Senaste uppdateringen :
27/01/2026
cancerläkemedel   Etoposide phosphate  
injektion
Lösningars stabilitet Stabilitet i blandningar Faktorer som påverkar stabiliteten Kompatibilitet Administreringssätt Hänvisningar pdf
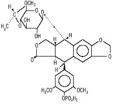
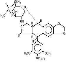
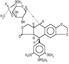
   Molekylstruktur  

Varunamn   Varunamn     

Angivna handelsnamn på läkemedel är enbart vägledande då formulering inklusive hjälpämnen kan variera mellan länder och tillverkare

Etopofos Grekland, Österrike, Sverige
Etopophos Belgien, Bulgarien, Förenta Staterna, Frankrike, Israel, Luxemburg, Nederländerna, nya Zeeland, Polen, Schweiz, Storbritannien, Tyskland
Stabilitet i blandningar   injektion   Stabilitet i blandningar : Etoposide phosphate     
Behållare Lösningsmedel Koncentration Substans Temperatur Förvaring Stabilitets varaktighet Hänvisningar
Polyolefin Natriumklorid 0,9 % 0,6 mg/ml
injektion   Etoposide phosphate   
injektion   Doxorubicin hydrochloride 0,12 mg/ml
injektion   Vincristine sulfate 0,005 mg/ml
2-6°C
5 Dag
Skyddas från ljus 1606
Evidensnivå A
Polyolefin Natriumklorid 0,9 % 1,2 mg/ml
injektion   Etoposide phosphate   
injektion   Doxorubicin hydrochloride 0,24 mg/ml
injektion   Vincristine sulfate 0,010 mg/ml
2-6°C
5 Dag
Skyddas från ljus 1606
Evidensnivå A
Polyolefin Natriumklorid 0,9 % 2 mg/ml
injektion   Etoposide phosphate   
injektion   Doxorubicin hydrochloride 0,4 mg/ml
injektion   Vincristine sulfate 0,016 mg/ml
2-6°C
5 Dag
Med eller utan ljus 1606
Evidensnivå A
Polyolefin Natriumklorid 0,9 % 0,6 mg/ml
injektion   Etoposide phosphate   
injektion   Doxorubicin hydrochloride 0,12 mg/ml
injektion   Vincristine sulfate 0,005 mg/ml
35°C-40°C
5 Dag
Skyddas från ljus 1606
Evidensnivå A
Polyolefin Natriumklorid 0,9 % 1,2 mg/ml
injektion   Etoposide phosphate   
injektion   Doxorubicin hydrochloride 0,24 mg/ml
injektion   Vincristine sulfate 0,010 mg/ml
35°C-40°C
5 Dag
Skyddas från ljus 1606
Evidensnivå A
Polyolefin Natriumklorid 0,9 % 2 mg/ml
injektion   Etoposide phosphate   
injektion   Doxorubicin hydrochloride 0,4 mg/ml
injektion   Vincristine sulfate 0,016 mg/ml
35°C-40°C
5 Dag
Med eller utan ljus 1606
Evidensnivå A
Polyisopren elastomer Natriumklorid 0,9 % 0,6 mg/ml
injektion   Etoposide phosphate   
injektion   Vincristine sulfate 0,005 mg/ml
injektion   Doxorubicin hydrochloride 0,12 mg/ml
2-6°C
14 Dag
Ej angiven 4102
Evidensnivå A+
Polyisopren elastomer Natriumklorid 0,9 % 1,2 mg/ml
injektion   Etoposide phosphate   
injektion   Vincristine sulfate 0,01 mg/ml
injektion   Doxorubicin hydrochloride 0,24 mg/ml
2-6°C
14 Dag
Ej angiven 4102
Evidensnivå A+
Polyisopren elastomer Natriumklorid 0,9 % 2 mg/ml
injektion   Etoposide phosphate   
injektion   Vincristine sulfate 0,016 mg/ml
injektion   Doxorubicin hydrochloride 0,4 mg/ml
2-6°C
14 Dag
Ej angiven 4102
Evidensnivå A+
Polyisopren elastomer Natriumklorid 0,9 % 0,6 mg/ml
injektion   Etoposide phosphate   
injektion   Vincristine sulfate 0,005 mg/ml
injektion   Doxorubicin hydrochloride 0,12 mg/ml
35°C
7 Dag
Skyddas från ljus 4102
Evidensnivå A+
Polyisopren elastomer Natriumklorid 0,9 % 1,2 mg/ml
injektion   Etoposide phosphate   
injektion   Vincristine sulfate 0,01 mg/ml
injektion   Doxorubicin hydrochloride 0,24 mg/ml
35°C
7 Dag
Skyddas från ljus 4102
Evidensnivå A+
Polyisopren elastomer Natriumklorid 0,9 % 2 mg/ml
injektion   Etoposide phosphate   
injektion   Vincristine sulfate 0,016 mg/ml
injektion   Doxorubicin hydrochloride 0,4 mg/ml
35°C
7 Dag
Skyddas från ljus 4102
Evidensnivå A+

  Mentions Légales