Siste oppdatering :
27/01/2026
kreft narkotika   Etoposide phosphate  
Injeksjon
Oppløsningsstabilitet Stabilitet i blandinger Faktorer som påvirker stabiliteten Kompatibilitet Administrasjonsmåte Referanser pdf
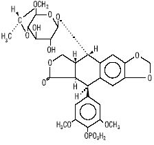
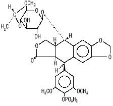
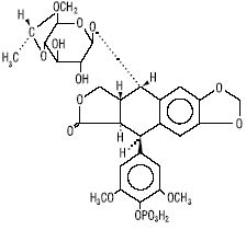
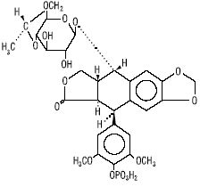
   Kjemisk struktur  

Handelsnavn   Handelsnavn     

Handelsnavn er veiledende og sammensetning av hjelpestoffer kan være forskjellig avhengig av land og produsent

Etopofos Hellas, Sverige, Østerrike
Etopophos Belgia, Bulgaria, Frankrike, Israel, Luxembourg, Nederland, New Zealand, Polen, Storbritannia, Sveits, Tyskland, USA
Stabilitet i blandinger   Injeksjon   Stabilitet i blandinger : Etoposide phosphate     
Beholder Oppløsningsmiddel Konsentrasjon Legemiddel Temperatur Oppbevaring Varighet av stabilitet Referanser
Polyolefin Natriumklorid 0,9 % 0,6 mg/ml
Injeksjon   Etoposide phosphate   
Injeksjon   Doxorubicin hydrochloride 0,12 mg/ml
Injeksjon   Vincristine sulfate 0,005 mg/ml
2-6°C
5 Dag
Beskyttes mot lys 1606
Bevisgrad A
Polyolefin Natriumklorid 0,9 % 1,2 mg/ml
Injeksjon   Etoposide phosphate   
Injeksjon   Doxorubicin hydrochloride 0,24 mg/ml
Injeksjon   Vincristine sulfate 0,010 mg/ml
2-6°C
5 Dag
Beskyttes mot lys 1606
Bevisgrad A
Polyolefin Natriumklorid 0,9 % 2 mg/ml
Injeksjon   Etoposide phosphate   
Injeksjon   Doxorubicin hydrochloride 0,4 mg/ml
Injeksjon   Vincristine sulfate 0,016 mg/ml
2-6°C
5 Dag
Med eller uten lys 1606
Bevisgrad A
Polyolefin Natriumklorid 0,9 % 0,6 mg/ml
Injeksjon   Etoposide phosphate   
Injeksjon   Doxorubicin hydrochloride 0,12 mg/ml
Injeksjon   Vincristine sulfate 0,005 mg/ml
35°C-40°C
5 Dag
Beskyttes mot lys 1606
Bevisgrad A
Polyolefin Natriumklorid 0,9 % 1,2 mg/ml
Injeksjon   Etoposide phosphate   
Injeksjon   Doxorubicin hydrochloride 0,24 mg/ml
Injeksjon   Vincristine sulfate 0,010 mg/ml
35°C-40°C
5 Dag
Beskyttes mot lys 1606
Bevisgrad A
Polyolefin Natriumklorid 0,9 % 2 mg/ml
Injeksjon   Etoposide phosphate   
Injeksjon   Doxorubicin hydrochloride 0,4 mg/ml
Injeksjon   Vincristine sulfate 0,016 mg/ml
35°C-40°C
5 Dag
Med eller uten lys 1606
Bevisgrad A
Polyisopren elastomer Natriumklorid 0,9 % 0,6 mg/ml
Injeksjon   Etoposide phosphate   
Injeksjon   Vincristine sulfate 0,005 mg/ml
Injeksjon   Doxorubicin hydrochloride 0,12 mg/ml
2-6°C
14 Dag
Ikke angitt 4102
Bevisgrad A +
Polyisopren elastomer Natriumklorid 0,9 % 1,2 mg/ml
Injeksjon   Etoposide phosphate   
Injeksjon   Vincristine sulfate 0,01 mg/ml
Injeksjon   Doxorubicin hydrochloride 0,24 mg/ml
2-6°C
14 Dag
Ikke angitt 4102
Bevisgrad A +
Polyisopren elastomer Natriumklorid 0,9 % 2 mg/ml
Injeksjon   Etoposide phosphate   
Injeksjon   Vincristine sulfate 0,016 mg/ml
Injeksjon   Doxorubicin hydrochloride 0,4 mg/ml
2-6°C
14 Dag
Ikke angitt 4102
Bevisgrad A +
Polyisopren elastomer Natriumklorid 0,9 % 0,6 mg/ml
Injeksjon   Etoposide phosphate   
Injeksjon   Vincristine sulfate 0,005 mg/ml
Injeksjon   Doxorubicin hydrochloride 0,12 mg/ml
35°C
7 Dag
Beskyttes mot lys 4102
Bevisgrad A +
Polyisopren elastomer Natriumklorid 0,9 % 1,2 mg/ml
Injeksjon   Etoposide phosphate   
Injeksjon   Vincristine sulfate 0,01 mg/ml
Injeksjon   Doxorubicin hydrochloride 0,24 mg/ml
35°C
7 Dag
Beskyttes mot lys 4102
Bevisgrad A +
Polyisopren elastomer Natriumklorid 0,9 % 2 mg/ml
Injeksjon   Etoposide phosphate   
Injeksjon   Vincristine sulfate 0,016 mg/ml
Injeksjon   Doxorubicin hydrochloride 0,4 mg/ml
35°C
7 Dag
Beskyttes mot lys 4102
Bevisgrad A +

  Mentions Légales