Última actualização :
27/01/2026
droga contra o câncer   Etoposide phosphate  
injetável
Estabilidade em soluções simples Estabilidade em misturas Factores que afectam a sua estabilidade Compatibilidade Método de administração Bibliografía pdf
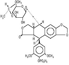
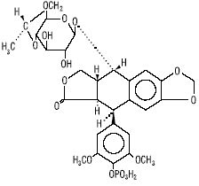
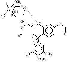
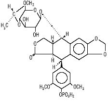
   estrutura química  

Nomes comerciais nos diversos países   Nomes comerciais nos diversos países     

OS NOMES COMERCIAIS SÃO INDICATIVOS E OS EXCIPIENTES DA FORMULAÇÃO PODEM SER DIFERENTES CONFORME O PAÍS E FABRICANTE.

Etopofos Austria, Grècia, Suècia
Etopophos Alemanha, Bélgica, Bulgária, Estados Unidos de América, França, Gran-bretanha, Israel, Luxemburgo, nova Zelândia, Países Baixos, Polonia, Suicia
Estabilidade em misturas   injetável   Estabilidade em misturas : Etoposide phosphate     
Embalagem Solvente concentração molécula temperatura conservação Duração da estabilidade Bibliografia
Poliolefina cloreto de sódio 0,9% 0,6 mg/ml
injetável   Etoposide phosphate   
injetável   Doxorubicin hydrochloride 0,12 mg/ml
injetável   Vincristine sulfate 0,005 mg/ml
2-6°C
5 dia
ao abrigo da luz 1606
Nível de evidência A
Poliolefina cloreto de sódio 0,9% 1,2 mg/ml
injetável   Etoposide phosphate   
injetável   Doxorubicin hydrochloride 0,24 mg/ml
injetável   Vincristine sulfate 0,010 mg/ml
2-6°C
5 dia
ao abrigo da luz 1606
Nível de evidência A
Poliolefina cloreto de sódio 0,9% 2 mg/ml
injetável   Etoposide phosphate   
injetável   Doxorubicin hydrochloride 0,4 mg/ml
injetável   Vincristine sulfate 0,016 mg/ml
2-6°C
5 dia
Com ou sem luz 1606
Nível de evidência A
Poliolefina cloreto de sódio 0,9% 0,6 mg/ml
injetável   Etoposide phosphate   
injetável   Doxorubicin hydrochloride 0,12 mg/ml
injetável   Vincristine sulfate 0,005 mg/ml
35°C-40°C
5 dia
ao abrigo da luz 1606
Nível de evidência A
Poliolefina cloreto de sódio 0,9% 1,2 mg/ml
injetável   Etoposide phosphate   
injetável   Doxorubicin hydrochloride 0,24 mg/ml
injetável   Vincristine sulfate 0,010 mg/ml
35°C-40°C
5 dia
ao abrigo da luz 1606
Nível de evidência A
Poliolefina cloreto de sódio 0,9% 2 mg/ml
injetável   Etoposide phosphate   
injetável   Doxorubicin hydrochloride 0,4 mg/ml
injetável   Vincristine sulfate 0,016 mg/ml
35°C-40°C
5 dia
Com ou sem luz 1606
Nível de evidência A
Elastômero de poliisopreno cloreto de sódio 0,9% 0,6 mg/ml
injetável   Etoposide phosphate   
injetável   Vincristine sulfate 0,005 mg/ml
injetável   Doxorubicin hydrochloride 0,12 mg/ml
2-6°C
14 dia
no especificado 4102
Nível de evidência A+
Elastômero de poliisopreno cloreto de sódio 0,9% 1,2 mg/ml
injetável   Etoposide phosphate   
injetável   Vincristine sulfate 0,01 mg/ml
injetável   Doxorubicin hydrochloride 0,24 mg/ml
2-6°C
14 dia
no especificado 4102
Nível de evidência A+
Elastômero de poliisopreno cloreto de sódio 0,9% 2 mg/ml
injetável   Etoposide phosphate   
injetável   Vincristine sulfate 0,016 mg/ml
injetável   Doxorubicin hydrochloride 0,4 mg/ml
2-6°C
14 dia
no especificado 4102
Nível de evidência A+
Elastômero de poliisopreno cloreto de sódio 0,9% 0,6 mg/ml
injetável   Etoposide phosphate   
injetável   Vincristine sulfate 0,005 mg/ml
injetável   Doxorubicin hydrochloride 0,12 mg/ml
35°C
7 dia
ao abrigo da luz 4102
Nível de evidência A+
Elastômero de poliisopreno cloreto de sódio 0,9% 1,2 mg/ml
injetável   Etoposide phosphate   
injetável   Vincristine sulfate 0,01 mg/ml
injetável   Doxorubicin hydrochloride 0,24 mg/ml
35°C
7 dia
ao abrigo da luz 4102
Nível de evidência A+
Elastômero de poliisopreno cloreto de sódio 0,9% 2 mg/ml
injetável   Etoposide phosphate   
injetável   Vincristine sulfate 0,016 mg/ml
injetável   Doxorubicin hydrochloride 0,4 mg/ml
35°C
7 dia
ao abrigo da luz 4102
Nível de evidência A+

  Mentions Légales