Siste oppdatering :
27/04/2026
Kurarelignende middel   Pancuronium bromide  
Injeksjon
Oppløsningsstabilitet Stabilitet i blandinger Faktorer som påvirker stabiliteten Kompatibilitet Administrasjonsmåte Referanser pdf
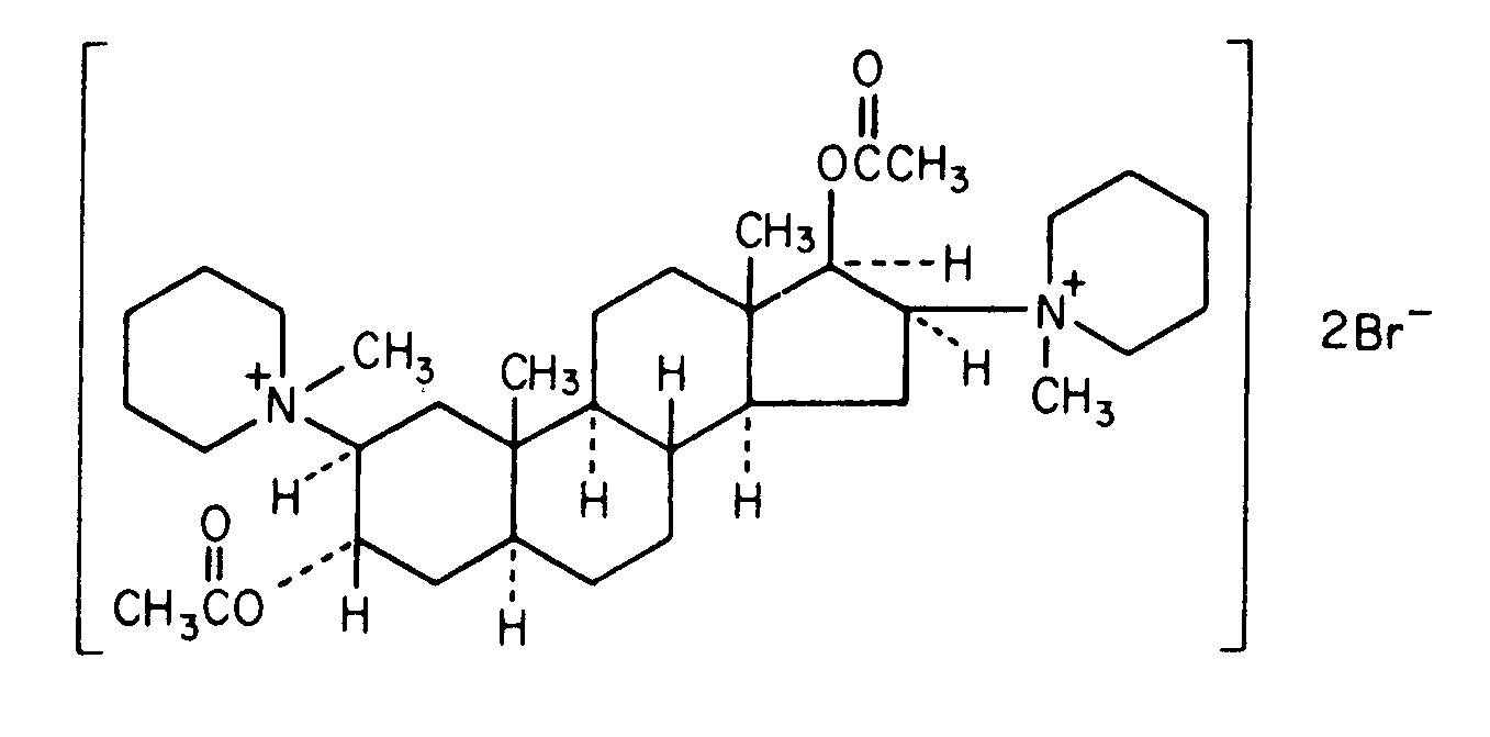
   Kjemisk struktur  

Handelsnavn   Handelsnavn     

Handelsnavn er veiledende og sammensetning av hjelpestoffer kan være forskjellig avhengig av land og produsent

Pancuronium bromide injection Canada, De forente arabiske emirater, Egypt, Frankrike, Iran, Irland, New Zealand, Polen, Storbritannia, Tyskland, USA
Kompatibilitet   Injeksjon   Kompatibilitet : Pancuronium bromide              
Dette skjermbildet viser kompatibilitet eller inkompatibilitet med, i dette tilfellet, typen inkompatibilitet (nedbør, fargeendring, modifisering av en emulsjon, etc.). Kompatibilitetene som er vist her, er for det meste bare fysiske, og den kjemiske stabiliteten til hvert molekyl blir sjelden vurdert. Evalueringen av disse blandingene ble studert for å vurdere muligheten for Y-stedadministrasjon til pasienten. Disse dataene kan ikke brukes til å lage blandinger på forhånd i poser eller sprøyter. Denne typen informasjon er tilgjengelig på skjermen "Stabilitet i blanding".
Legemiddel Oppløsningsmiddel Referanser
Kompatibel
Injeksjon Pancuronium bromide 0.05 mg/ml
Injeksjon Aminophylline 1 mg/ml
Glukose 5 % 402
Kompatibel
Injeksjon Pancuronium bromide 0.05 mg/ml
Injeksjon Cefazolin sodium 10 mg/ml
Glukose 5 % 402
Kompatibel
Injeksjon Pancuronium bromide 0.05 mg/ml
Injeksjon Cefuroxime sodium 7.5 mg/ml
Glukose 5 % 402
Kompatibel
Injeksjon Pancuronium bromide 0.05 mg/ml
Injeksjon Cimetidine hydrochloride 6 mg/ml
Glukose 5 % 402
Kompatibel
Injeksjon Pancuronium bromide 0.2 mg/ml
Injeksjon Ciprofloxacin lactate 2 mg/ml
Glukose 5 % 285
Kompatibel
Injeksjon Pancuronium bromide 0.05 mg/ml
Injeksjon Co-trimoxazole 3.2/0.64 mg/ml
Glukose 5 % 402
Kompatibel
Injeksjon Pancuronium bromide
Injeksjon Dexmedetomidine
5042
Umiddelbar nedbør Uforenlig
Injeksjon Pancuronium bromide 0.05 mg/ml
Injeksjon Diazepam 5 mg/ml
Glukose 5 % 402
Kompatibel
Injeksjon Pancuronium bromide 0.05 mg/ml
Injeksjon Dobutamine hydrochloride 1 mg/ml
Glukose 5 % 402
Kompatibel
Injeksjon Pancuronium bromide 0.05 mg/ml
Injeksjon Dopamine hydrochloride 1.6 mg/ml
Glukose 5 % 402
Kompatibel
Injeksjon Pancuronium bromide 0.05 mg/ml
Injeksjon Epinephrine hydrochloride 4 µg/ml
Glukose 5 % 402
Kompatibel
Injeksjon Pancuronium bromide 0.05 mg/ml
Injeksjon Esmolol hydrochloride 10 mg/ml
Glukose 5 % 402
Umiddelbar turbiditet Uforenlig
Injeksjon Pancuronium bromide
Injeksjon Etomidate
5011
Kompatibel
Injeksjon Pancuronium bromide 2 mg/ml
Injeksjon Etomidate 2 mg/ml
Ingen 319
Kompatibel
Injeksjon Pancuronium bromide 0.1 mg/ml
Injeksjon Fenoldopam mesylate 80 µg/ml
Natriumklorid 0,9 % 1803
Kompatibel
Injeksjon Pancuronium bromide 0.05 mg/ml
Injeksjon Fentanyl citrate 10 µg/ml
Glukose 5 % 402
Kompatibel
Injeksjon Pancuronium bromide 0,5 mg/ml
Injeksjon Fluconazole 2 mg/ml
Natriumklorid 0,9 % 255
Kompatibel
Injeksjon Pancuronium bromide 0.05 mg/ml
Injeksjon Gentamicin sulfate 2 mg/ml
Glukose 5 % 402
Kompatibel
Injeksjon Pancuronium bromide 0.05 mg/ml
Injeksjon Heparin sodium 40 UI/ml
Glukose 5 % 402
Kompatibel
Injeksjon Pancuronium bromide 0.05 mg/ml
Injeksjon Hydrocortisone sodium succinate 1 mg/ml
Glukose 5 % 402
Kompatibel
Injeksjon Pancuronium bromide
Glukose 5 % 755
Kompatibel
Injeksjon Pancuronium bromide
Ringers laktatoppløsning 755
Kompatibel
Injeksjon Pancuronium bromide 0.1 mg/ml
Injeksjon Hetastarch 60 mg/ml
spesifikk løsemiddel 1721
Kompatibel
Injeksjon Pancuronium bromide 0.05 mg/ml
Injeksjon Isoprenaline hydrochloride 0.004 mg/ml
Glukose 5 % 402
Kompatibel
Injeksjon Pancuronium bromide 2 mg/ml
Injeksjon Ketamine hydrochloride 50 mg/ml
2109
Kompatibel
Injeksjon Pancuronium bromide 1 mg/ml
Injeksjon Levofloxacine 5 mg/ml
Glukose 5 % 1072
Kompatibel
Injeksjon Pancuronium bromide 0.05 mg/ml
Injeksjon Lorazepam 0.5 mg/ml
Glukose 5 % 402
Kompatibel
Injeksjon Pancuronium bromide 0.05 mg/ml
Injeksjon Midazolam hydrochloride 0.05 mg/ml
Glukose 5 % 402
Kompatibel
Injeksjon Pancuronium bromide 2 mg/ml
Injeksjon Milrinone lactate 0.8 mg/ml
Glukose 5 % 813
Kompatibel
Injeksjon Pancuronium bromide 0.05 mg/ml
Injeksjon Morphine sulfate 1 mg/ml
Glukose 5 % 402
Kompatibel
Injeksjon Pancuronium bromide 2 mg/ml
Injeksjon Naloxone hydrochloride 0.4 mg/ml
Ingen 3408
Kompatibel
Injeksjon Pancuronium bromide 0.05 mg/ml
Injeksjon Nitroglycerin 0.4 mg/ml
Glukose 5 % 402
Kompatibel
Injeksjon Pancuronium bromide 0.05 mg/ml
Injeksjon Nitroprusside sodium 0.2 mg/ml
Glukose 5 % 402
Kompatibel
Injeksjon Pancuronium bromide 0.1 mg/ml
Injeksjon Oritavancin 0.8 >>2 mg/ml
Glukose 5 % 3152
Umiddelbar nedbør Uforenlig
Injeksjon Pancuronium bromide
Injeksjon Pantoprazole sodium
2090
Kompatibel
Injeksjon Pancuronium bromide 1 mg/ml
Injeksjon Propofol 10 mg/ml
Ingen 300
Ustabilitet av emulsjonen etter 4 timer Uforenlig
Injeksjon Pancuronium bromide 1 mg/ml
Injeksjon Propofol
660
Kompatibel
Injeksjon Pancuronium bromide 2 mg/ml
Injeksjon Propofol 2 mg/ml
Ingen 319
Kompatibel
Injeksjon Pancuronium bromide 0.05 mg/ml
Injeksjon Ranitidine hydrochloride 0.5 mg/ml
Glukose 5 % 402
Umiddelbar nedbør Uforenlig
Injeksjon Pancuronium bromide 2 mg/ml
Injeksjon Salbutamol sulfate 1 mg/ml
Ingen 3216
Umiddelbar nedbør Uforenlig
Injeksjon Pancuronium bromide
Injeksjon Thiopental sodium
2079
Umiddelbar nedbør Uforenlig
Injeksjon Pancuronium bromide 2 mg/ml
Injeksjon Thiopental sodium 25 mg/ml
Natriumklorid 0,9 % 3767
Umiddelbar nedbør Uforenlig
Injeksjon Pancuronium bromide 2 mg/ml
Injeksjon Thiopental sodium 25 mg/ml
Vann til injeksjon 319
Kompatibel
Injeksjon Pancuronium bromide 0.008 mg/ml
Injeksjon Verapamil hydrochloride 0.08 mg/ml
Glukose 5 % 1057
Kompatibel
Injeksjon Pancuronium bromide
Natriumklorid 0,9 % 755
Uspesifisert inkompatibilitet Uforenlig
Injeksjon Pancuronium bromide
Injeksjon Thiopental sodium
755
Kompatibel
Injeksjon Pancuronium bromide 0.05 mg/ml
Injeksjon Vancomycin hydrochloride 5 mg/ml
Glukose 5 % 402
Kompatibel
Injeksjon Pancuronium bromide 0.008 mg/ml
Injeksjon Verapamil hydrochloride 0.08 mg/ml
Natriumklorid 0,9 % 1057

  Mentions Légales