Ultimo aggiornamento :
27/01/2026
farmaco contro il cancro   Etoposide phosphate  
Iniezione
Stabilità in soluzione Stabilità in miscela Fattori che influenzano la stabilità Compatibilità metodo di iniezione Bibliografia pdf
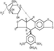
   Struttura chimica  

Nome commerciale   Nome commerciale     

Trade names are indicative and excipients composition can be different depending on the country and manufacturers

Etopofos Austria, Grecia, Svezia
Etopophos Belgio, Bulgaria, Francia, Germania, Gran Bretagna, Israele, Lussemburgo, nuova Zelanda, Paesi Bassi, Polonia, Stati Uniti d’America, Svizzera
Stabilità in miscela   Iniezione   Stabilità in miscela : Etoposide phosphate     
contenitore Solvente Concentrazione Molecola Temperatura Conservazione Durata della stabilità Bibliografia
Poliolefina Cloruro di sodio 0,9% 0,6 mg/ml
Iniezione   Etoposide phosphate   
Iniezione   Doxorubicin hydrochloride 0,12 mg/ml
Iniezione   Vincristine sulfate 0,005 mg/ml
2-6°C
5 Giorno
Al riparo dalla luce 1606
Livello di evidenza A
Poliolefina Cloruro di sodio 0,9% 1,2 mg/ml
Iniezione   Etoposide phosphate   
Iniezione   Doxorubicin hydrochloride 0,24 mg/ml
Iniezione   Vincristine sulfate 0,010 mg/ml
2-6°C
5 Giorno
Al riparo dalla luce 1606
Livello di evidenza A
Poliolefina Cloruro di sodio 0,9% 2 mg/ml
Iniezione   Etoposide phosphate   
Iniezione   Doxorubicin hydrochloride 0,4 mg/ml
Iniezione   Vincristine sulfate 0,016 mg/ml
2-6°C
5 Giorno
Con o senza luce 1606
Livello di evidenza A
Poliolefina Cloruro di sodio 0,9% 0,6 mg/ml
Iniezione   Etoposide phosphate   
Iniezione   Doxorubicin hydrochloride 0,12 mg/ml
Iniezione   Vincristine sulfate 0,005 mg/ml
35°C-40°C
5 Giorno
Al riparo dalla luce 1606
Livello di evidenza A
Poliolefina Cloruro di sodio 0,9% 1,2 mg/ml
Iniezione   Etoposide phosphate   
Iniezione   Doxorubicin hydrochloride 0,24 mg/ml
Iniezione   Vincristine sulfate 0,010 mg/ml
35°C-40°C
5 Giorno
Al riparo dalla luce 1606
Livello di evidenza A
Poliolefina Cloruro di sodio 0,9% 2 mg/ml
Iniezione   Etoposide phosphate   
Iniezione   Doxorubicin hydrochloride 0,4 mg/ml
Iniezione   Vincristine sulfate 0,016 mg/ml
35°C-40°C
5 Giorno
Con o senza luce 1606
Livello di evidenza A
Elastomero poliisoprenico Cloruro di sodio 0,9% 0,6 mg/ml
Iniezione   Etoposide phosphate   
Iniezione   Vincristine sulfate 0,005 mg/ml
Iniezione   Doxorubicin hydrochloride 0,12 mg/ml
2-6°C
14 Giorno
Non precisata 4102
Livello di evidenza A+
Elastomero poliisoprenico Cloruro di sodio 0,9% 1,2 mg/ml
Iniezione   Etoposide phosphate   
Iniezione   Vincristine sulfate 0,01 mg/ml
Iniezione   Doxorubicin hydrochloride 0,24 mg/ml
2-6°C
14 Giorno
Non precisata 4102
Livello di evidenza A+
Elastomero poliisoprenico Cloruro di sodio 0,9% 2 mg/ml
Iniezione   Etoposide phosphate   
Iniezione   Vincristine sulfate 0,016 mg/ml
Iniezione   Doxorubicin hydrochloride 0,4 mg/ml
2-6°C
14 Giorno
Non precisata 4102
Livello di evidenza A+
Elastomero poliisoprenico Cloruro di sodio 0,9% 0,6 mg/ml
Iniezione   Etoposide phosphate   
Iniezione   Vincristine sulfate 0,005 mg/ml
Iniezione   Doxorubicin hydrochloride 0,12 mg/ml
35°C
7 Giorno
Al riparo dalla luce 4102
Livello di evidenza A+
Elastomero poliisoprenico Cloruro di sodio 0,9% 1,2 mg/ml
Iniezione   Etoposide phosphate   
Iniezione   Vincristine sulfate 0,01 mg/ml
Iniezione   Doxorubicin hydrochloride 0,24 mg/ml
35°C
7 Giorno
Al riparo dalla luce 4102
Livello di evidenza A+
Elastomero poliisoprenico Cloruro di sodio 0,9% 2 mg/ml
Iniezione   Etoposide phosphate   
Iniezione   Vincristine sulfate 0,016 mg/ml
Iniezione   Doxorubicin hydrochloride 0,4 mg/ml
35°C
7 Giorno
Al riparo dalla luce 4102
Livello di evidenza A+

  Mentions Légales