Son güncelleme :
27/01/2026
kanser ilaç   Etoposide phosphate  
Enjeksiyon
Çözeltilerin stabilitesi Karışımlardaki stabilitesi Stabiliteyi etkileyen faktörler Uyumluluk Uygulama yöntemi Kaynaklar pdf
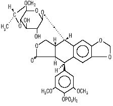
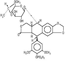
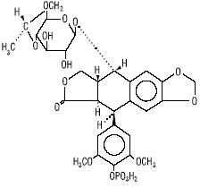
   Kimyasal yapı   

Ticari isim   Ticari isim     

Trade names are indicative and excipients composition can be different depending on the country and manufacturers

Etopofos Avusturya, İsveç, Yunanistan
Etopophos Almanya, Amerika Birleşik Devletleri, Belçika, Bulgaristan, Büyük Britanya, Fransa, Hollanda, İsrail, İsviçre, Lüksemburg, Polonya, yeni Zelanda
Karışımlardaki stabilitesi   Enjeksiyon    Karışımlardaki stabilitesi : Etoposide phosphate     
Saklama kabı Çözücü Konsantrasyon Bileşik Isı Saklama    Stabilite süresi Kaynaklar
Poliolefin Sodyum klorür % 0,9 0,6 mg/ml
Enjeksiyon   Etoposide phosphate   
Enjeksiyon   Doxorubicin hydrochloride 0,12 mg/ml
Enjeksiyon   Vincristine sulfate 0,005 mg/ml
2-6°C
5 Gün
Işıktan koruyunuz 1606
Kanıt düzeyi A
Poliolefin Sodyum klorür % 0,9 1,2 mg/ml
Enjeksiyon   Etoposide phosphate   
Enjeksiyon   Doxorubicin hydrochloride 0,24 mg/ml
Enjeksiyon   Vincristine sulfate 0,010 mg/ml
2-6°C
5 Gün
Işıktan koruyunuz 1606
Kanıt düzeyi A
Poliolefin Sodyum klorür % 0,9 2 mg/ml
Enjeksiyon   Etoposide phosphate   
Enjeksiyon   Doxorubicin hydrochloride 0,4 mg/ml
Enjeksiyon   Vincristine sulfate 0,016 mg/ml
2-6°C
5 Gün
Işıklı veya ışıksız 1606
Kanıt düzeyi A
Poliolefin Sodyum klorür % 0,9 0,6 mg/ml
Enjeksiyon   Etoposide phosphate   
Enjeksiyon   Doxorubicin hydrochloride 0,12 mg/ml
Enjeksiyon   Vincristine sulfate 0,005 mg/ml
35°C-40°C
5 Gün
Işıktan koruyunuz 1606
Kanıt düzeyi A
Poliolefin Sodyum klorür % 0,9 1,2 mg/ml
Enjeksiyon   Etoposide phosphate   
Enjeksiyon   Doxorubicin hydrochloride 0,24 mg/ml
Enjeksiyon   Vincristine sulfate 0,010 mg/ml
35°C-40°C
5 Gün
Işıktan koruyunuz 1606
Kanıt düzeyi A
Poliolefin Sodyum klorür % 0,9 2 mg/ml
Enjeksiyon   Etoposide phosphate   
Enjeksiyon   Doxorubicin hydrochloride 0,4 mg/ml
Enjeksiyon   Vincristine sulfate 0,016 mg/ml
35°C-40°C
5 Gün
Işıklı veya ışıksız 1606
Kanıt düzeyi A
poliizopren elastomer Sodyum klorür % 0,9 0,6 mg/ml
Enjeksiyon   Etoposide phosphate   
Enjeksiyon   Vincristine sulfate 0,005 mg/ml
Enjeksiyon   Doxorubicin hydrochloride 0,12 mg/ml
2-6°C
14 Gün
Belirtilmemiş 4102
Kanıt düzeyi A+
poliizopren elastomer Sodyum klorür % 0,9 1,2 mg/ml
Enjeksiyon   Etoposide phosphate   
Enjeksiyon   Vincristine sulfate 0,01 mg/ml
Enjeksiyon   Doxorubicin hydrochloride 0,24 mg/ml
2-6°C
14 Gün
Belirtilmemiş 4102
Kanıt düzeyi A+
poliizopren elastomer Sodyum klorür % 0,9 2 mg/ml
Enjeksiyon   Etoposide phosphate   
Enjeksiyon   Vincristine sulfate 0,016 mg/ml
Enjeksiyon   Doxorubicin hydrochloride 0,4 mg/ml
2-6°C
14 Gün
Belirtilmemiş 4102
Kanıt düzeyi A+
poliizopren elastomer Sodyum klorür % 0,9 0,6 mg/ml
Enjeksiyon   Etoposide phosphate   
Enjeksiyon   Vincristine sulfate 0,005 mg/ml
Enjeksiyon   Doxorubicin hydrochloride 0,12 mg/ml
35°C
7 Gün
Işıktan koruyunuz 4102
Kanıt düzeyi A+
poliizopren elastomer Sodyum klorür % 0,9 1,2 mg/ml
Enjeksiyon   Etoposide phosphate   
Enjeksiyon   Vincristine sulfate 0,01 mg/ml
Enjeksiyon   Doxorubicin hydrochloride 0,24 mg/ml
35°C
7 Gün
Işıktan koruyunuz 4102
Kanıt düzeyi A+
poliizopren elastomer Sodyum klorür % 0,9 2 mg/ml
Enjeksiyon   Etoposide phosphate   
Enjeksiyon   Vincristine sulfate 0,016 mg/ml
Enjeksiyon   Doxorubicin hydrochloride 0,4 mg/ml
35°C
7 Gün
Işıktan koruyunuz 4102
Kanıt düzeyi A+

  Mentions Légales