Zadnji put ažurirano :
27/04/2026
narkotizirajuće djelovanje pomoću kurarina   Pancuronium bromide  
injekcija
Stabilizacija rješenja Stabilnost mješavine Stabilizacijski faktor Kompatibilnosti način davanja lijeka Bibliografija pdf
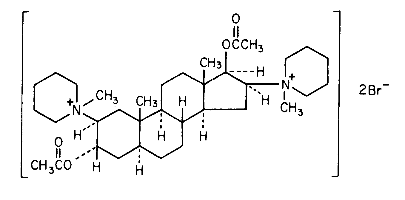
   Kemijska struktura  

Nekomercijalni   Nekomercijalni     

Zaštićeni nazivi su indikativni i sastav ekscipijensa može biti različit ovisno o državi i laboratorijima

Pancuronium bromide injection Egipat, Francuska, Iran, Irska, Kanada, Njemačka, novi Zeland, Poljska, S A D, Ujedinjeni Arapski Emirati, Velika Britanija
Kompatibilnosti   injekcija   Kompatibilnosti : Pancuronium bromide              
Ovdje su prikazane kompatibilnosti ili nekompatibilnosti s tipom nekompatibilnosti (taloženje, promjena boje, modifikacija emulzije itd.) u ovom slučaju. Kompatibilnosti prikazane ovdje najčešće su fizikalne dok se kemijska stabilnost molekule rijetko procjenjuje. Procjena ovih mikstura je proučavana kako bi se razmotrila mogućnost primjene lijeka putem Y-mjesta. Ovi se podaci ne smiju koristiti za pripremu mikstura unaprijed u vrećicama ili štrcaljkama. Ova vrsta informacije se može pronaći u odjeljku « stabilnost u miksturama ».
molekula sredstvo za rastapanje Bibliografija
Kompatibilan
injekcija Pancuronium bromide 0.05 mg/ml
injekcija Aminophylline 1 mg/ml
glukoza 5% 402
Kompatibilan
injekcija Pancuronium bromide 0.05 mg/ml
injekcija Cefazolin sodium 10 mg/ml
glukoza 5% 402
Kompatibilan
injekcija Pancuronium bromide 0.05 mg/ml
injekcija Cefuroxime sodium 7.5 mg/ml
glukoza 5% 402
Kompatibilan
injekcija Pancuronium bromide 0.05 mg/ml
injekcija Cimetidine hydrochloride 6 mg/ml
glukoza 5% 402
Kompatibilan
injekcija Pancuronium bromide 0.2 mg/ml
injekcija Ciprofloxacin lactate 2 mg/ml
glukoza 5% 285
Kompatibilan
injekcija Pancuronium bromide 0.05 mg/ml
injekcija Co-trimoxazole 3.2/0.64 mg/ml
glukoza 5% 402
Kompatibilan
injekcija Pancuronium bromide
injekcija Dexmedetomidine
5042
Neposredne oborine inkompatibilan
injekcija Pancuronium bromide 0.05 mg/ml
injekcija Diazepam 5 mg/ml
glukoza 5% 402
Kompatibilan
injekcija Pancuronium bromide 0.05 mg/ml
injekcija Dobutamine hydrochloride 1 mg/ml
glukoza 5% 402
Kompatibilan
injekcija Pancuronium bromide 0.05 mg/ml
injekcija Dopamine hydrochloride 1.6 mg/ml
glukoza 5% 402
Kompatibilan
injekcija Pancuronium bromide 0.05 mg/ml
injekcija Epinephrine hydrochloride 4 µg/ml
glukoza 5% 402
Kompatibilan
injekcija Pancuronium bromide 0.05 mg/ml
injekcija Esmolol hydrochloride 10 mg/ml
glukoza 5% 402
Neposredna zamućenost inkompatibilan
injekcija Pancuronium bromide
injekcija Etomidate
5011
Kompatibilan
injekcija Pancuronium bromide 2 mg/ml
injekcija Etomidate 2 mg/ml
nijedan 319
Kompatibilan
injekcija Pancuronium bromide 0.1 mg/ml
injekcija Fenoldopam mesylate 80 µg/ml
natrijumkorid 0,9% 1803
Kompatibilan
injekcija Pancuronium bromide 0.05 mg/ml
injekcija Fentanyl citrate 10 µg/ml
glukoza 5% 402
Kompatibilan
injekcija Pancuronium bromide 0,5 mg/ml
injekcija Fluconazole 2 mg/ml
natrijumkorid 0,9% 255
Kompatibilan
injekcija Pancuronium bromide 0.05 mg/ml
injekcija Gentamicin sulfate 2 mg/ml
glukoza 5% 402
Kompatibilan
injekcija Pancuronium bromide 0.05 mg/ml
injekcija Heparin sodium 40 UI/ml
glukoza 5% 402
Kompatibilan
injekcija Pancuronium bromide 0.05 mg/ml
injekcija Hydrocortisone sodium succinate 1 mg/ml
glukoza 5% 402
Kompatibilan
injekcija Pancuronium bromide
glukoza 5% 755
Kompatibilan
injekcija Pancuronium bromide
Ringer laktat 755
Kompatibilan
injekcija Pancuronium bromide 0.1 mg/ml
injekcija Hetastarch 60 mg/ml
Specifična otapala 1721
Kompatibilan
injekcija Pancuronium bromide 0.05 mg/ml
injekcija Isoprenaline hydrochloride 0.004 mg/ml
glukoza 5% 402
Kompatibilan
injekcija Pancuronium bromide 2 mg/ml
injekcija Ketamine hydrochloride 50 mg/ml
2109
Kompatibilan
injekcija Pancuronium bromide 1 mg/ml
injekcija Levofloxacine 5 mg/ml
glukoza 5% 1072
Kompatibilan
injekcija Pancuronium bromide 0.05 mg/ml
injekcija Lorazepam 0.5 mg/ml
glukoza 5% 402
Kompatibilan
injekcija Pancuronium bromide 0.05 mg/ml
injekcija Midazolam hydrochloride 0.05 mg/ml
glukoza 5% 402
Kompatibilan
injekcija Pancuronium bromide 2 mg/ml
injekcija Milrinone lactate 0.8 mg/ml
glukoza 5% 813
Kompatibilan
injekcija Pancuronium bromide 0.05 mg/ml
injekcija Morphine sulfate 1 mg/ml
glukoza 5% 402
Kompatibilan
injekcija Pancuronium bromide 2 mg/ml
injekcija Naloxone hydrochloride 0.4 mg/ml
nijedan 3408
Kompatibilan
injekcija Pancuronium bromide 0.05 mg/ml
injekcija Nitroglycerin 0.4 mg/ml
glukoza 5% 402
Kompatibilan
injekcija Pancuronium bromide 0.05 mg/ml
injekcija Nitroprusside sodium 0.2 mg/ml
glukoza 5% 402
Kompatibilan
injekcija Pancuronium bromide 0.1 mg/ml
injekcija Oritavancin 0.8 >>2 mg/ml
glukoza 5% 3152
Neposredne oborine inkompatibilan
injekcija Pancuronium bromide
injekcija Pantoprazole sodium
2090
Kompatibilan
injekcija Pancuronium bromide 1 mg/ml
injekcija Propofol 10 mg/ml
nijedan 300
Nestabilnost emulzije nakon 4 sati inkompatibilan
injekcija Pancuronium bromide 1 mg/ml
injekcija Propofol
660
Kompatibilan
injekcija Pancuronium bromide 2 mg/ml
injekcija Propofol 2 mg/ml
nijedan 319
Kompatibilan
injekcija Pancuronium bromide 0.05 mg/ml
injekcija Ranitidine hydrochloride 0.5 mg/ml
glukoza 5% 402
Neposredne oborine inkompatibilan
injekcija Pancuronium bromide 2 mg/ml
injekcija Salbutamol sulfate 1 mg/ml
nijedan 3216
Neposredne oborine inkompatibilan
injekcija Pancuronium bromide
injekcija Thiopental sodium
2079
Neposredne oborine inkompatibilan
injekcija Pancuronium bromide 2 mg/ml
injekcija Thiopental sodium 25 mg/ml
natrijumkorid 0,9% 3767
Neposredne oborine inkompatibilan
injekcija Pancuronium bromide 2 mg/ml
injekcija Thiopental sodium 25 mg/ml
čista voda za injektiranje 319
Kompatibilan
injekcija Pancuronium bromide 0.008 mg/ml
injekcija Verapamil hydrochloride 0.08 mg/ml
glukoza 5% 1057
Kompatibilan
injekcija Pancuronium bromide
natrijumkorid 0,9% 755
Neodređena nespojivost inkompatibilan
injekcija Pancuronium bromide
injekcija Thiopental sodium
755
Kompatibilan
injekcija Pancuronium bromide 0.05 mg/ml
injekcija Vancomycin hydrochloride 5 mg/ml
glukoza 5% 402
Kompatibilan
injekcija Pancuronium bromide 0.008 mg/ml
injekcija Verapamil hydrochloride 0.08 mg/ml
natrijumkorid 0,9% 1057

  Mentions Légales