Останнє оновлення :
27/01/2026
Протипухлинний препарат   Etoposide phosphate  
ін'єкція
Стійкість в розчинах Стійкість сумішей Фактори, що впливають на стабільність Сумісність Шлях введення Список літератури pdf
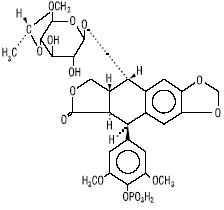
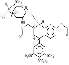
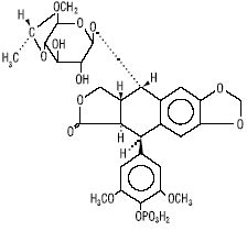
   Хімічна структура  

Торгова назва   Торгова назва     

Торгові назви є орієнтовними, а склад допоміжних речовин може бути різним залежно від країни та виробника

Etopofos Австрія, Греція, Швеція
Etopophos Ізраїль, Бельгія, Болгарія, Великобританія, Люксембург, Нідерланди, Німеччина, Нова Зеландія, Польща, Сполучені Штати Америки, Франція, Швейцарія
Стійкість сумішей   ін'єкція   Стійкість сумішей : Etoposide phosphate     
Контейнер Розчинник Концентрація З'єднання температура Зберігання Тривалість стабільності Список літератури
Поліолефін Натрію хлорид 0,9% 0,6 mg/ml
ін'єкція   Etoposide phosphate   
ін'єкція   Doxorubicin hydrochloride 0,12 mg/ml
ін'єкція   Vincristine sulfate 0,005 mg/ml
2-6°C
5 День
Берегти від світла 1606
Рівень доказовості А
Поліолефін Натрію хлорид 0,9% 1,2 mg/ml
ін'єкція   Etoposide phosphate   
ін'єкція   Doxorubicin hydrochloride 0,24 mg/ml
ін'єкція   Vincristine sulfate 0,010 mg/ml
2-6°C
5 День
Берегти від світла 1606
Рівень доказовості А
Поліолефін Натрію хлорид 0,9% 2 mg/ml
ін'єкція   Etoposide phosphate   
ін'єкція   Doxorubicin hydrochloride 0,4 mg/ml
ін'єкція   Vincristine sulfate 0,016 mg/ml
2-6°C
5 День
Зі світлом чи без 1606
Рівень доказовості А
Поліолефін Натрію хлорид 0,9% 0,6 mg/ml
ін'єкція   Etoposide phosphate   
ін'єкція   Doxorubicin hydrochloride 0,12 mg/ml
ін'єкція   Vincristine sulfate 0,005 mg/ml
35°C-40°C
5 День
Берегти від світла 1606
Рівень доказовості А
Поліолефін Натрію хлорид 0,9% 1,2 mg/ml
ін'єкція   Etoposide phosphate   
ін'єкція   Doxorubicin hydrochloride 0,24 mg/ml
ін'єкція   Vincristine sulfate 0,010 mg/ml
35°C-40°C
5 День
Берегти від світла 1606
Рівень доказовості А
Поліолефін Натрію хлорид 0,9% 2 mg/ml
ін'єкція   Etoposide phosphate   
ін'єкція   Doxorubicin hydrochloride 0,4 mg/ml
ін'єкція   Vincristine sulfate 0,016 mg/ml
35°C-40°C
5 День
Зі світлом чи без 1606
Рівень доказовості А
Поліізопреновий еластомер Натрію хлорид 0,9% 0,6 mg/ml
ін'єкція   Etoposide phosphate   
ін'єкція   Vincristine sulfate 0,005 mg/ml
ін'єкція   Doxorubicin hydrochloride 0,12 mg/ml
2-6°C
14 День
Не визначено 4102
Рівень доказовості А+
Поліізопреновий еластомер Натрію хлорид 0,9% 1,2 mg/ml
ін'єкція   Etoposide phosphate   
ін'єкція   Vincristine sulfate 0,01 mg/ml
ін'єкція   Doxorubicin hydrochloride 0,24 mg/ml
2-6°C
14 День
Не визначено 4102
Рівень доказовості А+
Поліізопреновий еластомер Натрію хлорид 0,9% 2 mg/ml
ін'єкція   Etoposide phosphate   
ін'єкція   Vincristine sulfate 0,016 mg/ml
ін'єкція   Doxorubicin hydrochloride 0,4 mg/ml
2-6°C
14 День
Не визначено 4102
Рівень доказовості А+
Поліізопреновий еластомер Натрію хлорид 0,9% 0,6 mg/ml
ін'єкція   Etoposide phosphate   
ін'єкція   Vincristine sulfate 0,005 mg/ml
ін'єкція   Doxorubicin hydrochloride 0,12 mg/ml
35°C
7 День
Берегти від світла 4102
Рівень доказовості А+
Поліізопреновий еластомер Натрію хлорид 0,9% 1,2 mg/ml
ін'єкція   Etoposide phosphate   
ін'єкція   Vincristine sulfate 0,01 mg/ml
ін'єкція   Doxorubicin hydrochloride 0,24 mg/ml
35°C
7 День
Берегти від світла 4102
Рівень доказовості А+
Поліізопреновий еластомер Натрію хлорид 0,9% 2 mg/ml
ін'єкція   Etoposide phosphate   
ін'єкція   Vincristine sulfate 0,016 mg/ml
ін'єкція   Doxorubicin hydrochloride 0,4 mg/ml
35°C
7 День
Берегти від світла 4102
Рівень доказовості А+

  Mentions Légales