آخر تحديث :
27/01/2026
المضادة للسرطان المخدرات   Etoposide phosphate  
حقن
الاستقرار في حلول استقرار مخاليط العوامل التي تؤثر على الاستقرار التوافق طريقة التعاطي مراجع pdf
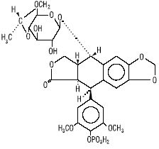
   التركيب الكيميائي  

حجز الاسم التجاري   حجز الاسم التجاري     

تحذير الأسماء التجاريه المختلفه قد تحتوي علي محتوي إضافات مختلفة حسب الدوله و المعمل

Etopofos السويد, النمسا, يونان
Etopophos ألمانيا, الكيان الصهيوني, الولايات المتحدة, بريطانيا العظمي, بلجيكا, بلغاريا, بولندا, زيلاندا الجديدة, سويسرا, فرنسا, لوكسمبورغ, هولندا
استقرار مخاليط   حقن   استقرار مخاليط : Etoposide phosphate     
حاوية مذيب تركيز مركب درجة الحرارة تخزين مدة الاستقرار مراجع
البولي فين كلوريد الصوديوم 0.9% 0,6 mg/ml
حقن   Etoposide phosphate   
حقن   Doxorubicin hydrochloride 0,12 mg/ml
حقن   Vincristine sulfate 0,005 mg/ml
2-6°C
5 يوم
بعيدا عن الضوء 1606
A مستوى الأدلة
البولي فين كلوريد الصوديوم 0.9% 1,2 mg/ml
حقن   Etoposide phosphate   
حقن   Doxorubicin hydrochloride 0,24 mg/ml
حقن   Vincristine sulfate 0,010 mg/ml
2-6°C
5 يوم
بعيدا عن الضوء 1606
A مستوى الأدلة
البولي فين كلوريد الصوديوم 0.9% 2 mg/ml
حقن   Etoposide phosphate   
حقن   Doxorubicin hydrochloride 0,4 mg/ml
حقن   Vincristine sulfate 0,016 mg/ml
2-6°C
5 يوم
مع أو بدون ضوء 1606
A مستوى الأدلة
البولي فين كلوريد الصوديوم 0.9% 0,6 mg/ml
حقن   Etoposide phosphate   
حقن   Doxorubicin hydrochloride 0,12 mg/ml
حقن   Vincristine sulfate 0,005 mg/ml
35°C-40°C
5 يوم
بعيدا عن الضوء 1606
A مستوى الأدلة
البولي فين كلوريد الصوديوم 0.9% 1,2 mg/ml
حقن   Etoposide phosphate   
حقن   Doxorubicin hydrochloride 0,24 mg/ml
حقن   Vincristine sulfate 0,010 mg/ml
35°C-40°C
5 يوم
بعيدا عن الضوء 1606
A مستوى الأدلة
البولي فين كلوريد الصوديوم 0.9% 2 mg/ml
حقن   Etoposide phosphate   
حقن   Doxorubicin hydrochloride 0,4 mg/ml
حقن   Vincristine sulfate 0,016 mg/ml
35°C-40°C
5 يوم
مع أو بدون ضوء 1606
A مستوى الأدلة
ولي إيزوبرين إلاستومر كلوريد الصوديوم 0.9% 0,6 mg/ml
حقن   Etoposide phosphate   
حقن   Vincristine sulfate 0,005 mg/ml
حقن   Doxorubicin hydrochloride 0,12 mg/ml
2-6°C
14 يوم
لم يتم تحديد 4102
 A+ مستوى الأدلة
ولي إيزوبرين إلاستومر كلوريد الصوديوم 0.9% 1,2 mg/ml
حقن   Etoposide phosphate   
حقن   Vincristine sulfate 0,01 mg/ml
حقن   Doxorubicin hydrochloride 0,24 mg/ml
2-6°C
14 يوم
لم يتم تحديد 4102
 A+ مستوى الأدلة
ولي إيزوبرين إلاستومر كلوريد الصوديوم 0.9% 2 mg/ml
حقن   Etoposide phosphate   
حقن   Vincristine sulfate 0,016 mg/ml
حقن   Doxorubicin hydrochloride 0,4 mg/ml
2-6°C
14 يوم
لم يتم تحديد 4102
 A+ مستوى الأدلة
ولي إيزوبرين إلاستومر كلوريد الصوديوم 0.9% 0,6 mg/ml
حقن   Etoposide phosphate   
حقن   Vincristine sulfate 0,005 mg/ml
حقن   Doxorubicin hydrochloride 0,12 mg/ml
35°C
7 يوم
بعيدا عن الضوء 4102
 A+ مستوى الأدلة
ولي إيزوبرين إلاستومر كلوريد الصوديوم 0.9% 1,2 mg/ml
حقن   Etoposide phosphate   
حقن   Vincristine sulfate 0,01 mg/ml
حقن   Doxorubicin hydrochloride 0,24 mg/ml
35°C
7 يوم
بعيدا عن الضوء 4102
 A+ مستوى الأدلة
ولي إيزوبرين إلاستومر كلوريد الصوديوم 0.9% 2 mg/ml
حقن   Etoposide phosphate   
حقن   Vincristine sulfate 0,016 mg/ml
حقن   Doxorubicin hydrochloride 0,4 mg/ml
35°C
7 يوم
بعيدا عن الضوء 4102
 A+ مستوى الأدلة

  Mentions Légales