viimane versioon :
27/04/2026
Kuraare-taoline  ravim   Pancuronium bromide  
Süsteravim
Stabiilsus lahustes Stabiilsust mõjutavad tegurid stabiilsust mõjutavad faktorid Sobimatus Manustamis viis Viited pdf
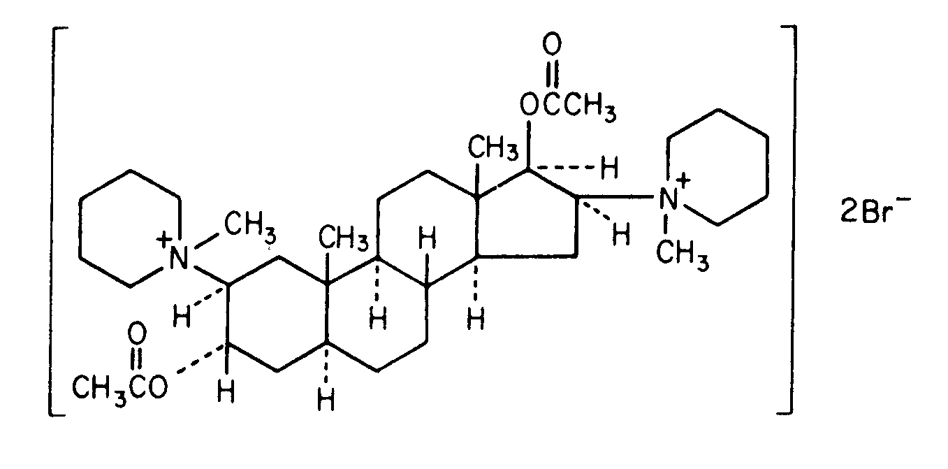
   keemiline struktuur  

Kaubanduslikud nimed erinevates maades   Kaubanduslikud nimed erinevates maades     

Preparaatide nimed on näitlikud ja abianete sisaldus võib erineda sõltuvalt riigist ja laborist

Pancuronium bromide injection Ameerika ühendriigid, Araabia Ühendemiraadid, Egiptus, Iirimaa, Iraan, Kanada, Poola, Prantsusmaa, Saksamaa, Suurbritannia, uus-Meremaa
Sobimatus   Süsteravim   Sobimatus : Pancuronium bromide              
Sellel lehel kuvatakse sobimatusi ja sobimatuse tüüpi (sadenemine, värvuse muutus, emulsiooni modifitseerumine jne). Enamasti on siin lehel kuvatud füüsikalised sobimatused, kuna molekulide keemilist stabiilsust hinnatakse harva. Hinnatud on segude sobivust Y-liinis. Antud infot ei saa kasutada ravimite sobivuse hindamiseks juhul, kui ravimid on segatud süstaldes või infusioonikottides. See info on lehel « stabiilsus segudes ».
ingredient lahusti Viited
Ühilduv
Süsteravim Pancuronium bromide 0.05 mg/ml
Süsteravim Aminophylline 1 mg/ml
glükoos 5% 402
Ühilduv
Süsteravim Pancuronium bromide 0.05 mg/ml
Süsteravim Cefazolin sodium 10 mg/ml
glükoos 5% 402
Ühilduv
Süsteravim Pancuronium bromide 0.05 mg/ml
Süsteravim Cefuroxime sodium 7.5 mg/ml
glükoos 5% 402
Ühilduv
Süsteravim Pancuronium bromide 0.05 mg/ml
Süsteravim Cimetidine hydrochloride 6 mg/ml
glükoos 5% 402
Ühilduv
Süsteravim Pancuronium bromide 0.2 mg/ml
Süsteravim Ciprofloxacin lactate 2 mg/ml
glükoos 5% 285
Ühilduv
Süsteravim Pancuronium bromide 0.05 mg/ml
Süsteravim Co-trimoxazole 3.2/0.64 mg/ml
glükoos 5% 402
Ühilduv
Süsteravim Pancuronium bromide
Süsteravim Dexmedetomidine
5042
Kohene sade Sobimatu
Süsteravim Pancuronium bromide 0.05 mg/ml
Süsteravim Diazepam 5 mg/ml
glükoos 5% 402
Ühilduv
Süsteravim Pancuronium bromide 0.05 mg/ml
Süsteravim Dobutamine hydrochloride 1 mg/ml
glükoos 5% 402
Ühilduv
Süsteravim Pancuronium bromide 0.05 mg/ml
Süsteravim Dopamine hydrochloride 1.6 mg/ml
glükoos 5% 402
Ühilduv
Süsteravim Pancuronium bromide 0.05 mg/ml
Süsteravim Epinephrine hydrochloride 4 µg/ml
glükoos 5% 402
Ühilduv
Süsteravim Pancuronium bromide 0.05 mg/ml
Süsteravim Esmolol hydrochloride 10 mg/ml
glükoos 5% 402
Kohene hägusus Sobimatu
Süsteravim Pancuronium bromide
Süsteravim Etomidate
5011
Ühilduv
Süsteravim Pancuronium bromide 2 mg/ml
Süsteravim Etomidate 2 mg/ml
mitte ükski 319
Ühilduv
Süsteravim Pancuronium bromide 0.1 mg/ml
Süsteravim Fenoldopam mesylate 80 µg/ml
naatriumkloriid 0.9% 1803
Ühilduv
Süsteravim Pancuronium bromide 0.05 mg/ml
Süsteravim Fentanyl citrate 10 µg/ml
glükoos 5% 402
Ühilduv
Süsteravim Pancuronium bromide 0,5 mg/ml
Süsteravim Fluconazole 2 mg/ml
naatriumkloriid 0.9% 255
Ühilduv
Süsteravim Pancuronium bromide 0.05 mg/ml
Süsteravim Gentamicin sulfate 2 mg/ml
glükoos 5% 402
Ühilduv
Süsteravim Pancuronium bromide 0.05 mg/ml
Süsteravim Heparin sodium 40 UI/ml
glükoos 5% 402
Ühilduv
Süsteravim Pancuronium bromide 0.05 mg/ml
Süsteravim Hydrocortisone sodium succinate 1 mg/ml
glükoos 5% 402
Ühilduv
Süsteravim Pancuronium bromide
glükoos 5% 755
Ühilduv
Süsteravim Pancuronium bromide
Ringer laktaat 755
Ühilduv
Süsteravim Pancuronium bromide 0.1 mg/ml
Süsteravim Hetastarch 60 mg/ml
konkreetsed lahusti 1721
Ühilduv
Süsteravim Pancuronium bromide 0.05 mg/ml
Süsteravim Isoprenaline hydrochloride 0.004 mg/ml
glükoos 5% 402
Ühilduv
Süsteravim Pancuronium bromide 2 mg/ml
Süsteravim Ketamine hydrochloride 50 mg/ml
2109
Ühilduv
Süsteravim Pancuronium bromide 1 mg/ml
Süsteravim Levofloxacine 5 mg/ml
glükoos 5% 1072
Ühilduv
Süsteravim Pancuronium bromide 0.05 mg/ml
Süsteravim Lorazepam 0.5 mg/ml
glükoos 5% 402
Ühilduv
Süsteravim Pancuronium bromide 0.05 mg/ml
Süsteravim Midazolam hydrochloride 0.05 mg/ml
glükoos 5% 402
Ühilduv
Süsteravim Pancuronium bromide 2 mg/ml
Süsteravim Milrinone lactate 0.8 mg/ml
glükoos 5% 813
Ühilduv
Süsteravim Pancuronium bromide 0.05 mg/ml
Süsteravim Morphine sulfate 1 mg/ml
glükoos 5% 402
Ühilduv
Süsteravim Pancuronium bromide 2 mg/ml
Süsteravim Naloxone hydrochloride 0.4 mg/ml
mitte ükski 3408
Ühilduv
Süsteravim Pancuronium bromide 0.05 mg/ml
Süsteravim Nitroglycerin 0.4 mg/ml
glükoos 5% 402
Ühilduv
Süsteravim Pancuronium bromide 0.05 mg/ml
Süsteravim Nitroprusside sodium 0.2 mg/ml
glükoos 5% 402
Ühilduv
Süsteravim Pancuronium bromide 0.1 mg/ml
Süsteravim Oritavancin 0.8 >>2 mg/ml
glükoos 5% 3152
Kohene sade Sobimatu
Süsteravim Pancuronium bromide
Süsteravim Pantoprazole sodium
2090
Ühilduv
Süsteravim Pancuronium bromide 1 mg/ml
Süsteravim Propofol 10 mg/ml
mitte ükski 300
Emulsiooni ebastabiilsus 4 tunni pärast Sobimatu
Süsteravim Pancuronium bromide 1 mg/ml
Süsteravim Propofol
660
Ühilduv
Süsteravim Pancuronium bromide 2 mg/ml
Süsteravim Propofol 2 mg/ml
mitte ükski 319
Ühilduv
Süsteravim Pancuronium bromide 0.05 mg/ml
Süsteravim Ranitidine hydrochloride 0.5 mg/ml
glükoos 5% 402
Kohene sade Sobimatu
Süsteravim Pancuronium bromide 2 mg/ml
Süsteravim Salbutamol sulfate 1 mg/ml
mitte ükski 3216
Kohene sade Sobimatu
Süsteravim Pancuronium bromide
Süsteravim Thiopental sodium
2079
Kohene sade Sobimatu
Süsteravim Pancuronium bromide 2 mg/ml
Süsteravim Thiopental sodium 25 mg/ml
naatriumkloriid 0.9% 3767
Kohene sade Sobimatu
Süsteravim Pancuronium bromide 2 mg/ml
Süsteravim Thiopental sodium 25 mg/ml
süstevesi 319
Ühilduv
Süsteravim Pancuronium bromide 0.008 mg/ml
Süsteravim Verapamil hydrochloride 0.08 mg/ml
glükoos 5% 1057
Ühilduv
Süsteravim Pancuronium bromide
naatriumkloriid 0.9% 755
Täpsustamata sobimatus Sobimatu
Süsteravim Pancuronium bromide
Süsteravim Thiopental sodium
755
Ühilduv
Süsteravim Pancuronium bromide 0.05 mg/ml
Süsteravim Vancomycin hydrochloride 5 mg/ml
glükoos 5% 402
Ühilduv
Süsteravim Pancuronium bromide 0.008 mg/ml
Süsteravim Verapamil hydrochloride 0.08 mg/ml
naatriumkloriid 0.9% 1057

  Mentions Légales