Posledná aktualizácia :
27/01/2026
Protinádorová liečba   Etoposide phosphate  
Injekcia
Stabilita roztokov Stabilita v zmesiach Faktory ovplyvňujúce stabilitu Kompatibility spôsob podania Odkazy na literatúru PDF
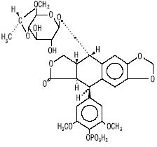
   Chemický vzorec  

Obchodný názov   Obchodný názov     

Obchodné názvy sú orientačné, a zloženie pomocných látok sa môže líšiť v závislosti od krajiny a výrobcu.

Etopofos Grécko, Rakúsko, Švédsko
Etopophos Belgicko, Bulharsko, Francúzsko, Holandsko, Izrael, Luxembursko, Nemecko, nový Zéland, Poľsko, Spojené štáty Americké, Švajčiarsko, Veľká Británia
Stabilita v zmesiach   Injekcia   Stabilita v zmesiach : Etoposide phosphate     
obal rozpúšťadlo koncentrácia Zlúčenina teplota uchovávanie Trvanie stability odkazy na lieteratúru
polyolefín 0,9% chlorid sodný 0,6 mg/ml
Injekcia   Etoposide phosphate   
Injekcia   Doxorubicin hydrochloride 0,12 mg/ml
Injekcia   Vincristine sulfate 0,005 mg/ml
2-6°C
5 dní
Chránené pred svetlom 1606
Úroveň dôkazov A
polyolefín 0,9% chlorid sodný 1,2 mg/ml
Injekcia   Etoposide phosphate   
Injekcia   Doxorubicin hydrochloride 0,24 mg/ml
Injekcia   Vincristine sulfate 0,010 mg/ml
2-6°C
5 dní
Chránené pred svetlom 1606
Úroveň dôkazov A
polyolefín 0,9% chlorid sodný 2 mg/ml
Injekcia   Etoposide phosphate   
Injekcia   Doxorubicin hydrochloride 0,4 mg/ml
Injekcia   Vincristine sulfate 0,016 mg/ml
2-6°C
5 dní
Za svetla alebo chránené pred svetlom 1606
Úroveň dôkazov A
polyolefín 0,9% chlorid sodný 0,6 mg/ml
Injekcia   Etoposide phosphate   
Injekcia   Doxorubicin hydrochloride 0,12 mg/ml
Injekcia   Vincristine sulfate 0,005 mg/ml
35°C-40°C
5 dní
Chránené pred svetlom 1606
Úroveň dôkazov A
polyolefín 0,9% chlorid sodný 1,2 mg/ml
Injekcia   Etoposide phosphate   
Injekcia   Doxorubicin hydrochloride 0,24 mg/ml
Injekcia   Vincristine sulfate 0,010 mg/ml
35°C-40°C
5 dní
Chránené pred svetlom 1606
Úroveň dôkazov A
polyolefín 0,9% chlorid sodný 2 mg/ml
Injekcia   Etoposide phosphate   
Injekcia   Doxorubicin hydrochloride 0,4 mg/ml
Injekcia   Vincristine sulfate 0,016 mg/ml
35°C-40°C
5 dní
Za svetla alebo chránené pred svetlom 1606
Úroveň dôkazov A
Polyizoprénový elastomer 0,9% chlorid sodný 0,6 mg/ml
Injekcia   Etoposide phosphate   
Injekcia   Vincristine sulfate 0,005 mg/ml
Injekcia   Doxorubicin hydrochloride 0,12 mg/ml
2-6°C
14 dní
nešpecifikované 4102
Úroveň dôkazov A+
Polyizoprénový elastomer 0,9% chlorid sodný 1,2 mg/ml
Injekcia   Etoposide phosphate   
Injekcia   Vincristine sulfate 0,01 mg/ml
Injekcia   Doxorubicin hydrochloride 0,24 mg/ml
2-6°C
14 dní
nešpecifikované 4102
Úroveň dôkazov A+
Polyizoprénový elastomer 0,9% chlorid sodný 2 mg/ml
Injekcia   Etoposide phosphate   
Injekcia   Vincristine sulfate 0,016 mg/ml
Injekcia   Doxorubicin hydrochloride 0,4 mg/ml
2-6°C
14 dní
nešpecifikované 4102
Úroveň dôkazov A+
Polyizoprénový elastomer 0,9% chlorid sodný 0,6 mg/ml
Injekcia   Etoposide phosphate   
Injekcia   Vincristine sulfate 0,005 mg/ml
Injekcia   Doxorubicin hydrochloride 0,12 mg/ml
35°C
7 dní
Chránené pred svetlom 4102
Úroveň dôkazov A+
Polyizoprénový elastomer 0,9% chlorid sodný 1,2 mg/ml
Injekcia   Etoposide phosphate   
Injekcia   Vincristine sulfate 0,01 mg/ml
Injekcia   Doxorubicin hydrochloride 0,24 mg/ml
35°C
7 dní
Chránené pred svetlom 4102
Úroveň dôkazov A+
Polyizoprénový elastomer 0,9% chlorid sodný 2 mg/ml
Injekcia   Etoposide phosphate   
Injekcia   Vincristine sulfate 0,016 mg/ml
Injekcia   Doxorubicin hydrochloride 0,4 mg/ml
35°C
7 dní
Chránené pred svetlom 4102
Úroveň dôkazov A+

  Mentions Légales