Τελευταία ενημέρωση :
27/04/2026
Κουραριομιμητικό   Pancuronium bromide  
Ενέσιμο
Σταθερότητα διαλυμάτων Σταθερότητα σε μίγματα Παράγοντας που επηρεάζει τη σταθερότητα Συμβατότητες Τρόπος χορήγησης Βιβλιογραφία pdf
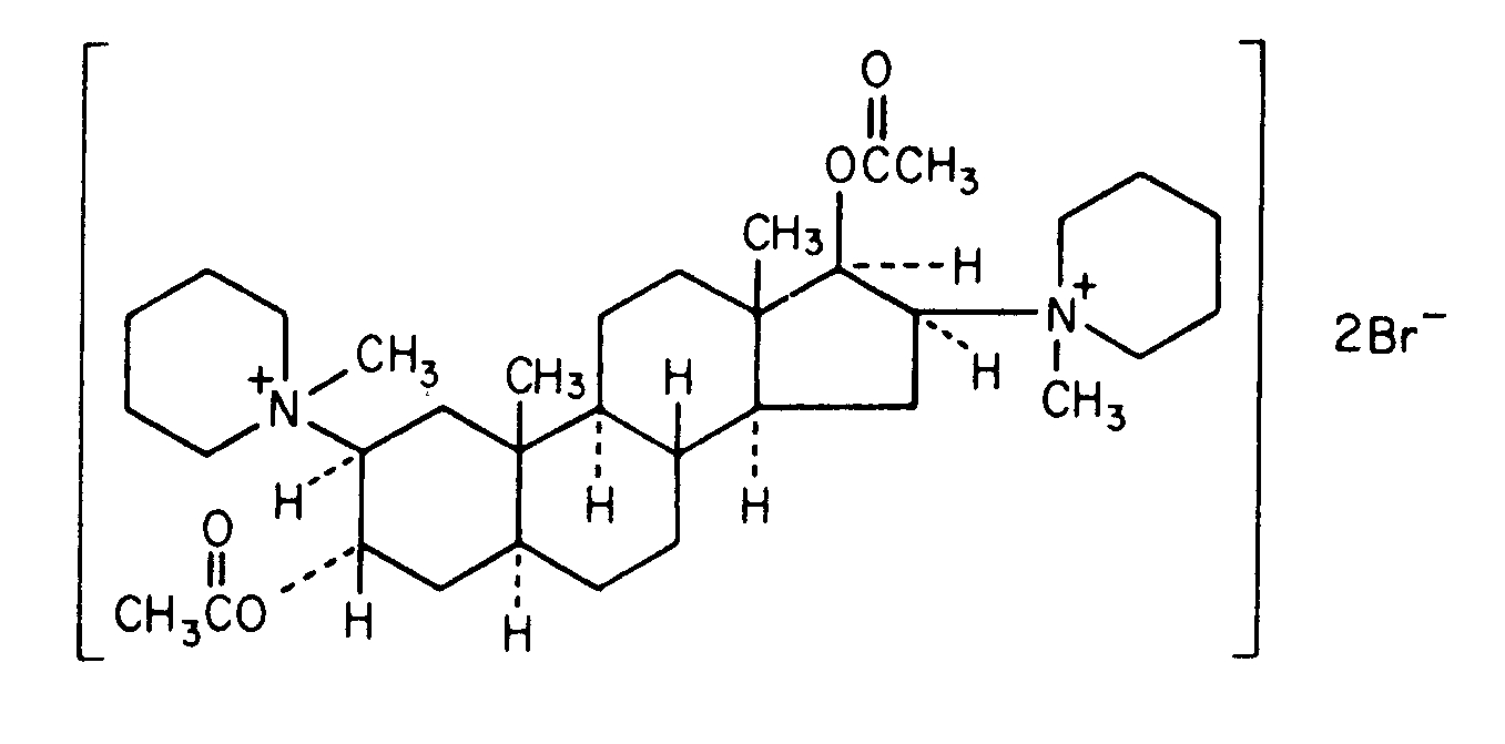
   χημική δομή  

Εμπορική ονομασία   Εμπορική ονομασία     

Οι εμπορικές ονομασίες είναι ενδεικτικές και η σύνθεση των εκδόχων μπορεί να διαφέρει ανάλογα με τη χώρα και τα εργαστήρια

Pancuronium bromide injection Yhdistyneet arabiemiirikunnat, Αίγυπτος, Γαλλία, Γερμανία, Η.Π.Α., Ιράν, Ιρλανδία, Καναδάς, Μεγάλη Βρετανία, νέα Ζηλανδία, Πολωνία
Συμβατότητες    Ενέσιμο   Συμβατότητες : Pancuronium bromide              
Σε αυτή την οθόνη εμφανίζονται οι συμβατότητες ή ασυμβατότητες. Σε αυτή την περίπτωση εμφανίζονται το είδος της ασυμβατότητας (ίζημα, αλλαγή χρώματος, μεταβολή γαλακτώματος, κλπ). Οι συμβατότητες που παρουσιάζονται εδώ είναι κυρίως φυσικές, ενώ η χημική σταθερότητα κάθε μορίου σπάνια περιλαμβάνεται. Η αξιολόγηση αυτών των μιγμάτων μελετήθηκε προκειμένου να εκτιμηθεί η πιθανότητα χορήγησης στον ασθενή στο Υ κέντρο. Τα δεδομένα αυτά δεν μπορούν να χρησιμοποιηθούν για την εκ των προτέρων δημιουργία μιγμάτων σε ασκούς ή σύριγγες. Αυτό το είδος πληροφορίας υπάρχει και μπορεί να αναζητηθεί στην οθόνη «Σταθερότητα σε μίγμα».
Συστατικό Διαλυτικό Βιβλιογραφία
Σύμφωνος
Ενέσιμο Pancuronium bromide 0.05 mg/ml
Ενέσιμο Aminophylline 1 mg/ml
Γλυκόζη 5% 402
Σύμφωνος
Ενέσιμο Pancuronium bromide 0.05 mg/ml
Ενέσιμο Cefazolin sodium 10 mg/ml
Γλυκόζη 5% 402
Σύμφωνος
Ενέσιμο Pancuronium bromide 0.05 mg/ml
Ενέσιμο Cefuroxime sodium 7.5 mg/ml
Γλυκόζη 5% 402
Σύμφωνος
Ενέσιμο Pancuronium bromide 0.05 mg/ml
Ενέσιμο Cimetidine hydrochloride 6 mg/ml
Γλυκόζη 5% 402
Σύμφωνος
Ενέσιμο Pancuronium bromide 0.2 mg/ml
Ενέσιμο Ciprofloxacin lactate 2 mg/ml
Γλυκόζη 5% 285
Σύμφωνος
Ενέσιμο Pancuronium bromide 0.05 mg/ml
Ενέσιμο Co-trimoxazole 3.2/0.64 mg/ml
Γλυκόζη 5% 402
Σύμφωνος
Ενέσιμο Pancuronium bromide
Ενέσιμο Dexmedetomidine
5042
Άμεση βροχόπτωση Ασύμβατες
Ενέσιμο Pancuronium bromide 0.05 mg/ml
Ενέσιμο Diazepam 5 mg/ml
Γλυκόζη 5% 402
Σύμφωνος
Ενέσιμο Pancuronium bromide 0.05 mg/ml
Ενέσιμο Dobutamine hydrochloride 1 mg/ml
Γλυκόζη 5% 402
Σύμφωνος
Ενέσιμο Pancuronium bromide 0.05 mg/ml
Ενέσιμο Dopamine hydrochloride 1.6 mg/ml
Γλυκόζη 5% 402
Σύμφωνος
Ενέσιμο Pancuronium bromide 0.05 mg/ml
Ενέσιμο Epinephrine hydrochloride 4 µg/ml
Γλυκόζη 5% 402
Σύμφωνος
Ενέσιμο Pancuronium bromide 0.05 mg/ml
Ενέσιμο Esmolol hydrochloride 10 mg/ml
Γλυκόζη 5% 402
Άμεση θολότητα Ασύμβατες
Ενέσιμο Pancuronium bromide
Ενέσιμο Etomidate
5011
Σύμφωνος
Ενέσιμο Pancuronium bromide 2 mg/ml
Ενέσιμο Etomidate 2 mg/ml
Ουδέν 319
Σύμφωνος
Ενέσιμο Pancuronium bromide 0.1 mg/ml
Ενέσιμο Fenoldopam mesylate 80 µg/ml
Χλωριούχο νάτριο 0,9% 1803
Σύμφωνος
Ενέσιμο Pancuronium bromide 0.05 mg/ml
Ενέσιμο Fentanyl citrate 10 µg/ml
Γλυκόζη 5% 402
Σύμφωνος
Ενέσιμο Pancuronium bromide 0,5 mg/ml
Ενέσιμο Fluconazole 2 mg/ml
Χλωριούχο νάτριο 0,9% 255
Σύμφωνος
Ενέσιμο Pancuronium bromide 0.05 mg/ml
Ενέσιμο Gentamicin sulfate 2 mg/ml
Γλυκόζη 5% 402
Σύμφωνος
Ενέσιμο Pancuronium bromide 0.05 mg/ml
Ενέσιμο Heparin sodium 40 UI/ml
Γλυκόζη 5% 402
Σύμφωνος
Ενέσιμο Pancuronium bromide 0.05 mg/ml
Ενέσιμο Hydrocortisone sodium succinate 1 mg/ml
Γλυκόζη 5% 402
Σύμφωνος
Ενέσιμο Pancuronium bromide
Γλυκόζη 5% 755
Σύμφωνος
Ενέσιμο Pancuronium bromide
Γαλακτικό διάλυμα Ringer 755
Σύμφωνος
Ενέσιμο Pancuronium bromide 0.1 mg/ml
Ενέσιμο Hetastarch 60 mg/ml
Ειδικά διαλύτη 1721
Σύμφωνος
Ενέσιμο Pancuronium bromide 0.05 mg/ml
Ενέσιμο Isoprenaline hydrochloride 0.004 mg/ml
Γλυκόζη 5% 402
Σύμφωνος
Ενέσιμο Pancuronium bromide 2 mg/ml
Ενέσιμο Ketamine hydrochloride 50 mg/ml
2109
Σύμφωνος
Ενέσιμο Pancuronium bromide 1 mg/ml
Ενέσιμο Levofloxacine 5 mg/ml
Γλυκόζη 5% 1072
Σύμφωνος
Ενέσιμο Pancuronium bromide 0.05 mg/ml
Ενέσιμο Lorazepam 0.5 mg/ml
Γλυκόζη 5% 402
Σύμφωνος
Ενέσιμο Pancuronium bromide 0.05 mg/ml
Ενέσιμο Midazolam hydrochloride 0.05 mg/ml
Γλυκόζη 5% 402
Σύμφωνος
Ενέσιμο Pancuronium bromide 2 mg/ml
Ενέσιμο Milrinone lactate 0.8 mg/ml
Γλυκόζη 5% 813
Σύμφωνος
Ενέσιμο Pancuronium bromide 0.05 mg/ml
Ενέσιμο Morphine sulfate 1 mg/ml
Γλυκόζη 5% 402
Σύμφωνος
Ενέσιμο Pancuronium bromide 2 mg/ml
Ενέσιμο Naloxone hydrochloride 0.4 mg/ml
Ουδέν 3408
Σύμφωνος
Ενέσιμο Pancuronium bromide 0.05 mg/ml
Ενέσιμο Nitroglycerin 0.4 mg/ml
Γλυκόζη 5% 402
Σύμφωνος
Ενέσιμο Pancuronium bromide 0.05 mg/ml
Ενέσιμο Nitroprusside sodium 0.2 mg/ml
Γλυκόζη 5% 402
Σύμφωνος
Ενέσιμο Pancuronium bromide 0.1 mg/ml
Ενέσιμο Oritavancin 0.8 >>2 mg/ml
Γλυκόζη 5% 3152
Άμεση βροχόπτωση Ασύμβατες
Ενέσιμο Pancuronium bromide
Ενέσιμο Pantoprazole sodium
2090
Σύμφωνος
Ενέσιμο Pancuronium bromide 1 mg/ml
Ενέσιμο Propofol 10 mg/ml
Ουδέν 300
Αστάθεια του γαλακτώματος μετά από 4 ώρες Ασύμβατες
Ενέσιμο Pancuronium bromide 1 mg/ml
Ενέσιμο Propofol
660
Σύμφωνος
Ενέσιμο Pancuronium bromide 2 mg/ml
Ενέσιμο Propofol 2 mg/ml
Ουδέν 319
Σύμφωνος
Ενέσιμο Pancuronium bromide 0.05 mg/ml
Ενέσιμο Ranitidine hydrochloride 0.5 mg/ml
Γλυκόζη 5% 402
Άμεση βροχόπτωση Ασύμβατες
Ενέσιμο Pancuronium bromide 2 mg/ml
Ενέσιμο Salbutamol sulfate 1 mg/ml
Ουδέν 3216
Άμεση βροχόπτωση Ασύμβατες
Ενέσιμο Pancuronium bromide
Ενέσιμο Thiopental sodium
2079
Άμεση βροχόπτωση Ασύμβατες
Ενέσιμο Pancuronium bromide 2 mg/ml
Ενέσιμο Thiopental sodium 25 mg/ml
Χλωριούχο νάτριο 0,9% 3767
Άμεση βροχόπτωση Ασύμβατες
Ενέσιμο Pancuronium bromide 2 mg/ml
Ενέσιμο Thiopental sodium 25 mg/ml
Ενέσιμο ύδωρ 319
Σύμφωνος
Ενέσιμο Pancuronium bromide 0.008 mg/ml
Ενέσιμο Verapamil hydrochloride 0.08 mg/ml
Γλυκόζη 5% 1057
Σύμφωνος
Ενέσιμο Pancuronium bromide
Χλωριούχο νάτριο 0,9% 755
Απροσδιόριστη ασυμβατότητα Ασύμβατες
Ενέσιμο Pancuronium bromide
Ενέσιμο Thiopental sodium
755
Σύμφωνος
Ενέσιμο Pancuronium bromide 0.05 mg/ml
Ενέσιμο Vancomycin hydrochloride 5 mg/ml
Γλυκόζη 5% 402
Σύμφωνος
Ενέσιμο Pancuronium bromide 0.008 mg/ml
Ενέσιμο Verapamil hydrochloride 0.08 mg/ml
Χλωριούχο νάτριο 0,9% 1057

  Mentions Légales