آخر تحديث :
27/04/2026
 أدوية علاجيه   Pancuronium bromide  
حقن
الاستقرار في حلول استقرار مخاليط العوامل التي تؤثر على الاستقرار التوافق طريقة التعاطي مراجع pdf
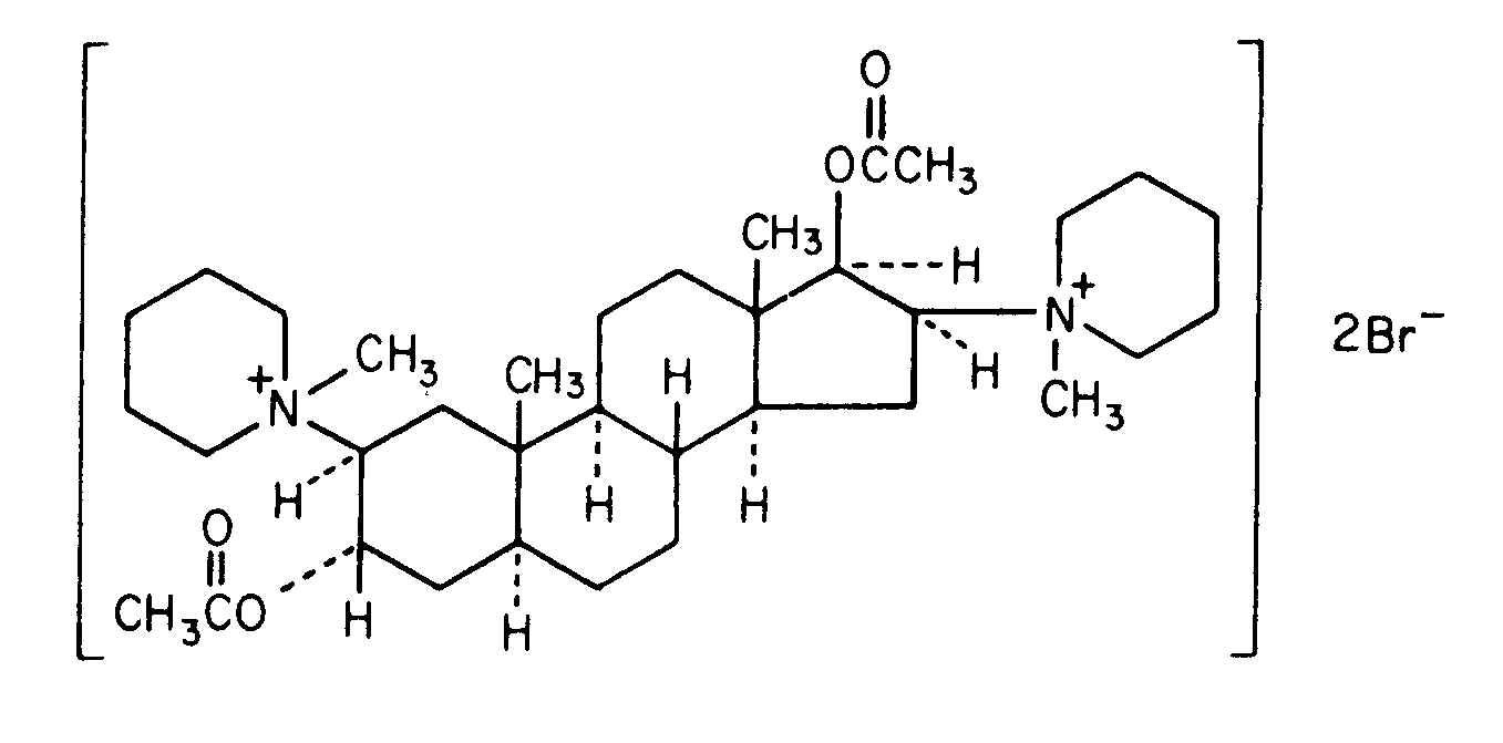
   التركيب الكيميائي  

حجز الاسم التجاري   حجز الاسم التجاري     

تحذير الأسماء التجاريه المختلفه قد تحتوي علي محتوي إضافات مختلفة حسب الدوله و المعمل

Pancuronium bromide injection ألمانيا, إيران, الإمارات العربية المتحدة, الولايات المتحدة, ايرلندا, بريطانيا العظمي, بولندا, زيلاندا الجديدة, فرنسا, كندا, مصر
التوافق   حقن   التوافق : Pancuronium bromide              
This screen indicates the compatibilities or incompatibilities with, in this case, the type of incompatibility (precipitation, color change, modification of an emulsion, etc.). The compatibilities shown here are mostly physical only, with the chemical stability of each molecule rarely being assessed. The evaluation of these mixtures was studied to consider the possibility of Y-site administration to the patient. These data cannot be used for making mixtures in advance in bags or syringes. This type of information is available in the screen "Stability in mixture ».
مركب مذيب مراجع
kompatibel
حقن Pancuronium bromide 0.05 mg/ml
حقن Aminophylline 1 mg/ml
الجلوكوز %5 402
kompatibel
حقن Pancuronium bromide 0.05 mg/ml
حقن Cefazolin sodium 10 mg/ml
الجلوكوز %5 402
kompatibel
حقن Pancuronium bromide 0.05 mg/ml
حقن Cefuroxime sodium 7.5 mg/ml
الجلوكوز %5 402
kompatibel
حقن Pancuronium bromide 0.05 mg/ml
حقن Cimetidine hydrochloride 6 mg/ml
الجلوكوز %5 402
kompatibel
حقن Pancuronium bromide 0.2 mg/ml
حقن Ciprofloxacin lactate 2 mg/ml
الجلوكوز %5 285
kompatibel
حقن Pancuronium bromide 0.05 mg/ml
حقن Co-trimoxazole 3.2/0.64 mg/ml
الجلوكوز %5 402
kompatibel
حقن Pancuronium bromide
حقن Dexmedetomidine
5042
هطول فوري غير متوافق
حقن Pancuronium bromide 0.05 mg/ml
حقن Diazepam 5 mg/ml
الجلوكوز %5 402
kompatibel
حقن Pancuronium bromide 0.05 mg/ml
حقن Dobutamine hydrochloride 1 mg/ml
الجلوكوز %5 402
kompatibel
حقن Pancuronium bromide 0.05 mg/ml
حقن Dopamine hydrochloride 1.6 mg/ml
الجلوكوز %5 402
kompatibel
حقن Pancuronium bromide 0.05 mg/ml
حقن Epinephrine hydrochloride 4 µg/ml
الجلوكوز %5 402
kompatibel
حقن Pancuronium bromide 0.05 mg/ml
حقن Esmolol hydrochloride 10 mg/ml
الجلوكوز %5 402
التعكر الفوري غير متوافق
حقن Pancuronium bromide
حقن Etomidate
5011
kompatibel
حقن Pancuronium bromide 2 mg/ml
حقن Etomidate 2 mg/ml
لا شيء 319
kompatibel
حقن Pancuronium bromide 0.1 mg/ml
حقن Fenoldopam mesylate 80 µg/ml
كلوريد الصوديوم 0.9% 1803
kompatibel
حقن Pancuronium bromide 0.05 mg/ml
حقن Fentanyl citrate 10 µg/ml
الجلوكوز %5 402
kompatibel
حقن Pancuronium bromide 0,5 mg/ml
حقن Fluconazole 2 mg/ml
كلوريد الصوديوم 0.9% 255
kompatibel
حقن Pancuronium bromide 0.05 mg/ml
حقن Gentamicin sulfate 2 mg/ml
الجلوكوز %5 402
kompatibel
حقن Pancuronium bromide 0.05 mg/ml
حقن Heparin sodium 40 UI/ml
الجلوكوز %5 402
kompatibel
حقن Pancuronium bromide 0.05 mg/ml
حقن Hydrocortisone sodium succinate 1 mg/ml
الجلوكوز %5 402
kompatibel
حقن Pancuronium bromide
الجلوكوز %5 755
kompatibel
حقن Pancuronium bromide
محلول رينجر  اللاكتات 755
kompatibel
حقن Pancuronium bromide 0.1 mg/ml
حقن Hetastarch 60 mg/ml
مذيب معين 1721
kompatibel
حقن Pancuronium bromide 0.05 mg/ml
حقن Isoprenaline hydrochloride 0.004 mg/ml
الجلوكوز %5 402
kompatibel
حقن Pancuronium bromide 2 mg/ml
حقن Ketamine hydrochloride 50 mg/ml
2109
kompatibel
حقن Pancuronium bromide 1 mg/ml
حقن Levofloxacine 5 mg/ml
الجلوكوز %5 1072
kompatibel
حقن Pancuronium bromide 0.05 mg/ml
حقن Lorazepam 0.5 mg/ml
الجلوكوز %5 402
kompatibel
حقن Pancuronium bromide 0.05 mg/ml
حقن Midazolam hydrochloride 0.05 mg/ml
الجلوكوز %5 402
kompatibel
حقن Pancuronium bromide 2 mg/ml
حقن Milrinone lactate 0.8 mg/ml
الجلوكوز %5 813
kompatibel
حقن Pancuronium bromide 0.05 mg/ml
حقن Morphine sulfate 1 mg/ml
الجلوكوز %5 402
kompatibel
حقن Pancuronium bromide 2 mg/ml
حقن Naloxone hydrochloride 0.4 mg/ml
لا شيء 3408
kompatibel
حقن Pancuronium bromide 0.05 mg/ml
حقن Nitroglycerin 0.4 mg/ml
الجلوكوز %5 402
kompatibel
حقن Pancuronium bromide 0.05 mg/ml
حقن Nitroprusside sodium 0.2 mg/ml
الجلوكوز %5 402
kompatibel
حقن Pancuronium bromide 0.1 mg/ml
حقن Oritavancin 0.8 >>2 mg/ml
الجلوكوز %5 3152
هطول فوري غير متوافق
حقن Pancuronium bromide
حقن Pantoprazole sodium
2090
kompatibel
حقن Pancuronium bromide 1 mg/ml
حقن Propofol 10 mg/ml
لا شيء 300
عدم ثبات المستحلب بعد 4 ساعة غير متوافق
حقن Pancuronium bromide 1 mg/ml
حقن Propofol
660
kompatibel
حقن Pancuronium bromide 2 mg/ml
حقن Propofol 2 mg/ml
لا شيء 319
kompatibel
حقن Pancuronium bromide 0.05 mg/ml
حقن Ranitidine hydrochloride 0.5 mg/ml
الجلوكوز %5 402
هطول فوري غير متوافق
حقن Pancuronium bromide 2 mg/ml
حقن Salbutamol sulfate 1 mg/ml
لا شيء 3216
هطول فوري غير متوافق
حقن Pancuronium bromide
حقن Thiopental sodium
2079
هطول فوري غير متوافق
حقن Pancuronium bromide 2 mg/ml
حقن Thiopental sodium 25 mg/ml
كلوريد الصوديوم 0.9% 3767
هطول فوري غير متوافق
حقن Pancuronium bromide 2 mg/ml
حقن Thiopental sodium 25 mg/ml
حقن المياه لل 319
kompatibel
حقن Pancuronium bromide 0.008 mg/ml
حقن Verapamil hydrochloride 0.08 mg/ml
الجلوكوز %5 1057
kompatibel
حقن Pancuronium bromide
كلوريد الصوديوم 0.9% 755
عدم توافق غير محدد غير متوافق
حقن Pancuronium bromide
حقن Thiopental sodium
755
kompatibel
حقن Pancuronium bromide 0.05 mg/ml
حقن Vancomycin hydrochloride 5 mg/ml
الجلوكوز %5 402
kompatibel
حقن Pancuronium bromide 0.008 mg/ml
حقن Verapamil hydrochloride 0.08 mg/ml
كلوريد الصوديوم 0.9% 1057

  Mentions Légales