viimane versioon :
27/01/2026
vähiravimite   Etoposide phosphate  
Süsteravim
Stabiilsus lahustes Stabiilsust mõjutavad tegurid stabiilsust mõjutavad faktorid Sobimatus Manustamis viis Viited pdf
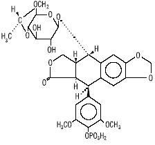
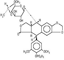
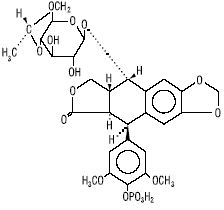
   keemiline struktuur  

Kaubanduslikud nimed erinevates maades   Kaubanduslikud nimed erinevates maades     

Preparaatide nimed on näitlikud ja abianete sisaldus võib erineda sõltuvalt riigist ja laborist

Etopofos Austria, Kreeka, Rootsi
Etopophos Ameerika ühendriigid, Belgia, Bulgaaria, Holland, Iisrael, Luksemburg, Poola, Prantsusmaa, Saksamaa, Suurbritannia, Sveits, uus-Meremaa
Stabiilsust mõjutavad tegurid   Süsteravim   Stabiilsust mõjutavad tegurid : Etoposide phosphate     
konteiner lahusti kontsentratsioon ingredient temperatuur ladustamine Stabiilsuse kestus Viited
polüolefiin naatriumkloriid 0.9% 0,6 mg/ml
Süsteravim   Etoposide phosphate   
Süsteravim   Doxorubicin hydrochloride 0,12 mg/ml
Süsteravim   Vincristine sulfate 0,005 mg/ml
2-6°C
5 päev
kaitsta valguse eest 1606
Tõenduspõhisuse tase A
polüolefiin naatriumkloriid 0.9% 1,2 mg/ml
Süsteravim   Etoposide phosphate   
Süsteravim   Doxorubicin hydrochloride 0,24 mg/ml
Süsteravim   Vincristine sulfate 0,010 mg/ml
2-6°C
5 päev
kaitsta valguse eest 1606
Tõenduspõhisuse tase A
polüolefiin naatriumkloriid 0.9% 2 mg/ml
Süsteravim   Etoposide phosphate   
Süsteravim   Doxorubicin hydrochloride 0,4 mg/ml
Süsteravim   Vincristine sulfate 0,016 mg/ml
2-6°C
5 päev
valgusega või ilma valguseta 1606
Tõenduspõhisuse tase A
polüolefiin naatriumkloriid 0.9% 0,6 mg/ml
Süsteravim   Etoposide phosphate   
Süsteravim   Doxorubicin hydrochloride 0,12 mg/ml
Süsteravim   Vincristine sulfate 0,005 mg/ml
35°C-40°C
5 päev
kaitsta valguse eest 1606
Tõenduspõhisuse tase A
polüolefiin naatriumkloriid 0.9% 1,2 mg/ml
Süsteravim   Etoposide phosphate   
Süsteravim   Doxorubicin hydrochloride 0,24 mg/ml
Süsteravim   Vincristine sulfate 0,010 mg/ml
35°C-40°C
5 päev
kaitsta valguse eest 1606
Tõenduspõhisuse tase A
polüolefiin naatriumkloriid 0.9% 2 mg/ml
Süsteravim   Etoposide phosphate   
Süsteravim   Doxorubicin hydrochloride 0,4 mg/ml
Süsteravim   Vincristine sulfate 0,016 mg/ml
35°C-40°C
5 päev
valgusega või ilma valguseta 1606
Tõenduspõhisuse tase A
Polüisopreenist elastomeer naatriumkloriid 0.9% 0,6 mg/ml
Süsteravim   Etoposide phosphate   
Süsteravim   Vincristine sulfate 0,005 mg/ml
Süsteravim   Doxorubicin hydrochloride 0,12 mg/ml
2-6°C
14 päev
pole täpsustatud 4102
Tõenduspõhisuse tase A+
Polüisopreenist elastomeer naatriumkloriid 0.9% 1,2 mg/ml
Süsteravim   Etoposide phosphate   
Süsteravim   Vincristine sulfate 0,01 mg/ml
Süsteravim   Doxorubicin hydrochloride 0,24 mg/ml
2-6°C
14 päev
pole täpsustatud 4102
Tõenduspõhisuse tase A+
Polüisopreenist elastomeer naatriumkloriid 0.9% 2 mg/ml
Süsteravim   Etoposide phosphate   
Süsteravim   Vincristine sulfate 0,016 mg/ml
Süsteravim   Doxorubicin hydrochloride 0,4 mg/ml
2-6°C
14 päev
pole täpsustatud 4102
Tõenduspõhisuse tase A+
Polüisopreenist elastomeer naatriumkloriid 0.9% 0,6 mg/ml
Süsteravim   Etoposide phosphate   
Süsteravim   Vincristine sulfate 0,005 mg/ml
Süsteravim   Doxorubicin hydrochloride 0,12 mg/ml
35°C
7 päev
kaitsta valguse eest 4102
Tõenduspõhisuse tase A+
Polüisopreenist elastomeer naatriumkloriid 0.9% 1,2 mg/ml
Süsteravim   Etoposide phosphate   
Süsteravim   Vincristine sulfate 0,01 mg/ml
Süsteravim   Doxorubicin hydrochloride 0,24 mg/ml
35°C
7 päev
kaitsta valguse eest 4102
Tõenduspõhisuse tase A+
Polüisopreenist elastomeer naatriumkloriid 0.9% 2 mg/ml
Süsteravim   Etoposide phosphate   
Süsteravim   Vincristine sulfate 0,016 mg/ml
Süsteravim   Doxorubicin hydrochloride 0,4 mg/ml
35°C
7 päev
kaitsta valguse eest 4102
Tõenduspõhisuse tase A+

  Mentions Légales