Ultimo aggiornamento :
27/04/2026
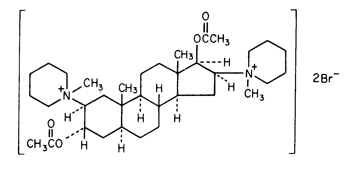
Curarizzante   Pancuronium bromide  
Iniezione
Stabilità in soluzione Stabilità in miscela Fattori che influenzano la stabilità Compatibilità metodo di iniezione Bibliografia pdf
   Struttura chimica  

Nome commerciale   Nome commerciale     

Trade names are indicative and excipients composition can be different depending on the country and manufacturers

Pancuronium bromide injection Canada, Egitto, Emirati Arabi Uniti, Francia, Germania, Gran Bretagna, Iran, Irlanda, nuova Zelanda, Polonia, Stati Uniti d’America
Compatibilità   Iniezione   Compatibilità : Pancuronium bromide              
explication_incompatibilite_molecules
Molecola Solvente Bibliografia
Compatibile
Iniezione Pancuronium bromide 0.05 mg/ml
Iniezione Aminophylline 1 mg/ml
Glucosio 5% 402
Compatibile
Iniezione Pancuronium bromide 0.05 mg/ml
Iniezione Cefazolin sodium 10 mg/ml
Glucosio 5% 402
Compatibile
Iniezione Pancuronium bromide 0.05 mg/ml
Iniezione Cefuroxime sodium 7.5 mg/ml
Glucosio 5% 402
Compatibile
Iniezione Pancuronium bromide 0.05 mg/ml
Iniezione Cimetidine hydrochloride 6 mg/ml
Glucosio 5% 402
Compatibile
Iniezione Pancuronium bromide 0.2 mg/ml
Iniezione Ciprofloxacin lactate 2 mg/ml
Glucosio 5% 285
Compatibile
Iniezione Pancuronium bromide 0.05 mg/ml
Iniezione Co-trimoxazole 3.2/0.64 mg/ml
Glucosio 5% 402
Compatibile
Iniezione Pancuronium bromide
Iniezione Dexmedetomidine
5042
Precipitazioni immediate Incompatibile
Iniezione Pancuronium bromide 0.05 mg/ml
Iniezione Diazepam 5 mg/ml
Glucosio 5% 402
Compatibile
Iniezione Pancuronium bromide 0.05 mg/ml
Iniezione Dobutamine hydrochloride 1 mg/ml
Glucosio 5% 402
Compatibile
Iniezione Pancuronium bromide 0.05 mg/ml
Iniezione Dopamine hydrochloride 1.6 mg/ml
Glucosio 5% 402
Compatibile
Iniezione Pancuronium bromide 0.05 mg/ml
Iniezione Epinephrine hydrochloride 4 µg/ml
Glucosio 5% 402
Compatibile
Iniezione Pancuronium bromide 0.05 mg/ml
Iniezione Esmolol hydrochloride 10 mg/ml
Glucosio 5% 402
Torbidità immediata Incompatibile
Iniezione Pancuronium bromide
Iniezione Etomidate
5011
Compatibile
Iniezione Pancuronium bromide 2 mg/ml
Iniezione Etomidate 2 mg/ml
Nessuno 319
Compatibile
Iniezione Pancuronium bromide 0.1 mg/ml
Iniezione Fenoldopam mesylate 80 µg/ml
Cloruro di sodio 0,9% 1803
Compatibile
Iniezione Pancuronium bromide 0.05 mg/ml
Iniezione Fentanyl citrate 10 µg/ml
Glucosio 5% 402
Compatibile
Iniezione Pancuronium bromide 0,5 mg/ml
Iniezione Fluconazole 2 mg/ml
Cloruro di sodio 0,9% 255
Compatibile
Iniezione Pancuronium bromide 0.05 mg/ml
Iniezione Gentamicin sulfate 2 mg/ml
Glucosio 5% 402
Compatibile
Iniezione Pancuronium bromide 0.05 mg/ml
Iniezione Heparin sodium 40 UI/ml
Glucosio 5% 402
Compatibile
Iniezione Pancuronium bromide 0.05 mg/ml
Iniezione Hydrocortisone sodium succinate 1 mg/ml
Glucosio 5% 402
Compatibile
Iniezione Pancuronium bromide
Glucosio 5% 755
Compatibile
Iniezione Pancuronium bromide
Ringer lattato 755
Compatibile
Iniezione Pancuronium bromide 0.1 mg/ml
Iniezione Hetastarch 60 mg/ml
solvente specifico 1721
Compatibile
Iniezione Pancuronium bromide 0.05 mg/ml
Iniezione Isoprenaline hydrochloride 0.004 mg/ml
Glucosio 5% 402
Compatibile
Iniezione Pancuronium bromide 2 mg/ml
Iniezione Ketamine hydrochloride 50 mg/ml
2109
Compatibile
Iniezione Pancuronium bromide 1 mg/ml
Iniezione Levofloxacine 5 mg/ml
Glucosio 5% 1072
Compatibile
Iniezione Pancuronium bromide 0.05 mg/ml
Iniezione Lorazepam 0.5 mg/ml
Glucosio 5% 402
Compatibile
Iniezione Pancuronium bromide 0.05 mg/ml
Iniezione Midazolam hydrochloride 0.05 mg/ml
Glucosio 5% 402
Compatibile
Iniezione Pancuronium bromide 2 mg/ml
Iniezione Milrinone lactate 0.8 mg/ml
Glucosio 5% 813
Compatibile
Iniezione Pancuronium bromide 0.05 mg/ml
Iniezione Morphine sulfate 1 mg/ml
Glucosio 5% 402
Compatibile
Iniezione Pancuronium bromide 2 mg/ml
Iniezione Naloxone hydrochloride 0.4 mg/ml
Nessuno 3408
Compatibile
Iniezione Pancuronium bromide 0.05 mg/ml
Iniezione Nitroglycerin 0.4 mg/ml
Glucosio 5% 402
Compatibile
Iniezione Pancuronium bromide 0.05 mg/ml
Iniezione Nitroprusside sodium 0.2 mg/ml
Glucosio 5% 402
Compatibile
Iniezione Pancuronium bromide 0.1 mg/ml
Iniezione Oritavancin 0.8 >>2 mg/ml
Glucosio 5% 3152
Precipitazioni immediate Incompatibile
Iniezione Pancuronium bromide
Iniezione Pantoprazole sodium
2090
Compatibile
Iniezione Pancuronium bromide 1 mg/ml
Iniezione Propofol 10 mg/ml
Nessuno 300
Instabilità dell'emulsione dopo 4 ore Incompatibile
Iniezione Pancuronium bromide 1 mg/ml
Iniezione Propofol
660
Compatibile
Iniezione Pancuronium bromide 2 mg/ml
Iniezione Propofol 2 mg/ml
Nessuno 319
Compatibile
Iniezione Pancuronium bromide 0.05 mg/ml
Iniezione Ranitidine hydrochloride 0.5 mg/ml
Glucosio 5% 402
Precipitazioni immediate Incompatibile
Iniezione Pancuronium bromide 2 mg/ml
Iniezione Salbutamol sulfate 1 mg/ml
Nessuno 3216
Precipitazioni immediate Incompatibile
Iniezione Pancuronium bromide
Iniezione Thiopental sodium
2079
Precipitazioni immediate Incompatibile
Iniezione Pancuronium bromide 2 mg/ml
Iniezione Thiopental sodium 25 mg/ml
Cloruro di sodio 0,9% 3767
Precipitazioni immediate Incompatibile
Iniezione Pancuronium bromide 2 mg/ml
Iniezione Thiopental sodium 25 mg/ml
Acqua per preparato iniettabile 319
Compatibile
Iniezione Pancuronium bromide 0.008 mg/ml
Iniezione Verapamil hydrochloride 0.08 mg/ml
Glucosio 5% 1057
Compatibile
Iniezione Pancuronium bromide
Cloruro di sodio 0,9% 755
Incompatibilità non specificata Incompatibile
Iniezione Pancuronium bromide
Iniezione Thiopental sodium
755
Compatibile
Iniezione Pancuronium bromide 0.05 mg/ml
Iniezione Vancomycin hydrochloride 5 mg/ml
Glucosio 5% 402
Compatibile
Iniezione Pancuronium bromide 0.008 mg/ml
Iniezione Verapamil hydrochloride 0.08 mg/ml
Cloruro di sodio 0,9% 1057

  Mentions Légales