Τελευταία ενημέρωση :
27/01/2026
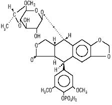
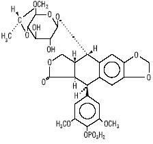
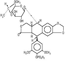
φάρμακο κατά του καρκίνου   Etoposide phosphate  
Ενέσιμο
Σταθερότητα διαλυμάτων Σταθερότητα σε μίγματα Παράγοντας που επηρεάζει τη σταθερότητα Συμβατότητες Τρόπος χορήγησης Βιβλιογραφία pdf
   χημική δομή  

Εμπορική ονομασία   Εμπορική ονομασία     

Οι εμπορικές ονομασίες είναι ενδεικτικές και η σύνθεση των εκδόχων μπορεί να διαφέρει ανάλογα με τη χώρα και τα εργαστήρια

Etopofos Αυστρία, Ελλάδα, Σουηδία
Etopophos Βέλγιο, Βουλγαρία, Γαλλία, Γερμανία, Ελβετία, Η.Π.Α., Ισραήλ, Λουξεμβούργο, Μεγάλη Βρετανία, νέα Ζηλανδία, Ολλανδία, Πολωνία
Σταθερότητα σε μίγματα   Ενέσιμο   Σταθερότητα σε μίγματα : Etoposide phosphate     
Υποδοχέας Διαλυτικό Συγκέντρωση Συστατικό Θερμοκρασία Αποθήκευση Διάρκεια σταθερότητας Βιβλιογραφία
Πολυολεφίνη Χλωριούχο νάτριο 0,9% 0,6 mg/ml
Ενέσιμο   Etoposide phosphate   
Ενέσιμο   Doxorubicin hydrochloride 0,12 mg/ml
Ενέσιμο   Vincristine sulfate 0,005 mg/ml
2-6°C
5 Ημέρα
Προστατεύετε από το φως 1606
Επίπεδο των αποδεικτικών στοιχείων A
Πολυολεφίνη Χλωριούχο νάτριο 0,9% 1,2 mg/ml
Ενέσιμο   Etoposide phosphate   
Ενέσιμο   Doxorubicin hydrochloride 0,24 mg/ml
Ενέσιμο   Vincristine sulfate 0,010 mg/ml
2-6°C
5 Ημέρα
Προστατεύετε από το φως 1606
Επίπεδο των αποδεικτικών στοιχείων A
Πολυολεφίνη Χλωριούχο νάτριο 0,9% 2 mg/ml
Ενέσιμο   Etoposide phosphate   
Ενέσιμο   Doxorubicin hydrochloride 0,4 mg/ml
Ενέσιμο   Vincristine sulfate 0,016 mg/ml
2-6°C
5 Ημέρα
Με ή χωρίς φως 1606
Επίπεδο των αποδεικτικών στοιχείων A
Πολυολεφίνη Χλωριούχο νάτριο 0,9% 0,6 mg/ml
Ενέσιμο   Etoposide phosphate   
Ενέσιμο   Doxorubicin hydrochloride 0,12 mg/ml
Ενέσιμο   Vincristine sulfate 0,005 mg/ml
35°C-40°C
5 Ημέρα
Προστατεύετε από το φως 1606
Επίπεδο των αποδεικτικών στοιχείων A
Πολυολεφίνη Χλωριούχο νάτριο 0,9% 1,2 mg/ml
Ενέσιμο   Etoposide phosphate   
Ενέσιμο   Doxorubicin hydrochloride 0,24 mg/ml
Ενέσιμο   Vincristine sulfate 0,010 mg/ml
35°C-40°C
5 Ημέρα
Προστατεύετε από το φως 1606
Επίπεδο των αποδεικτικών στοιχείων A
Πολυολεφίνη Χλωριούχο νάτριο 0,9% 2 mg/ml
Ενέσιμο   Etoposide phosphate   
Ενέσιμο   Doxorubicin hydrochloride 0,4 mg/ml
Ενέσιμο   Vincristine sulfate 0,016 mg/ml
35°C-40°C
5 Ημέρα
Με ή χωρίς φως 1606
Επίπεδο των αποδεικτικών στοιχείων A
Ελαστομερές πολυισοπρένιο Χλωριούχο νάτριο 0,9% 0,6 mg/ml
Ενέσιμο   Etoposide phosphate   
Ενέσιμο   Vincristine sulfate 0,005 mg/ml
Ενέσιμο   Doxorubicin hydrochloride 0,12 mg/ml
2-6°C
14 Ημέρα
Απροσδιόριστο 4102
Επίπεδο των αποδεικτικών στοιχείων A+
Ελαστομερές πολυισοπρένιο Χλωριούχο νάτριο 0,9% 1,2 mg/ml
Ενέσιμο   Etoposide phosphate   
Ενέσιμο   Vincristine sulfate 0,01 mg/ml
Ενέσιμο   Doxorubicin hydrochloride 0,24 mg/ml
2-6°C
14 Ημέρα
Απροσδιόριστο 4102
Επίπεδο των αποδεικτικών στοιχείων A+
Ελαστομερές πολυισοπρένιο Χλωριούχο νάτριο 0,9% 2 mg/ml
Ενέσιμο   Etoposide phosphate   
Ενέσιμο   Vincristine sulfate 0,016 mg/ml
Ενέσιμο   Doxorubicin hydrochloride 0,4 mg/ml
2-6°C
14 Ημέρα
Απροσδιόριστο 4102
Επίπεδο των αποδεικτικών στοιχείων A+
Ελαστομερές πολυισοπρένιο Χλωριούχο νάτριο 0,9% 0,6 mg/ml
Ενέσιμο   Etoposide phosphate   
Ενέσιμο   Vincristine sulfate 0,005 mg/ml
Ενέσιμο   Doxorubicin hydrochloride 0,12 mg/ml
35°C
7 Ημέρα
Προστατεύετε από το φως 4102
Επίπεδο των αποδεικτικών στοιχείων A+
Ελαστομερές πολυισοπρένιο Χλωριούχο νάτριο 0,9% 1,2 mg/ml
Ενέσιμο   Etoposide phosphate   
Ενέσιμο   Vincristine sulfate 0,01 mg/ml
Ενέσιμο   Doxorubicin hydrochloride 0,24 mg/ml
35°C
7 Ημέρα
Προστατεύετε από το φως 4102
Επίπεδο των αποδεικτικών στοιχείων A+
Ελαστομερές πολυισοπρένιο Χλωριούχο νάτριο 0,9% 2 mg/ml
Ενέσιμο   Etoposide phosphate   
Ενέσιμο   Vincristine sulfate 0,016 mg/ml
Ενέσιμο   Doxorubicin hydrochloride 0,4 mg/ml
35°C
7 Ημέρα
Προστατεύετε από το φως 4102
Επίπεδο των αποδεικτικών στοιχείων A+

  Mentions Légales