединенные Арабские Эмираты, Польша, Соединённые Штаты Америки, Франция
Совместимость   Инъекция   Совместимость : Pancuronium bromide              
Эта таблица показывает совместимость или несовместимость препаратов, по возможности тип несовместимости (преципитат, смена цвета, разложение эмульсии и др.). Показанные здесь совместимости в основном физические, по возможности указана и химическая стабильность каждой молекулы. Анализ этих смесей произведён для исследования возможности ввести препараты пациенту в Y-соединении систем. Эти данные нельзя использовать, чтобы приготовить лекарства на будущее в мешках или шприцах. Эта информация доступна в разделе "Стабильность смесей".
Молекула Растворитель Ссылки
совместимый
Инъекция Pancuronium bromide 0.05 mg/ml
Инъекция Aminophylline 1 mg/ml
Глюкоза 5% 402
совместимый
Инъекция Pancuronium bromide 0.05 mg/ml
Инъекция Cefazolin sodium 10 mg/ml
Глюкоза 5% 402
совместимый
Инъекция Pancuronium bromide 0.05 mg/ml
Инъекция Cefuroxime sodium 7.5 mg/ml
Глюкоза 5% 402
совместимый
Инъекция Pancuronium bromide 0.05 mg/ml
Инъекция Cimetidine hydrochloride 6 mg/ml
Глюкоза 5% 402
совместимый
Инъекция Pancuronium bromide 0.2 mg/ml
Инъекция Ciprofloxacin lactate 2 mg/ml
Глюкоза 5% 285
совместимый
Инъекция Pancuronium bromide 0.05 mg/ml
Инъекция Co-trimoxazole 3.2/0.64 mg/ml
Глюкоза 5% 402
совместимый
Инъекция Pancuronium bromide
Инъекция Dexmedetomidine
5042
Немедленные осадки несовместимый
Инъекция Pancuronium bromide 0.05 mg/ml
Инъекция Diazepam 5 mg/ml
Глюкоза 5% 402
совместимый
Инъекция Pancuronium bromide 0.05 mg/ml
Инъекция Dobutamine hydrochloride 1 mg/ml
Глюкоза 5% 402
совместимый
Инъекция Pancuronium bromide 0.05 mg/ml
Инъекция Dopamine hydrochloride 1.6 mg/ml
Глюкоза 5% 402
совместимый
Инъекция Pancuronium bromide 0.05 mg/ml
Инъекция Epinephrine hydrochloride 4 µg/ml
Глюкоза 5% 402
совместимый
Инъекция Pancuronium bromide 0.05 mg/ml
Инъекция Esmolol hydrochloride 10 mg/ml
Глюкоза 5% 402
Немедленная мутность несовместимый
Инъекция Pancuronium bromide
Инъекция Etomidate
5011
совместимый
Инъекция Pancuronium bromide 2 mg/ml
Инъекция Etomidate 2 mg/ml
Нет 319
совместимый
Инъекция Pancuronium bromide 0.1 mg/ml
Инъекция Fenoldopam mesylate 80 µg/ml
Натрия хлорид 0,9% 1803
совместимый
Инъекция Pancuronium bromide 0.05 mg/ml
Инъекция Fentanyl citrate 10 µg/ml
Глюкоза 5% 402
совместимый
Инъекция Pancuronium bromide 0,5 mg/ml
Инъекция Fluconazole 2 mg/ml
Натрия хлорид 0,9% 255
совместимый
Инъекция Pancuronium bromide 0.05 mg/ml
Инъекция Gentamicin sulfate 2 mg/ml
Глюкоза 5% 402
совместимый
Инъекция Pancuronium bromide 0.05 mg/ml
Инъекция Heparin sodium 40 UI/ml
Глюкоза 5% 402
совместимый
Инъекция Pancuronium bromide 0.05 mg/ml
Инъекция Hydrocortisone sodium succinate 1 mg/ml
Глюкоза 5% 402
совместимый
Инъекция Pancuronium bromide
Глюкоза 5% 755
совместимый
Инъекция Pancuronium bromide
Раствор Рингера лактата 755
совместимый
Инъекция Pancuronium bromide 0.1 mg/ml
Инъекция Hetastarch 60 mg/ml
Конкретные растворителя 1721
совместимый
Инъекция Pancuronium bromide 0.05 mg/ml
Инъекция Isoprenaline hydrochloride 0.004 mg/ml
Глюкоза 5% 402
совместимый
Инъекция Pancuronium bromide 2 mg/ml
Инъекция Ketamine hydrochloride 50 mg/ml
2109
совместимый
Инъекция Pancuronium bromide 1 mg/ml
Инъекция Levofloxacine 5 mg/ml
Глюкоза 5% 1072
совместимый
Инъекция Pancuronium bromide 0.05 mg/ml
Инъекция Lorazepam 0.5 mg/ml
Глюкоза 5% 402
совместимый
Инъекция Pancuronium bromide 0.05 mg/ml
Инъекция Midazolam hydrochloride 0.05 mg/ml
Глюкоза 5% 402
совместимый
Инъекция Pancuronium bromide 2 mg/ml
Инъекция Milrinone lactate 0.8 mg/ml
Глюкоза 5% 813
совместимый
Инъекция Pancuronium bromide 0.05 mg/ml
Инъекция Morphine sulfate 1 mg/ml
Глюкоза 5% 402
совместимый
Инъекция Pancuronium bromide 2 mg/ml
Инъекция Naloxone hydrochloride 0.4 mg/ml
Нет 3408
совместимый
Инъекция Pancuronium bromide 0.05 mg/ml
Инъекция Nitroglycerin 0.4 mg/ml
Глюкоза 5% 402
совместимый
Инъекция Pancuronium bromide 0.05 mg/ml
Инъекция Nitroprusside sodium 0.2 mg/ml
Глюкоза 5% 402
совместимый
Инъекция Pancuronium bromide 0.1 mg/ml
Инъекция Oritavancin 0.8 >>2 mg/ml
Глюкоза 5% 3152
Немедленные осадки несовместимый
Инъекция Pancuronium bromide
Инъекция Pantoprazole sodium
2090
совместимый
Инъекция Pancuronium bromide 1 mg/ml
Инъекция Propofol 10 mg/ml
Нет 300
Нестабильность эмульсии через 4 часов. несовместимый
Инъекция Pancuronium bromide 1 mg/ml
Инъекция Propofol
660
совместимый
Инъекция Pancuronium bromide 2 mg/ml
Инъекция Propofol 2 mg/ml
Нет 319
совместимый
Инъекция Pancuronium bromide 0.05 mg/ml
Инъекция Ranitidine hydrochloride 0.5 mg/ml
Глюкоза 5% 402
Немедленные осадки несовместимый
Инъекция Pancuronium bromide 2 mg/ml
Инъекция Salbutamol sulfate 1 mg/ml
Нет 3216
Немедленные осадки несовместимый
Инъекция Pancuronium bromide
Инъекция Thiopental sodium
2079
Немедленные осадки несовместимый
Инъекция Pancuronium bromide 2 mg/ml
Инъекция Thiopental sodium 25 mg/ml
Натрия хлорид 0,9% 3767
Немедленные осадки несовместимый
Инъекция Pancuronium bromide 2 mg/ml
Инъекция Thiopental sodium 25 mg/ml
Вода для инъекций 319
совместимый
Инъекция Pancuronium bromide 0.008 mg/ml
Инъекция Verapamil hydrochloride 0.08 mg/ml
Глюкоза 5% 1057
совместимый
Инъекция Pancuronium bromide
Натрия хлорид 0,9% 755
Неопределенная несовместимость несовместимый
Инъекция Pancuronium bromide
Инъекция Thiopental sodium
755
совместимый
Инъекция Pancuronium bromide 0.05 mg/ml
Инъекция Vancomycin hydrochloride 5 mg/ml
Глюкоза 5% 402
совместимый
Инъекция Pancuronium bromide 0.008 mg/ml
Инъекция Verapamil hydrochloride 0.08 mg/ml
Натрия хлорид 0,9% 1057

  Mentions Légales