Seneste opdatering :
27/01/2026
anticancer medicin   Etoposide phosphate  
Injektion
Stabilitet i (vandige) opløsninger Stabilitet i blandinger Faktorer der påvirker stabiliteten Kompatibilitet Administrationsvej Bibliografi pdf
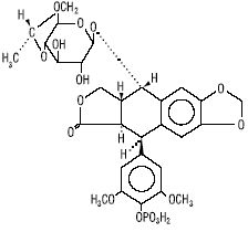
   Kemisk struktur  

Handelsnavn   Handelsnavn     

Handel navne er vejledende og hjælpestoffer sammensætning kan være forskellig afhængigt af landet og laboratorier

Etopofos Grækenland, Sverige, Østrig
Etopophos Belgien, Bulgarien, Frankrig, Holland, Israel, Luxemborg, New Zealand, Polen, Schweiz, Storbritanien, Tyskland, USA
Stabilitet i blandinger   Injektion   Stabilitet i blandinger : Etoposide phosphate     
Beholder Opløsningsmiddel Koncentration Molekyle Temperatur Konservering Varighed af stabilitet Bibliografi
Polyolefin 0,9 % Natriumklorid 0,6 mg/ml
Injektion   Etoposide phosphate   
Injektion   Doxorubicin hydrochloride 0,12 mg/ml
Injektion   Vincristine sulfate 0,005 mg/ml
2-6°C
5 Dag
Beskyt mod lys 1606
Level af bevismateriale A
Polyolefin 0,9 % Natriumklorid 1,2 mg/ml
Injektion   Etoposide phosphate   
Injektion   Doxorubicin hydrochloride 0,24 mg/ml
Injektion   Vincristine sulfate 0,010 mg/ml
2-6°C
5 Dag
Beskyt mod lys 1606
Level af bevismateriale A
Polyolefin 0,9 % Natriumklorid 2 mg/ml
Injektion   Etoposide phosphate   
Injektion   Doxorubicin hydrochloride 0,4 mg/ml
Injektion   Vincristine sulfate 0,016 mg/ml
2-6°C
5 Dag
Med eller uden lys 1606
Level af bevismateriale A
Polyolefin 0,9 % Natriumklorid 0,6 mg/ml
Injektion   Etoposide phosphate   
Injektion   Doxorubicin hydrochloride 0,12 mg/ml
Injektion   Vincristine sulfate 0,005 mg/ml
35°C-40°C
5 Dag
Beskyt mod lys 1606
Level af bevismateriale A
Polyolefin 0,9 % Natriumklorid 1,2 mg/ml
Injektion   Etoposide phosphate   
Injektion   Doxorubicin hydrochloride 0,24 mg/ml
Injektion   Vincristine sulfate 0,010 mg/ml
35°C-40°C
5 Dag
Beskyt mod lys 1606
Level af bevismateriale A
Polyolefin 0,9 % Natriumklorid 2 mg/ml
Injektion   Etoposide phosphate   
Injektion   Doxorubicin hydrochloride 0,4 mg/ml
Injektion   Vincristine sulfate 0,016 mg/ml
35°C-40°C
5 Dag
Med eller uden lys 1606
Level af bevismateriale A
Polyisopren elastomer 0,9 % Natriumklorid 0,6 mg/ml
Injektion   Etoposide phosphate   
Injektion   Vincristine sulfate 0,005 mg/ml
Injektion   Doxorubicin hydrochloride 0,12 mg/ml
2-6°C
14 Dag
Ikke nærmere angivet 4102
Level af bevismateriale A+
Polyisopren elastomer 0,9 % Natriumklorid 1,2 mg/ml
Injektion   Etoposide phosphate   
Injektion   Vincristine sulfate 0,01 mg/ml
Injektion   Doxorubicin hydrochloride 0,24 mg/ml
2-6°C
14 Dag
Ikke nærmere angivet 4102
Level af bevismateriale A+
Polyisopren elastomer 0,9 % Natriumklorid 2 mg/ml
Injektion   Etoposide phosphate   
Injektion   Vincristine sulfate 0,016 mg/ml
Injektion   Doxorubicin hydrochloride 0,4 mg/ml
2-6°C
14 Dag
Ikke nærmere angivet 4102
Level af bevismateriale A+
Polyisopren elastomer 0,9 % Natriumklorid 0,6 mg/ml
Injektion   Etoposide phosphate   
Injektion   Vincristine sulfate 0,005 mg/ml
Injektion   Doxorubicin hydrochloride 0,12 mg/ml
35°C
7 Dag
Beskyt mod lys 4102
Level af bevismateriale A+
Polyisopren elastomer 0,9 % Natriumklorid 1,2 mg/ml
Injektion   Etoposide phosphate   
Injektion   Vincristine sulfate 0,01 mg/ml
Injektion   Doxorubicin hydrochloride 0,24 mg/ml
35°C
7 Dag
Beskyt mod lys 4102
Level af bevismateriale A+
Polyisopren elastomer 0,9 % Natriumklorid 2 mg/ml
Injektion   Etoposide phosphate   
Injektion   Vincristine sulfate 0,016 mg/ml
Injektion   Doxorubicin hydrochloride 0,4 mg/ml
35°C
7 Dag
Beskyt mod lys 4102
Level af bevismateriale A+

  Mentions Légales