Son güncelleme :
27/04/2026
Antibiyotik   Tobramycin sulfate  
Enjeksiyon
Aerosol Göz damlası Oral solüsyon / oral çözelti
Çözeltilerin stabilitesi Karışımlardaki stabilitesi Stabiliteyi etkileyen faktörler Uyumluluk Uygulama yöntemi Kaynaklar pdf
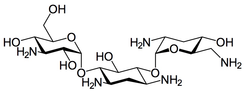
   Kimyasal yapı   

Ticari isim   Ticari isim     

Trade names are indicative and excipients composition can be different depending on the country and manufacturers

Bactob Hindistan
Beltob Hindistan
Bramicil İtalya
Brulamycin Macaristan, Malezya, Slovenya
Eltol Hindistan
Fytobra Hindistan
Gernebcin Almanya
Komitob Hindistan
Nebcin Birleşik Arap Emirlikleri, Büyük Britanya, Mısır, Suudi Arabistan, yeni Zelanda, Yunanistan
Nebcina Danimarka, Fas, İsveç, Norveç
Nebcine Fas, Fransa, Slovenya
Nebicina İtalya
Obracin Belçika, Hollanda, İsviçre, Lüksemburg
Tobracin Brezilya, Mısır, Suudi Arabistan
Tobramicina Arjantin, Brezilya, Ekvador, İspanya, İtalya, Kolombiya, Portekiz, Şili
Tobramina Brezilya
Tobramycin Almanya, Amerika Birleşik Devletleri, Avustralya, Büyük Britanya, İrlanda, Kanada, Norveç, Suudi Arabistan
Tobramycine Fransa, Hollanda, İrlanda
Tobrasix Avusturya
Tobrazid Almanya
Çözeltilerin stabilitesi   Enjeksiyon    Çözeltilerin stabilitesi : Tobramycin sulfate     
Saklama kabı Çözücü Konsantrasyon Isı Saklama    Stabilite süresi Kaynaklar
Polivinil klorür Sodyum klorür % 0,9 1 & 10 mg/ml 25°C Belirtilmemiş
3 Gün
13
Kanıt düzeyi B

Polivinil klorür Sodyum klorür % 0,9 1 & 10 mg/ml 5°C Işıktan koruyunuz
14 Gün
13
Kanıt düzeyi B

Polivinil klorür Sodyum klorür % 0,9 1,2 mg/ml -20°C Işıktan koruyunuz
28 Gün
565
Kanıt düzeyi D

Polivinil klorür Sodyum klorür % 0,9 1,2 mg/ml 25°C I_ık
48 Zaman
434

Polivinil klorür Sodyum klorür % 0,9 1,2 mg/ml 4°C Işıktan koruyunuz
48 Zaman
434

Polivinil klorür Glukoz %5 1,2 mg/ml -20°C Işıktan koruyunuz
28 Gün
565
Kanıt düzeyi D

Polivinil klorür Glukoz %5 1,2 mg/ml 25°C I_ık
48 Zaman
434

Polivinil klorür Glukoz %5 1,2 mg/ml 4°C Işıktan koruyunuz
48 Zaman
434

Polivinil klorür Glukoz %5 3,2 mg/ml -20°C Işıktan koruyunuz
30 Gün
575
biyolojik analiz

Etilen vinil asetat (EVA) Sodyum klorür % 0,9 0,95 mg/ml 23°C Işıktan koruyunuz
7 Gün
1704
Kanıt düzeyi A+

Etilen vinil asetat (EVA) Sodyum klorür % 0,9 0,95 mg/ml 4°C Işıktan koruyunuz
30 Gün
1704
Kanıt düzeyi A+

Şırınga polipropilen Enjeksiyonluk su 40 mg/ml 25°C Belirtilmemiş
60 Gün
709
biyolojik analiz

Şırınga polipropilen Enjeksiyonluk su 40 mg/ml 4°C Işıktan koruyunuz
60 Gün
709
biyolojik analiz

Şırınga polipropilen Sodyum klorür % 0,9 30 mg/ml 22°C-23°C I_ık
48 Zaman
639
Kanıt düzeyi D

poliizopren elastomer Sodyum klorür % 0,9 0,5 & 5 mg/ml 25°C Belirtilmemiş
24 Zaman
604
Üreticinin stabilite verileri

poliizopren elastomer Sodyum klorür % 0,9 0,5 & 5 mg/ml 4°C Işıktan koruyunuz
10 Gün
604
Üreticinin stabilite verileri

poliizopren elastomer Glukoz %5 0,5 & 5 mg/ml 25°C Belirtilmemiş
24 Zaman
604
Üreticinin stabilite verileri

poliizopren elastomer Glukoz %5 0,5 & 5 mg/ml 4°C Işıktan koruyunuz
10 Gün
604
Üreticinin stabilite verileri


  Mentions Légales