Pēdējā atjaunošana :
27/01/2026
vēzis narkotiku   Etoposide phosphate  
Injekcija
Šķīduma stabilitāte Maisījuma stabilitāte Stabilitāti ietekmējoši faktori Saderība Levadīšanas veids Literatūras saraksts pdf
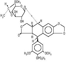
   Ķīmiskā uzbūve   

Oriģinālais nosaukums   Oriģinālais nosaukums     

Tirdzniecības nosaukumi ir apzīmējoši un palīgvielas var atšķirties dažādām valstīm un laboratorijām

Etopofos Austrija, Grieķija, Zviedrija
Etopophos Amerikas Savienotās Valstis, Beļģija, Bulgārija, Francija, Holande, Izraēla, Jaunzēlande, Lielbritānija, Luksemburga, Polija, Šveice, Vācija
Maisījuma stabilitāte   Injekcija   Maisījuma stabilitāte : Etoposide phosphate     
Iepakojums Šķīdinātājs Koncentrācija Savienojums Temperatūra Glabāšana Stabilitātes ilgums Literatūras saraksts
Poliolefīns Nātrija hlorīds 0.9% 0,6 mg/ml
Injekcija   Etoposide phosphate   
Injekcija   Doxorubicin hydrochloride 0,12 mg/ml
Injekcija   Vincristine sulfate 0,005 mg/ml
2-6°C
5 Diena
Aizsargāt no gaismas 1606
Pierādījumu līmenis A
Poliolefīns Nātrija hlorīds 0.9% 1,2 mg/ml
Injekcija   Etoposide phosphate   
Injekcija   Doxorubicin hydrochloride 0,24 mg/ml
Injekcija   Vincristine sulfate 0,010 mg/ml
2-6°C
5 Diena
Aizsargāt no gaismas 1606
Pierādījumu līmenis A
Poliolefīns Nātrija hlorīds 0.9% 2 mg/ml
Injekcija   Etoposide phosphate   
Injekcija   Doxorubicin hydrochloride 0,4 mg/ml
Injekcija   Vincristine sulfate 0,016 mg/ml
2-6°C
5 Diena
Ar vai bez gaismas 1606
Pierādījumu līmenis A
Poliolefīns Nātrija hlorīds 0.9% 0,6 mg/ml
Injekcija   Etoposide phosphate   
Injekcija   Doxorubicin hydrochloride 0,12 mg/ml
Injekcija   Vincristine sulfate 0,005 mg/ml
35°C-40°C
5 Diena
Aizsargāt no gaismas 1606
Pierādījumu līmenis A
Poliolefīns Nātrija hlorīds 0.9% 1,2 mg/ml
Injekcija   Etoposide phosphate   
Injekcija   Doxorubicin hydrochloride 0,24 mg/ml
Injekcija   Vincristine sulfate 0,010 mg/ml
35°C-40°C
5 Diena
Aizsargāt no gaismas 1606
Pierādījumu līmenis A
Poliolefīns Nātrija hlorīds 0.9% 2 mg/ml
Injekcija   Etoposide phosphate   
Injekcija   Doxorubicin hydrochloride 0,4 mg/ml
Injekcija   Vincristine sulfate 0,016 mg/ml
35°C-40°C
5 Diena
Ar vai bez gaismas 1606
Pierādījumu līmenis A
Poliizoprēna elastomērs Nātrija hlorīds 0.9% 0,6 mg/ml
Injekcija   Etoposide phosphate   
Injekcija   Vincristine sulfate 0,005 mg/ml
Injekcija   Doxorubicin hydrochloride 0,12 mg/ml
2-6°C
14 Diena
Nav specifisks 4102
Pierādījumu līmenis A+
Poliizoprēna elastomērs Nātrija hlorīds 0.9% 1,2 mg/ml
Injekcija   Etoposide phosphate   
Injekcija   Vincristine sulfate 0,01 mg/ml
Injekcija   Doxorubicin hydrochloride 0,24 mg/ml
2-6°C
14 Diena
Nav specifisks 4102
Pierādījumu līmenis A+
Poliizoprēna elastomērs Nātrija hlorīds 0.9% 2 mg/ml
Injekcija   Etoposide phosphate   
Injekcija   Vincristine sulfate 0,016 mg/ml
Injekcija   Doxorubicin hydrochloride 0,4 mg/ml
2-6°C
14 Diena
Nav specifisks 4102
Pierādījumu līmenis A+
Poliizoprēna elastomērs Nātrija hlorīds 0.9% 0,6 mg/ml
Injekcija   Etoposide phosphate   
Injekcija   Vincristine sulfate 0,005 mg/ml
Injekcija   Doxorubicin hydrochloride 0,12 mg/ml
35°C
7 Diena
Aizsargāt no gaismas 4102
Pierādījumu līmenis A+
Poliizoprēna elastomērs Nātrija hlorīds 0.9% 1,2 mg/ml
Injekcija   Etoposide phosphate   
Injekcija   Vincristine sulfate 0,01 mg/ml
Injekcija   Doxorubicin hydrochloride 0,24 mg/ml
35°C
7 Diena
Aizsargāt no gaismas 4102
Pierādījumu līmenis A+
Poliizoprēna elastomērs Nātrija hlorīds 0.9% 2 mg/ml
Injekcija   Etoposide phosphate   
Injekcija   Vincristine sulfate 0,016 mg/ml
Injekcija   Doxorubicin hydrochloride 0,4 mg/ml
35°C
7 Diena
Aizsargāt no gaismas 4102
Pierādījumu līmenis A+

  Mentions Légales