Ultimele actualizari :
27/01/2026
Citostatic   Etoposide phosphate  
Injectabil
Stabilitatea in solutie Stabilitatea in amestec Factorii care influenteaza stabilitatea Compatibilitate Microunde Bibliografie pdf
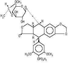
   Formula chimica  

Denumirea comerciala   Denumirea comerciala     

Trade names are indicative and excipients composition can be different depending on the country and manufacturers

Etopofos Austria, Grecia, Suedia
Etopophos Belgia, Bulgaria, Elvetia, Franta, Germania, Israel, Luxemburg, Marea Britanie, noua Zeelandă, Olanda, Polonia, SUA
Stabilitatea in amestec   Injectabil   Stabilitatea in amestec : Etoposide phosphate     
Continut Solvent Concentratie Molecula (substanta activa) Temperatura Conservare Durata stabilității Bibiografie
poliolefine clorura de sodiu 0,9% 0,6 mg/ml
Injectabil   Etoposide phosphate   
Injectabil   Doxorubicin hydrochloride 0,12 mg/ml
Injectabil   Vincristine sulfate 0,005 mg/ml
2-6°C
5 Ziua
Ferit de lumina 1606
Nivel de evidență A
poliolefine clorura de sodiu 0,9% 1,2 mg/ml
Injectabil   Etoposide phosphate   
Injectabil   Doxorubicin hydrochloride 0,24 mg/ml
Injectabil   Vincristine sulfate 0,010 mg/ml
2-6°C
5 Ziua
Ferit de lumina 1606
Nivel de evidență A
poliolefine clorura de sodiu 0,9% 2 mg/ml
Injectabil   Etoposide phosphate   
Injectabil   Doxorubicin hydrochloride 0,4 mg/ml
Injectabil   Vincristine sulfate 0,016 mg/ml
2-6°C
5 Ziua
In prezenta sau absenta luminii 1606
Nivel de evidență A
poliolefine clorura de sodiu 0,9% 0,6 mg/ml
Injectabil   Etoposide phosphate   
Injectabil   Doxorubicin hydrochloride 0,12 mg/ml
Injectabil   Vincristine sulfate 0,005 mg/ml
35°C-40°C
5 Ziua
Ferit de lumina 1606
Nivel de evidență A
poliolefine clorura de sodiu 0,9% 1,2 mg/ml
Injectabil   Etoposide phosphate   
Injectabil   Doxorubicin hydrochloride 0,24 mg/ml
Injectabil   Vincristine sulfate 0,010 mg/ml
35°C-40°C
5 Ziua
Ferit de lumina 1606
Nivel de evidență A
poliolefine clorura de sodiu 0,9% 2 mg/ml
Injectabil   Etoposide phosphate   
Injectabil   Doxorubicin hydrochloride 0,4 mg/ml
Injectabil   Vincristine sulfate 0,016 mg/ml
35°C-40°C
5 Ziua
In prezenta sau absenta luminii 1606
Nivel de evidență A
Elastomer poliizoprenic clorura de sodiu 0,9% 0,6 mg/ml
Injectabil   Etoposide phosphate   
Injectabil   Vincristine sulfate 0,005 mg/ml
Injectabil   Doxorubicin hydrochloride 0,12 mg/ml
2-6°C
14 Ziua
Neprecizat 4102
Nivel de evidență A+
Elastomer poliizoprenic clorura de sodiu 0,9% 1,2 mg/ml
Injectabil   Etoposide phosphate   
Injectabil   Vincristine sulfate 0,01 mg/ml
Injectabil   Doxorubicin hydrochloride 0,24 mg/ml
2-6°C
14 Ziua
Neprecizat 4102
Nivel de evidență A+
Elastomer poliizoprenic clorura de sodiu 0,9% 2 mg/ml
Injectabil   Etoposide phosphate   
Injectabil   Vincristine sulfate 0,016 mg/ml
Injectabil   Doxorubicin hydrochloride 0,4 mg/ml
2-6°C
14 Ziua
Neprecizat 4102
Nivel de evidență A+
Elastomer poliizoprenic clorura de sodiu 0,9% 0,6 mg/ml
Injectabil   Etoposide phosphate   
Injectabil   Vincristine sulfate 0,005 mg/ml
Injectabil   Doxorubicin hydrochloride 0,12 mg/ml
35°C
7 Ziua
Ferit de lumina 4102
Nivel de evidență A+
Elastomer poliizoprenic clorura de sodiu 0,9% 1,2 mg/ml
Injectabil   Etoposide phosphate   
Injectabil   Vincristine sulfate 0,01 mg/ml
Injectabil   Doxorubicin hydrochloride 0,24 mg/ml
35°C
7 Ziua
Ferit de lumina 4102
Nivel de evidență A+
Elastomer poliizoprenic clorura de sodiu 0,9% 2 mg/ml
Injectabil   Etoposide phosphate   
Injectabil   Vincristine sulfate 0,016 mg/ml
Injectabil   Doxorubicin hydrochloride 0,4 mg/ml
35°C
7 Ziua
Ferit de lumina 4102
Nivel de evidență A+

  Mentions Légales