Последно актуализиране :
27/01/2026
противораково лекарство   Etoposide phosphate  
Инжекция/Инжекционен
Стабилност на разтвори Стабилност на смеси Фактори, повлияващи стабилността Съвместимост Път на въвеждане Библиография Pdf
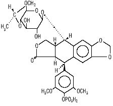
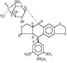
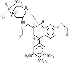
   Химична структура  

Търговско наименование   Търговско наименование     

Търговските имена са примерни и съставът на помощните вещества може да бъде различен в зависимост от държавата и лабораториите

Etopofos Австрия, Гърция, Швеция
Etopophos Белгия, България, Великобритания, Германия, Израел, Люксенбург, нова Зеландия, Полша, Съединени Американски щати / САЩ, Франция, Холандия, Швейцария
Стабилност на смеси   Инжекция/Инжекционен   Стабилност на смеси : Etoposide phosphate     
Контейнер Разтворител Концентрация Състав / молекула Температура Съхранение Продължителност на стабилността Библиография
Полиолефин Sodium chloride 0,9% 0,6 mg/ml
Инжекция/Инжекционен   Etoposide phosphate   
Инжекция/Инжекционен   Doxorubicin hydrochloride 0,12 mg/ml
Инжекция/Инжекционен   Vincristine sulfate 0,005 mg/ml
2-6°C
5 Ден
Защита от светлина 1606
Степен на доказаност A
Полиолефин Sodium chloride 0,9% 1,2 mg/ml
Инжекция/Инжекционен   Etoposide phosphate   
Инжекция/Инжекционен   Doxorubicin hydrochloride 0,24 mg/ml
Инжекция/Инжекционен   Vincristine sulfate 0,010 mg/ml
2-6°C
5 Ден
Защита от светлина 1606
Степен на доказаност A
Полиолефин Sodium chloride 0,9% 2 mg/ml
Инжекция/Инжекционен   Etoposide phosphate   
Инжекция/Инжекционен   Doxorubicin hydrochloride 0,4 mg/ml
Инжекция/Инжекционен   Vincristine sulfate 0,016 mg/ml
2-6°C
5 Ден
С или без светлина 1606
Степен на доказаност A
Полиолефин Sodium chloride 0,9% 0,6 mg/ml
Инжекция/Инжекционен   Etoposide phosphate   
Инжекция/Инжекционен   Doxorubicin hydrochloride 0,12 mg/ml
Инжекция/Инжекционен   Vincristine sulfate 0,005 mg/ml
35°C-40°C
5 Ден
Защита от светлина 1606
Степен на доказаност A
Полиолефин Sodium chloride 0,9% 1,2 mg/ml
Инжекция/Инжекционен   Etoposide phosphate   
Инжекция/Инжекционен   Doxorubicin hydrochloride 0,24 mg/ml
Инжекция/Инжекционен   Vincristine sulfate 0,010 mg/ml
35°C-40°C
5 Ден
Защита от светлина 1606
Степен на доказаност A
Полиолефин Sodium chloride 0,9% 2 mg/ml
Инжекция/Инжекционен   Etoposide phosphate   
Инжекция/Инжекционен   Doxorubicin hydrochloride 0,4 mg/ml
Инжекция/Инжекционен   Vincristine sulfate 0,016 mg/ml
35°C-40°C
5 Ден
С или без светлина 1606
Степен на доказаност A
Полиизопренов еластомер Sodium chloride 0,9% 0,6 mg/ml
Инжекция/Инжекционен   Etoposide phosphate   
Инжекция/Инжекционен   Vincristine sulfate 0,005 mg/ml
Инжекция/Инжекционен   Doxorubicin hydrochloride 0,12 mg/ml
2-6°C
14 Ден
Не е уточнено 4102
Степен на доказаност A+
Полиизопренов еластомер Sodium chloride 0,9% 1,2 mg/ml
Инжекция/Инжекционен   Etoposide phosphate   
Инжекция/Инжекционен   Vincristine sulfate 0,01 mg/ml
Инжекция/Инжекционен   Doxorubicin hydrochloride 0,24 mg/ml
2-6°C
14 Ден
Не е уточнено 4102
Степен на доказаност A+
Полиизопренов еластомер Sodium chloride 0,9% 2 mg/ml
Инжекция/Инжекционен   Etoposide phosphate   
Инжекция/Инжекционен   Vincristine sulfate 0,016 mg/ml
Инжекция/Инжекционен   Doxorubicin hydrochloride 0,4 mg/ml
2-6°C
14 Ден
Не е уточнено 4102
Степен на доказаност A+
Полиизопренов еластомер Sodium chloride 0,9% 0,6 mg/ml
Инжекция/Инжекционен   Etoposide phosphate   
Инжекция/Инжекционен   Vincristine sulfate 0,005 mg/ml
Инжекция/Инжекционен   Doxorubicin hydrochloride 0,12 mg/ml
35°C
7 Ден
Защита от светлина 4102
Степен на доказаност A+
Полиизопренов еластомер Sodium chloride 0,9% 1,2 mg/ml
Инжекция/Инжекционен   Etoposide phosphate   
Инжекция/Инжекционен   Vincristine sulfate 0,01 mg/ml
Инжекция/Инжекционен   Doxorubicin hydrochloride 0,24 mg/ml
35°C
7 Ден
Защита от светлина 4102
Степен на доказаност A+
Полиизопренов еластомер Sodium chloride 0,9% 2 mg/ml
Инжекция/Инжекционен   Etoposide phosphate   
Инжекция/Инжекционен   Vincristine sulfate 0,016 mg/ml
Инжекция/Инжекционен   Doxorubicin hydrochloride 0,4 mg/ml
35°C
7 Ден
Защита от светлина 4102
Степен на доказаност A+

  Mentions Légales